233Уƶ
ɨάAPP
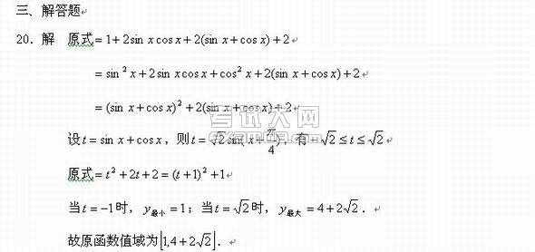
答案
2021˸߿ͻƿѵ
2021˸߿
2021˸߿ʱ
ײͰרVIP/VIP++ģ)
ײƣ1Ŀ 2ǰ2 3ѧһα
1 2γ̽+μ+ƶ
[й:IP:223.104.*.*] -kjmo**le_k5klp3
[ʡ:IP:36.44.*.*] -wech**_ftjtbfj
[ɽʡ:IP:111.16.*.*] -mobi**_n4a9qal
[ʡ̽:IP:123.244.*.*] -kjmo**le_3ib6o4
[ӱʡȷ:IP:27.189.*.*] -wech**_fw47x7
IPhone