第一招
掌握计算题各章节考点分布
想要攻克计算题,首先必须全方位了解各计算题的考点分布情况,以及出题的特点,针对性强化复习,学习才能事半功倍。
| 章节 |
考点分布 |
讲师讲解 |
第三章 工程项目管理 |
第五节:工程网络计划技术
考点1:双代号网络计划参数计算
考点2:单代号网络时间参数计算
考点3:双代号时标网络计划
|
查看解析 |
第四章 工程经济 |
第一节:资金的时间价值及其计算
第二节:投资方案经济效果评价
第三节:价值工程
第四节:工程寿命周期成本分析
|
查看解析 |
第五章 工程项目投融资 |
第一节:工程项目资金来源
第二节:工程项目融资的方式
第三节:与工程项目有关的税收及保险规定
|
查看解析 |
第六章 工程建设全过程造价管理 |
第一节:决策阶段造价管理
第四节:施工阶段造价管理
(1)施工成本管理
(2)工程费用动态监控
|
查看解析 |
备考指导
造价管理基础知识科目一共6个章节,其中4个章节包含计算题考点,计算题出题量较多,且分值占比不低。在这4个含有计算题的章节中,第三四章属于重点难点章节,概念题与计算题并重,且公式繁杂。这几个章节的知识点考生必须理解,是案例部分内容的基础。
点击听课
第二招
熟记计算题常见公式
造价基础知识考试中的计算题有的耗时多,且很容易丢分,但是只要记住公式,并能熟练理解运用,就能轻松拿下计算题。
| 公式一 |
利息I=目前应付(应收)总金额F-本金P
|
例题解析 |
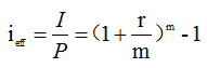
| 公式二 |
利率周期有效利率:

|
查看解析 |
公式三 静态评价指标 |
1、投资收益率=(年净收益率或年平均净收益/投资总额)*100% 2、总投资收益率(ROI)=(EBIT/TI)×100% 3、资本金净利润率(ROE)=ROE=(NP/EC)×100% 4、静态投资回收期=

|
查看解析 |
公式四 动态评价指标 |
1、净现值:
 2、净年值:
 3、内部收益率: 4、动态投资回收期:
|
查看解析 |
公式五 盈亏平衡分析 |
1、基本损益方程式:利润=销售收入-总成本-税金 2、用产量表示的盈亏平衡点BEP(Q)= 3、用销售金额表示的盈亏平衡点BEP(S)=BEP(Q)· p 4、用销售单价表示的盈亏平衡点BEP(p)=
|
查看解析 |
公式六 资金成本的计算 |
一般关系式:K=D(P-F)或K=D/P(1-f)
|
查看解析 |
| 公式七 |
1、优先股成本:
 2、加权平均资金成本:

|
查看解析 |
公式八 税收计算 |
1、增值税: 应纳税额=当期销项税额-当期进项税额 销项税额=销售额×税率 进项税额=买价×扣除率 增值税=税前造价×11% 2、所得税: 应纳税所得额=收入总额-不征税收入-免税收入-各项扣除-弥补以前年度亏损 应纳税额=应纳税所得额×所得税税率-减免和抵免的税额 3、房产税: 【从价计征】全年应纳税额=应税房产原值×(1-扣除比例)×1.2% 【从租计征】全年应纳税额=租金收入×12%(个人为4%) 4、土地增值税: 应纳税额=∑(每级距的土地增值额×适用税率) 5、契税: 契税应纳税额=计税依据×税率
|
查看解析 |
公式九 固定资产折旧方法 |
年折旧率=((1-预计净残值率)/折旧年限)×100%
年折旧额=固定资产原值×年折旧率
|
查看解析 |
公式十 费用偏差及表示方法 |
费用绩效指数CPI=已完工程计划费用(BCWP)/已完工程实际费用(ACWP)
进度绩效指数SPI=已完工程计划费用(BCWP)/拟完工程实际费用(BCWS)
|
查看解析 |
复习指导:
计算题题干长,且出现的数据多,做计算题第一步把所有数据列出来,第二步把考题中需要运用的计算公式列出来,第三步将数据带入公式。做计算题考的是逻辑能力,逻辑通了很多题目自然就会做,关键在于平时多做题练习,归纳解题思路。
第三招
多做计算题实践练习
造价基础科目150分钟80道选择题,平均110秒钟必须完成一道题,想通关,做题速度一定要快,且正确率高,马上做题检测一下学习效果。
-
章节习题
233网校在线题库,
配套章节练习题免费做。
立即做题
-
模拟试题
233网校试卷题库,
冲刺阶段模拟试题自我评测。
立即做题
-
历年真题
233网校资料下载,
2015-17年真题及答案解析。
点击下载