知识库/证券从业 /货币时间价值概念

货币时间价值概念

货币时间价值概念相关课程

本视频可免费试听30秒,看完整版请购买课程

货币时间价值概念考点解析

所属考试:证券从业
授课老师:李泽瑞
所属科目:证券投资顾问业务
考点标签: 了解
所属章节:第二章 基本理论/第二节 货币的时间价值/货币时间价值概念
所属版本:

货币时间价值概念介绍

货币时间价值的概念及影响因素

(一)货币时间价值的概念

货币时间价值:货币经历一定时间的投资(再投资)所增加的价值,或者货币随着时间的推移而发生的增值。

货币具有时间价值的原因:

(1)货币可以满足当前消费或用于投资而产生回报,货币占用具有机会成本。

(2)通货膨胀会致使货币贬值。

(3)投资有风险,需要提供风险补偿。

(二)货币时间价值的影响因素

1、时间:时间的长短是影响货币时间价值的首要因素,时间越长,货币时间价值越明显。

2、收益率或通货膨胀率

收益率是决定货币在未来增值程度的关键因素,而通货膨胀率则是使货币购买力缩水

的反向因素。

3、单利与复利:单利始终以最初的本金为基数计算收益,而复利则以本金和利息为基数计息,从而产生利上加利、息上添息的收益倍增效应。

专题更新时间:2024/11/20 09:22:48

货币时间价值概念考点试题

判断题 1. 时间的长短是影响货币时间价值的首要因素,时间越长,货币时间价值越明显。(  )
A .
B .
去答题练习
单选题 2.人们普遍认为今天的一块钱要比明天的一块钱更值钱,主要是因为(  )
Ⅰ 对货币的占用具有机会成本
Ⅱ 投资有风险,需要提供风险补偿
Ⅲ 需要对通货膨胀损失进行补偿
Ⅳ现在消费比将来延期消费带来的满足要大
A . Ⅰ Ⅱ Ⅲ
B . Ⅲ Ⅳ
C . Ⅱ  Ⅳ
D . Ⅰ Ⅱ Ⅲ Ⅳ
去答题练习
判断题 3.收益率是影响货币时间价值的首要因素。
A .
B .
去答题练习
判断题 4. 时间的长短是影响货币时间价值的首要因素,时间越长,货币时间价值越明显。(  )
A .
B .
去答题练习
多选题 5.影响货币时间价值的主要因素包括(  )。
A . 单利或复利
B . 通货膨胀率
C . 收益率
D . 投资风险
去答题练习

大咖讲解:货币时间价值概念

李泽瑞
证券从业
银行从业
期货从业
经济学硕士、金融培训高级讲师,李泽瑞老师从事金融类考证培训,教学经验丰富,出口成“段子”,是一个让学员欲罢不能的很有个人风格的老师,江湖学员称被讲课耽误的“德云社”编外弟子。
查看老师课程
相关知识点推荐
高频

计算货币时间价值的基本参数

时间价值与利率的基本参数

1、现值:货币现在的价值,也即期间发生的现金流在期初的价值,通常用PV表示。

现值一般有两个特征∶

(1)当给定终值时,贴现率越高,现值越低。

(2)当给定利率及终值时,取得终值的时间越长,该终值的现值就越低。在其他条件相同的情况下,按单利计息的现值要高于用复利计算的现值。

2、终值:货币在未来某个时间点上的价值,也即期间发生的现金流在期末的价值,表示的是货币时间价值的概念,通常用FV表示。(资金的时间价值一般都是按照复利方式进行计算的)

3、时间:货币价值的参照系数,通常用t表示。

4、利率:影响金钱时间价值程度的波动要素,通常用r表示。将未来某时点资金的价值折算为现在时点的价值称为贴现。因此,在现值计算中,利率r也被称为贴现率。

高频

终值和现值

现值和终值的计算

(一)单利

1、单利终值的计算

 

单利

终值

指一定金额的本金按照单利计算若干期后的本利和。

FV:终值,PV:现值,r:利率,t:时间。

现值

指未来的一笔资金其现在的价值,即由终值倒求现值,一般称为贴现或折现,所使用的利率为折现率。

利息

单利是计算利息的一种方法。按照这种方法,只有本金在计息周期中获得利息,无论时间多长,所生利息均不加入本金重复计算利息。

(二)复利

 

复利

终值

复利终值是在"利滚利"基础上计算的现在的一笔收付款项在未来的本利和。

现值

复利现值:指未来发生的一笔收付款项其现在的价值,也就是将未来的一笔收付款项。

按适当的折现率进行折现而计算出的现在的价值。

利息

(三)72法则

金融学上的72法则:用作估计一定投资额倍增或减半所需要的时间的方法,即用72除以收益率或通胀率就可以得到一笔固定投资翻番或减半所需要的时间。

所谓的“72法则":假设以1%的复利来计息,经过72年以后,本金会翻一番,变成原来的2倍。

适用:利率(或通货膨胀率)在一个合适的区间内的情况下,若利率太高则不适用。72法则可以有效地节约计算时间,估算结果也与公式计算出的答案非常接近。

高频

复利期间和有效年利率

复利期间和有效年利率的计算

(一)复利期间

1、复利期间:指银行计算未支付现金利率的时间间隔。

2、复利期间数量:指一年内计算复利的次数。

终值计算公式:

m:复利期间数量;t:复利次数

(二)有效年利率

1、有效年利率:指在按照给定的计息期利率和每年复利次数计算利息时,能够产生相同结果的每年复利一次的年利率,使用EAR表示。

r:表示名义利率;m:一年内复利次数

【注】当复利期间变得无限小的时候,相当于连续计算复利:FV=PV×ert ,e≈2.7182

高频

年金的计算

年金的计算

(一)年金的概念

年金(普通年金):一组在某个特定的时段内金额相等、方向相同、时间间隔相同、不间断的现金流。

 

年金现值

年金终值

期末

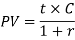
年金的现值:为每年投资收益总和,它是一定时间内每期期末收付款项复利现值之和。

假设年金现值为PV,每年付款额为C,年利率为r,付款时间为t年,根据复利现值计算公式可得:

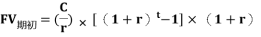
年金的终值:指一定时间内,每期期末收付的本利和,也就是将每一期的金额,按照复利计算到最后一期期末的终值的累加和。假设,年金终值为FV,每年付款额为C,年利率为r,付款时间为t年,根据复利现值计算公式可得:

期初

期初年金的现值等于期末年金现值的1+r倍,即

期初年金终值等于期末年金终值的1+r倍,即:

(二)永续年金

永续年金:指一组在无限期内金额相等、方向相同、时间间隔相同、不间断的现金流。

期末现值计算公式为∶

(三)增长型年金

增长型年金:指一组在某个特定的时段内方向相同、时间间隔相同、不间断、金额虽然不同但每期增长率相等的现金流。

 

增长型年金现值

增长型年金终值

 

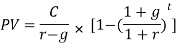
PV=C×1+r-1+C×1+g×1+r-2+....+C×1+gt-1×1+r-t

g:每年固定增长比率

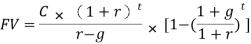
FV=C×1+rt-1+C×1+g×1+rt-2+C×1+g2×1+rt-2+...+C×1+gt-1

当r≠g时

当r=g时

(四)增长型永续年金

增长型永续年金:指在无限期内方向相同、时间间隔相同、不间断、金额虽然不同但每期增长率相等的现金流。

增长型永续年金期末现值计算公式(r>g)为:

高频

单笔现金流单期投资

单利终值的计算

 

单利

终值

指一定金额的本金按照单利计算若干期后的本利和。

FV:终值,PV:现值,r:利率,t:时间。

现值

指未来的一笔资金其现在的价值,即由终值倒求现值,一般称为贴现或折现,所使用的利率为折现率。

利息

单利是计算利息的一种方法。按照这种方法,只有本金在计息周期中获得利息,无论时间多长,所生利息均不加入本金重复计算利息。

高频

单笔现金流多期投资

复利

 

复利

终值

复利终值是在"利滚利"基础上计算的现在的一笔收付款项在未来的本利和。

现值

复利现值:指未来发生的一笔收付款项其现在的价值,也就是将未来的一笔收付款项。

按适当的折现率进行折现而计算出的现在的价值。

利息

高频

年金相关概念

年金的概念

年金(普通年金):一组在某个特定的时段内金额相等、方向相同、时间间隔相同、不间断的现金流。

 

年金现值

年金终值

期末

年金的现值:为每年投资收益总和,它是一定时间内每期期末收付款项复利现值之和。

假设年金现值为PV,每年付款额为C,年利率为r,付款时间为t年,根据复利现值计算公式可得:

年金的终值:指一定时间内,每期期末收付的本利和,也就是将每一期的金额,按照复利计算到最后一期期末的终值的累加和。假设,年金终值为FV,每年付款额为C,年利率为r,付款时间为t年,根据复利现值计算公式可得:

期初

期初年金的现值等于期末年金现值的1+r倍,即

期初年金终值等于期末年金终值的1+r倍,即:

高频

普通年金

年金(普通年金):一组在某个特定的时段内金额相等、方向相同、时间间隔相同、不间断的现金流。

 

年金现值

年金终值

期末

年金的现值:为每年投资收益总和,它是一定时间内每期期末收付款项复利现值之和。

假设年金现值为PV,每年付款额为C,年利率为r,付款时间为t年,根据复利现值计算公式可得:

年金的终值:指一定时间内,每期期末收付的本利和,也就是将每一期的金额,按照复利计算到最后一期期末的终值的累加和。假设,年金终值为FV,每年付款额为C,年利率为r,付款时间为t年,根据复利现值计算公式可得:

期初

期初年金的现值等于期末年金现值的1+r倍,即

期初年金终值等于期末年金终值的1+r倍,即:

高频

增长年金

增长型年金

增长型年金:指一组在某个特定的时段内方向相同、时间间隔相同、不间断、金额虽然不同但每期增长率相等的现金流。

 

增长型年金现值

增长型年金终值

 

PV=C×1+r-1+C×1+g×1+r-2+....+C×1+gt-1×1+r-t

g:每年固定增长比率

FV=C×1+rt-1+C×1+g×1+rt-2+C×1+g2×1+rt-2+...+C×1+gt-1

当r≠g时

当r=g时

高频

永续年金和永续增长年金

增长型永续年金

增长型永续年金:指在无限期内方向相同、时间间隔相同、不间断、金额虽然不同但每期增长率相等的现金流。

增长型永续年金期末现值计算公式(r>g)为: