注安管理真题第三章:安全评价方法
☟☟ 立即扫码,进百日刷题营 ☟☟

【2024】某氧气充装企业生产流程为:储罐中的液氧经泵输送至汽化器,在汽化器汽化后送至充装系统。该流程可能发生爆炸事故。为系统掌握流程发生爆炸事故的模式该企业拟采用事件树分析法进行分析。下列事件中,不适合作为事件树分析的初始事件是( )。
A. 汽化器出口温度低于标准值
B. 液氧储罐珠光砂层破坏
C. 安全阀失效
D. 雷电击中储罐
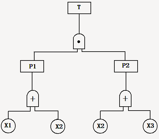
【2023】某生产三甲胺盐酸盐化工厂,由于一装置突然停机而造成整条生产线停产。为了诊断故障,进行了故障树分析(如下图所示)。其基本事件发生的概率分别为 q1=0.03,q2=0.02,q3=0.05。该装置突然停机(顶上事件)T发生的概率是()。

A. 0.01853
B. 0.02153
C. 0.01812
D. 0.02147
T=P1·P2=(x1+x2)·(x2+x3)=x1x2+x1x3+x2x2+x2x3
=x1x2+x1x3+x2(等幂律A·A=A)+x2x3
=x2(吸收率A+A·B=A可以将X2+X2x1=x2,x2x3+x2=x2)+x1x3
=X2+X1X3
最小割集为{X2}、{X1X3},其最小割集中无重复事件。
用逻辑加的公式计算即可:
Q=1-(1-q2)·(1-q1q3)=1-(1-0.02)·(1-0.03·0.05)=0.02147
【2023】某有色金属冶炼企业计划采用适用的安全评价方法对现有火法、湿法冶炼等工艺风险进行辨识评估,下列安全评估的做法中,不适用于预先危险分析方法的是 ()
A. 对拟改建的火法冶炼自动浇注机进行安全预评价
B. 对萃取分离等工序定量分析泄露后果和风险排查
C. 对铝锭等成品自动转运机器人检修作业风险排查
D. 对已建成的湿法冶金净化装置的风险梳理和排查
预先危险分析又称初步危险分析。预先危险分析方法是一项实现系统安全危害分析的初步或初始工作,在设计、施工和生产前,首先对系统中存在的危险性类别、出现条件、导致事故的后果进行分析,目的是识别系统中的潜在危险,确定危险等级,防止危险发展成事故。
B选项错误:PHA作为一种定性分析法,B选项的定量分析是不合适的。
【2024】精细化工企业的原料和产物均为易燃液体,反应过程为放热,主反应釜设有搅拌系统、氮气保护系统和夹套冷却水系统。按照国家相关规定,企业对生产工艺过程进行 HAZOP分析。下列HAZOP分析的偏差中,不适用于本反应釜工艺节点的偏差是( )。
A. 釜内温度高
B. 车间湿度高
C. 氮气无
D. 搅拌速度过快
偏差=引导词+工艺参数

【2024】某石油化工企业可燃液体储罐区呼吸阀排出的气体在进入焚烧装置前需进行气液分离。如气液分离罐无保温措施,冬季可能导致液体冻结。按照预先危险性分析方法,关于气液分离罐危险性等级的说法,正确的是( )。
A. 巡检人员发现液体冻结膨胀导致气液分离罐体破裂,此时危险性为Ⅲ级
B. 液体冻结后,液位处于正常范围时,暂时不会造成系统损坏,此时危险性为I级
C. 巡检人员发现液体冻结后,采取了正确的应急措施,此时危险性为Ⅱ级
D. 液体部分结晶,液位上升直至系统触发高液位报警,此时危险性为Ⅳ级
为了评判危险、有害因素的危害等级以及它们对系统破坏性的影响大小,预先危险分析方法给出了各类危险性的划分标准。该法将危险性划分为4个等级:
I安全的,不会造成人员伤亡及系统损坏。
Ⅱ临界的,处于事故的边缘状态,暂时还不至于造成人员伤亡、系统破坏或降低系统性能,但应予以排除或采取控制措施。
Ⅲ危险的,会造成人员伤亡和系统损坏,要立即采取防范措施。
Ⅳ灾难性的,造成人员重大伤亡及系统严重破坏的灾难性事故,必须予以果断排除并进行重点防范。
【2023】某安全评价机构对液氮低碳燃烧系统项目进行安全评价,安全评价报告中涉及....方法:①安全检查表法;②故障类型及影响分析;③危险可操作性研究;④事故树分析⑤易燃易爆、有毒重大危险源评价法,属于概率风险评价法的有()
A. ②
B. ①
C. ④
D. ③
E. ⑤
【2023】某化工企业采用HAZOP方法对某装置一级分离器的危险、有害因素进行分析,该一级分离器的工艺参数主要有流量、压力和温度,根据偏差定义,属于一级分离器偏差的有( )
A. 流量充足
B. 压力高
C. 温度高
D. 压力适中
E. 温度低
1.流量偏差:流量偏差是指实际流量与设计流量之间的差异。如果流量不足,可能会影响分离效果;如果流量过大,可能会导致过度分离,浪费资源。
2.压力偏差:压力偏差是指实际压力与设计压力之间的差异。如果压力不足,可能会导致流体无法通过分离器进行有效的分离;如果压力过大,可能会导致分离器损坏或过度分离。
3.温度偏差:温度偏差是指实际温度与设计温度之间的差异。如果温度过高,可能会导致分离器内部的化学反应加速,损坏设备或产生危险;如果温度过低,可能会导致流体在分离器内结冰或形成固体沉淀,影响分离效果。
试题不够刷?注安V1题库体验版会员免费领!
1、新用户专属好礼:30天V1体验版题库会员
233网校向新用户开放30天V1题库体验版会员免费领,只要您是233网校的新用户,首次注册即可领取30天V1题库体验版会员,可开放100%章节题库。
【☟☟233网校新用户,注册即可领取30天V1题库体验版会员☟☟】
2、首次登录233网校APP:7天V1体验版题库会员
首次登录233网校APP,即可领取7天V1体验版题库会员。233网校APP题库提供每日一练、章节习题、模拟试题、历年真题、知识点打卡、模考大赛、答题闯关等丰富的刷题活动,欢迎您下载体验!
【☟☟扫码下载安装233网校APP☟☟】
3、活动赠送奖励:1-7天V1体验版题库会员
233网校定期举行丰富的答题活动,每个活动可获得1-7天V1体验版题库会员,累积下来可以获得30天V1体验版题库会员,相当于每个月都免费送您V1体验版题库会员呢。
活动入口>>【模考大赛】【答题闯关(3/7天)】【考点打卡(3/7天)】【组队打卡3/6/9天】




























