2020年12月二建 / 公路工程
2020年二级建造师公路工程管理与实务考试真题及答案已发布,考试省份:河北、内蒙古、广东、浙江。考生可加二建企业微信号【ks233wx4】,拉你进备考交流群。
1.锚杆挡土墙墙后填料填筑与压实前一道工序是()。
A.锚杆安放
B.挡土板安装
C.钻孔
D.肋柱安装
参考答案:B
参考解析:锚杆挡土墙施工工序主要有基坑开挖、基础浇(砌)筑、锚杆制作、钻孔、锚杆安放与注浆锚固、肋柱和挡土板预制、肋柱安装、挡土板安装、墙后填料填筑与压实等。
考点来源:2B311022防护与支挡工程的施工P35
2.路段里程桩K5+000~K15+000,拌合站在K9+000,求取平均运距()。
A.***
B.***
C.***
D.***
参考答案:2.6km
参考解析:料场在路线边上的任意位置,平均运距为料场距起点的距离的一半乘以距起点的距离加上料场距终点的距离的一半乘以距终点的距离之和除以路线全长。即(4000x2000+6000x3000)/10000=2600m。
3.GPS测量应先确定()。
A.坐标
B.桩位
C.水准
D.XX
参考答案:A
参考解析:在进行道路中线施工放样之前,首先要计算出线路上里程桩的坐标,然后才能用GPS-RTK的放样功能解算放样点的平面位置。
考点来源:2B311042公路工程施工测量方法P41
4.适用于二级公路基层的材料是()。
A.填隙碎石
B.石灰稳定土
C.二灰土
D.二灰砂
参考答案:B
参考解析:填隙碎石可用于各等级公路的底基层和二级以下公路的基层。石灰稳定土适用于各级公路的底基层,以及二级和二级以下公路的基层。二灰、二灰土和二灰砂不应作二级和二级以上公路高级路面的基层。
考点来源:2B312012无机结合料稳定基层(底基层)施工P48
5.沥青混合料需要添加纤维稳定剂的沥青混合料是()。
A.AC
B.AM
C.SMA
D.ATB
参考答案:C
参考解析:沥青玛碲脂碎石(SMA)是一种以沥青、矿粉及纤维稳定剂组成的沥青玛碲脂结合料,填于间断级配的矿料骨架中,所形成的沥青混合料。
考点来源:2B312022沥青路面面层施工P81
6.水泥抗折强度试件尺寸()。
A.100mm*10mm*400mm的梁形试件
B.150mm*150mm*550mm的梁形试件
C.直径1:1的圆柱形试件
D.直径1:2的圆柱形试件
参考答案:B
参考解析:水泥混凝土抗折强度是150mmx150mmx550mm的梁形试件。
考点来源:2B312053水泥混凝土路面抗压、抗折强度试验检测P97
7.当出现下列情况之一,应重新进行标定()。
A.张拉次数240次
B.千斤顶检修后
C.XX
D.XX
参考答案:B
参考解析:当处于下列情况之一时,应重新进行标定:
(1)使用时间超过6个月。
(2)张拉次数超过300次。
(3)使用过程中千斤顶或压力表出现异常情况。
(4)千斤顶检修或更换配件后。
考点来源:2B313013钢筋和混凝土施工P119
8.在卵石漂石地质条件下,应采用的方法()。
A.旋挖钻机
B.冲击钻机
C.正循环钻法
D.反循环钻法
参考答案:B
参考解析:冲击钻孔:冲击钻成孔灌注桩适用于黄土、黏性土或粉质黏土和人工杂填土层,特别适合于在有孤石的砂砾石层、漂石层、硬土层、岩层中使用。
考点来源:2B313014桥梁基础工程施工P125
9.挂篮前移就位的紧后工序()
A.***
B.***
C.***
D.***
参考答案:
参考解析:悬臂浇筑梁段混凝土分次浇筑施工工艺流程:挂篮前移就位→挂篮静载试验→安装梁段底模及侧模→安装底板及腹板钢筋-→梁段底板混凝土浇筑及养护→安装内模、顶模及腹板内预应力管道→安装顶板钢筋及顶板预应力管道→接缝混凝土处理→浇筑腹板及顶板混凝土→检查并清洁预应力管道→梁段混凝土养护→拆除端模板→穿预应力钢筋→张拉预应力钢筋→管道压浆→封锚。
10.隧道埋置深度大于2倍的开挖宽度,此时属于必测项目的是()。
A.围岩压力
B.锚杆压力
C.洞内外观察
D.地表下沉
参考答案:C
参考解析:隧道埋置深度大于2倍的开挖宽度不属于浅埋段,因此必测项目为洞内外观察。
考点来源:2B314022隧道施工监控量测技术P163
2020年二级建造师公路工程管理与实务考试真题及答案已发布,考试省份:河北、内蒙古、广东、浙江。考生可加二建企业微信号【ks233wx4】,拉你进备考交流群。
11.隔离栅应在()尽早完成。
A.路基开工前
B.路面开工前
C.路基完成后
D.路面完成后
参考答案:C
参考解析:隔离栅宜在路基工程完成后尽早实施。
考点来源:2B315012交通安全设施的施工技术要求P186
12.公路施工基层施工速度快于底基层施工速度,则应采用的搭接类型和时距是()。
A.开始到开始;一段工作面/基层速度
B.开始到开始;一段工作面/底基层速度
C.完成到完成;一段工作面/基层速度
D.完成到完成;一段工作面/底基层层速度
参考答案:C
参考解析:相邻结构层之间的速度决定了相邻结构层之间的搭接类型,前道工序的速度快于后道工序时选用开始到开始搭接类型,否则选用完成到完成搭接类型。时距=最小工作面长度/两者中快的速度。
考点来源:2B320021公路工程进度计划的编制特点P202
13.用来处理一些附加或小型的变更工程计价方法是()
A.***
B.***
C.***
D.***
参考答案:计日工
参考解析:计日工清单是用来处理一些附加的或小型的变更工程计价的。
考点来源:2B320081公路工程工程量清单计价的应用P281
14.不适用于破碎细石料的机械是()。
A.颚式破碎机
B.锥式破碎机
C.反击式破碎机
D.辊式破碎机
参考答案:A
参考解析:颚式破碎机是利用活动颚板相对于固定颚板的往复摆动对石块进行破碎,这种破碎机可用于粗碎和中碎。
锥式破碎机可用于中碎和细碎。
反击式破碎机可用于粗碎、中碎和细碎。
辊式破碎机可用于中碎和细碎。
考点来源:2B320101公路I程施工机械设备的生产能力及适用条件P308
15.根据《公路施工企业信用评价规则》规定,投标行为是由()负责评价。
A.业主
B.审计委员会
C.***
D.招标人
参考答案:D
参考解析:公路施工企业投标行为由招标人负责评价,履约行为由项目法人负责评价,其他行为由负责行业监管的相应地方人民政府交通运输主管部门负责评价。
考点来源:2B331023公路建设信用信息管理相关规定P331
2020年二级建造师公路工程管理与实务考试真题及答案已发布,考试省份:河北、内蒙古、广东、浙江。考生可加二建企业微信号【ks233wx4】,拉你进备考交流群。
1.以下哪些路段需要进行试验路段()。
A.二级公路路堤
B.一级公路路堑
C.三级土石路堤
D.三级特殊地段特殊填料路堤
E.四级采用新技术,新工艺的路基
参考答案:ACDE
参考解析:下列情况,应进行试验路段施工:
1.二级及二级以上公路路堤。
2.填石路堤、土石路堤。
3.特殊地段路堤。
4.特殊填料路堤。
5.拟采用新技术、新工艺、新材料的路基。
考点来源:2B311011路基施工准备P2
2.软土地基浅层处理的方法有()。
A.换填垫层
B.抛石挤淤
C.稳定剂处理
D.塑料排水板
E.袋装砂井
参考答案:ABC
参考解析:浅层处理可采用换填垫层、抛石挤淤、稳定剂处理等方法,处理深度不宜大于3m。
考点来源:2B311018特殊路基施工技术P18
3.为避免沥青混凝土材料离析,在装料过程中应采取的措施是()。
A.车厢装料顺序前中后
B.减少堆料高度
C.XX
D.XX
E.XX
参考答案:AB
参考解析:集料的堆放:堆料采用小料堆,避免大料堆放时大颗粒流到外侧,集料产生离析。
混合料的运输:卡车装料应分三个不同位置往车中装料,第一次装料靠近车厢的前部,第二次装料靠近后部车厢门,第三次装料在中间,这样可以消除装料时的离析现象。
考点来源:2B312022沥青路面面层施工P83
4.下面属于施工安全设施的是()。
A.防撞设施
B.隔离栅
C.主动防护网
D.里程碑
E.伸缩缝
参考答案:ABD
参考解析:交通安全设施主要包括交通标志、交通标线、防撞设施、隔离栅、轮廓标、防眩设施、桥梁护网、里程标、百米标、公路界碑等。
考点来源:2B315011交通安全设施的主要构成与功能P184
2020年二级建造师公路工程管理与实务考试真题及答案已发布,考试省份:河北、内蒙古、广东、浙江。考生可加二建企业微信号【ks233wx4】,拉你进备考交流群。
案例一:
1.A的名称,可以选用什么材料
A粘层(1分):快裂或中裂乳化沥青、改性乳化沥青、快、中凝液体石油沥青(2分)
2.事件中采用何种评标方法?第一信内应封装些文件?
最低投标价法(2分):第一信封内为商务文件和技术文件(2分)
3.工序B的名称,冷再生工序顺序:①加沥青;②铣刨、翻挖;③碾压成型;④拌合;⑤加入稳定剂、水、水泥(1分):②①⑤④③(2分)
4.AC-10沥青混凝土面层关键项目,及补充关键项目。
关键项目压实度、厚度:(2分)补充关键项目:矿料级配、沥青含量(2分)
5.判断正误,并改正①细集料用破性石料生产机制砂:
②施工温度不低于7℃:
③较宽裂缝用稀浆封层材料填充后再加和浆封层:
④施工应在干燥环境中施工:
①正确。(1分)
②不正确:(1分)施工温度不低于10℃。(1分)
③不正确:(1分)较宽裂缝用热改性沥青填充后再加稀浆封层。(1分)
④正确。(1分)
2020年二级建造师公路工程管理与实务考试真题及答案已发布,考试省份:河北、内蒙古、广东、浙江。考生可加二建企业微信号【ks233wx4】,拉你进备考交流群。
案例二:
1.判断技术交定是否正确?
①第一级交底,项目经理向项目各部门负责人及全体技术人员进行交底。
②第二级交底,项目技术部门负责人或各分部分项主管工程师向现场技术人员和班组长进行交底。
③第三级交底,专职安全员负责向班组全体作业人员进行技术交底。
①不正确。(1分)第一级交底,项目总工程师向项目各部门负责人及全体技术人员进行交底。(1分)
②正确。(1分)
③不正确。(1分)第三级交底,项目技术员负责向班组全体作业人员进行技术交底。(1分)
2.T梁架设3种方法?
简易型钢导梁架桥机、联合架桥机架设法、双导梁架桥机架设法(3分)
3.A的名称、扩大基础施工工中①基础浇筑、②基坑排水、③基坑开挖、④定位放样、⑤基底处理锥型护坡、(1分)施工工序④③②⑤①(3分)
4.改正预应力张拉程序0→初应力-1.03σcon(锚固),电焊切制多余端头钢绞线低松弛力筋:0→初应力→σcon(持荷5min锚固)(2分):用砂轮锯切割(1分)
5.两个盖梁荷载组合
模板自重(2分):振捣混凝土产生的振动荷载(2分)
2020年二级建造师公路工程管理与实务考试真题及答案已发布,考试省份:河北、内蒙古、广东、浙江。考生可加二建企业微信号【ks233wx4】,拉你进备考交流群。
案例三:
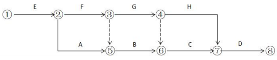
1.路段I塑料拌水板—路段II塑料拌水板,属于什么逻辑关系:路段I下层砂垫层(B)-路段1塑料拌水板(C),属于什么逻辑关系;哪一种逻辑关系一般不得调整。
组织逻辑关系(2分):工艺逻辑关系(2分):工艺逻辑关系一般不得调整。(2分)
2.寻找关键线路。背景资料:塑料排水板时间>下(上)屈砂垫层>整平原地面。
关键线路:①②③④⑥⑦⑧(3分)
3.网络计划图调整。背景资料:整平原地面大于5天。A计划于5月15日交付开工,但延迟5天交付场地,路段II可以于5月15日交付。(4分)
4.“插入套管”的紧前工序?(2分)
塑料排水板穿靴。
5.依次判断做法是否正确,不正确写出正确做法。
①路基横断面边桩放样采用“渐进法”。
②严格按照图纸中路基宽度进行分层填筑
③路堤填筑应在最佳含水的士3%的范围内碾压。
①正确。(1分)
②不正确,正确做法:应进行超宽填筑。(2分)
③不正确,正确做法:路堤填筑应在最佳含水量的士2%的范围内碾压。(2分)
2020年二级建造师公路工程管理与实务考试真题及答案已发布,考试省份:河北、内蒙古、广东、浙江。考生可加二建企业微信号【ks233wx4】,拉你进备考交流群。
案例四:
1.判断K1+100-K1+350及K1+350-K1+550的围岩级别。
背景资料:K1+100-K1+350较破碎+较坚硬;K1+350-K1+550;软岩+较破碎。
K1+100-K1+350围岩级别:IV级(2分);K1+350-K1+550:V级。(2分)
2.依次判断做法是否正确,不正确写出正确做法。
①洞口边坡、仰坡开挖采用大爆破。
②墙背回填应两侧对称进行。
③排水设施应与回填同步进行。
④拱背回填应对称分层夯实,每层厚度不得大于0.6m,两侧回填高差不得大于0.5m,回填至拱顶齐平后应分层满铺填筑。
①不正确,正确做法:严禁采用大爆破。(2分)
②正确。(1分)
③正确。(1分)
④不正确,正确做法:拱背回填应对称分层夯实,每层厚度不得大于0.3m,两侧回填高差不得大于0.5m,回填至拱顶齐平后应分层满铺填筑。(2分)
3.该隧道采用“全断面法”开挖是否合适?“全断面法”适用于什么级别围岩。
不合适。“全断面法“适用于I~III级围岩。(2分)
4.光面破的健破顺序。
掏槽眼→辅助眼→周边眼。(2分)
5.管理位移的预管理等级及施工状态。背景资料:(U0/3)≤U≤(2U0/3)。
属于II级管理等级,施工状态:应加强支护。(3分)
6.该隧道是否需要进行安全风险评估?并说明理由。
需要。理由:该隧道V级围岩长度为200m,全长450m,根据规范规定,V级围岩连续长度超过50m或占全长30%以上,需要进行安全风险评估。(3分)