二、多项选择题(共15题,每题2分。每题的备选项中,有2个或2个以上符合题意,至少有1个错项。错选。本题不得分;少选。所选的每个选项得0.5分)
71.某市一化工厂二氯乙烷车间反应釜发生爆炸,并引发火灾,致3死4伤。事后,该市安监局立即组织相关部门和专家一同深入该厂进行隐患排查工作,针对发现的人的危险因素要求该厂加强安全培训,同时,要求该厂全面开展安全生产警示教育和自查互纠跟踪活动。安全监管部门这种做法体现的安全生产管理的原则有( )。
A.系统原理的封闭原则
B.人本原理的行为原则
C.预防原理的偶然性原则
D.人本原理的激励原则
E.预防原理的3E原则
72.某硫铁矿井下炸药库因防静电设施失效造成炸药发生爆炸,产生大量的一氧化碳、氮氧化物等有毒气体,并形成强大的冲击风流,造成作业人员多人中毒和伤亡。事后,该矿采取了相应的整改措施,下列措施中,符合能量意外释放理论措施的有( )。
A.扩大炸药库通风巷道的面积
B.加大检查职工佩戴自救器频次
C.降低炸药库存量
D.巷道设置防爆水袋
E.提高防静电设施标准
73,某食品加工厂存在地窖,污水池等危险性较高场所的作业,依据《有限空问安全作业五条规定》(国家安全生产监督管理总局令第69号),下列企业的做法中,正确的有( )。
A.严格实行作业审批制度,严禁擅自进入污水池内作业
B.先通风、后作业,严禁通风次数不够就作业
C.对作业人员进行安全培训,严禁教育培训不合格人员上岗作业
D.制定应急措施,严禁盲目施救
E.将应急装备存放在专用仓库,避免遭到损坏
74.某火力发电厂由于发展需要,采用了烟气脱硝工程,增设液氨储罐区,用于脱除锅炉燃烧废物烟气中的氮氧化物,减少大气中有毒有害气体的排放。依据《企业安全生产风险公告六条规定》(国家安全生产监督管理总局令第70号),该电厂制定了相应的风险公告,下列关于该企业安全生产风险公告的做法中,符合该规定的有( )。
A.电厂醒目区域设置公告栏,液氨储罐区张贴信息卡
B.公示受教育培训人员风险管理的认知程度
C.现场作业岗位设置液氨性质、危害和防治信息专栏
D.在进料作业区域标明安全操作规程
E.在液氨储罐区标明应急措施
75.甲安全评价机构运用作业条件危险性分析方法,对乙金属矿山企业的料石粉碎车问进行安全评价。运用该评价方法需开展的工作内容包括( )。
A.分析发生事故的可能性
B.查找作业条件状态的偏差
C.统计暴露危险环境的频率
D.计算事故发生的严重度
E.辨识作业故障模式
76.在现代工业设计和生产工艺领域,通过采取隔离、设置薄弱环节、个体防护等安全技术措施,旨在防止或减少事故造成的能量意外释放对人的伤害和物的破坏。下列关于安全技术措施的说法中,正确的有( )。
A.汽车设计安全气囊属于隔离技术
B.施工现场布设高清监控摄像头属于安全监控技术
C.矿山设置避难舱属于隔离技术
D.金属加工车间设置通风除尘系统属于设置薄弱环节技术
E.作业现场操作人员佩戴安全帽属于个体防护技术
77.某矿业集团公司对下属矿山企业进行安全检查时发现,该企业尾矿库泄洪道下游约100m处有多处临建宿舍。针对上述尾矿库存在的隐患,下列说法中,正确的有( )。
A.该隐患应由矿山主要负责人立即组织整改
B.该隐患治理工作应确保安全投入到位
C.该隐患需向当地安全生产监督管理部门及时报告
D.该隐患属于较大事故隐患
E.该隐患应由尾矿库负责人立即组织整改
78.某火力发电厂锅炉巡检工作路线及时间要求为:集控室→电梯→给煤机(2min)→火检冷却风机(1min)→炉前油系统(1min)→燃烧器区(1min)→空气预热器(2min)一空气压缩机(2min)→送风机(1min)→次风机(1min)→引风机(1min)→磨煤机(5min)→密封风机(1min)→捞渣机系统(1min)→电梯→集控室。每2h巡检1次,持续约0.5h,依据《生产过程危险和有害因素分类与代码》(GB/T13861—2009),上述作业过程中,巡检工接触到的化学性危害因素有( )。
A.煤尘、矽尘
B.NO2、NO、CO、SO2
C.噪声、振动
D.高温、热辐射
E.紫外线、红外线
79.职业危害控制的主要安全技术措施包括防止和减少危害工程技术措施。下列防止苯中毒的措施中,属于隔离措施的有( )。
A.采取通风措施降低作业场所苯浓度
B.有苯作业时密闭生产
C.合理组织苯作业场所劳动过程
D.进入有苯作业现场佩戴防毒面具
E.建立健全职业危害预防控制制度
80.企业安全生产应急管理是对突发事件实施综合性、全过程的一种管理模式。为对突发事件采取正确的应对措施,国家出台了相应的应急管理规定。下列做法中,符合《企业安全生产应急管理九条规定》(国家安全生产监督管理总局令第70号)要求的有( )。
A.重点岗位设置应急处置卡,每2年至少组织1次应急演练
B.事故发生后,企业在第一时间做好先期处置
C.企业开展从业人员岗位应急知识教育和自救互救、避险逃生技能培训
D.企业向从业人员告知作业岗位、场所危险因素和险情处置要点
E.企业不定期对应急投入、应急准备、应急处置与救援等工作进行总结评估
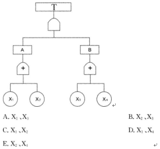
81.某起高处坠落事故的事故树分析如图所示,T代表高处坠落事故,A代表安全带未起作用,B代表脚手架栏杆缺失,X1为安全带功能损坏,X2为安全带未高挂低用,X3为安全措施费用不到位,X4为脚手架栏杆强度不足,可能导致该起事故的原因有( )。

82.某建筑工地施工人员甲在拆除防雨棚时,未系安全带。甲用手抓住连接支撑防雨棚钢立柱的横拉杆横向移动身体,横拉杆在外力的作用下脱落,甲当即从6.2m处坠落,穿过破损的防护网触地,经抢救无效死亡。事后调查发现,甲未系安全带和横拉杆与钢立柱未采取满焊方式连接是造成该起事故的直接原因,同时事故调查组认为造成该起事故的间接原因还有( )。
A.施工单位安全防护设施不到位
B.施工单位未认真落实高处作业需佩戴安生防护用品的防范措施
C.甲未按高处作业的有关规定,从梯子上下铜立柱作业,而是直接在横拉杆上移动身体
D.施工单位未派人进行检查,致使横拉杆留下焊接不牢的隐患未发现
E.施工单位未派人对拆除作业实施有效的现场监护
83.某化工企业发生一起反应釜爆炸事故,造成多名人员伤亡,并对环境造成污染。依据《企业职工伤亡事故经济损失统计标准》(GB6721—86),下列费用中,属于该起事故间接经济损失的有( )。
A.人员治疗费用
B.处理事故过程中所使用车辆的运输费
C.处理事故造成的环境污染费用
D.该设备停产的损失价值
E.上级单位对该起事故的罚款
84.某省医科大学职业病科研组对甲地区职业卫生现状进行调研,拟选用下列统计指标。其中,属于职业卫生常用统计指标的有( )。
A.发病率
B.患病率
C.病死率
D.粗死亡率
E.千人死亡率
85.为贯彻落实《安全生产法》,进一步健全安全生产责任体系,强化企业安全生产主体责任落实,国家安全生产监督管理总局制定了《企业安全生产责任体系五落实五到位规定》(安监总办[2015]27号),下列有关企业安全生产主体责任的内容中,属于“五到位”的有( )。
A.安全投入到位
B.安全培训到位
C.安全管理到位
D.安全考核到位
E.安全整改到位


























