1、我国2019年财政支出为14万亿元,2020年财政支出为15万亿元,则2020年财政支出增长率为( )。
A.6.8%
B.7.1%
C.7.5%
D.8.1%
2、我国2016年国内生产总值为80万亿元,财政支出为25万亿元;2017年国内生产总值为100万亿元,财政支出为30万亿元。则2017年财政支出增长的弹性系数为( )。
A.0.2
B.5.0
C.1.2
D.0.8
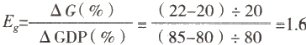
3、某国2022年国内生产总值为80万亿元,财政支出为20万亿元;2023年国内生产总值为85万亿元,财政支出为22万亿元。则2023年财政支出增长的弹性系数为()。
A.0.84
B.1.2
C.1.6
D.2.4

4、关于财政支出规模相对指标的说法,正确的有()。
A.该指标反映了一定时期内全社会创造的财富中由政府直接支配和使用的数额
B.该指标体现了社会财力的集中程度
C.该指标不能充分反映政府在整个社会经济发展中的地位
D.该指标反映了社会资源在市场和政府之间配置的比例
E.该指标可以直观地反映某一财政年度内政府支配的社会资源总量
5、政府财政支出增长的边际倾向表明( )。
A.财政支出增长额与国内生产总值增长额之间的关系
B.财政支出与国内生产总值之间的关系
C.国内生产总值每增加一个单位时,财政支出增加多少
D.财政支出每增加一个单位时,国内生产总值增加多少
E.财政支出增长额占国内生产总值的比例
6、衡量财政支出增长的指标有()。
A.财政支出总额
B.财政支出增长的边际倾向
C.财政支出规模
D.财政支出增长率
E.国内生产总值增长额
初级经济师备考交流群
添加初级经济师学霸君企业微信,拉你进备考刷题群,在考试的各阶段,全程陪伴你备考。
初级经济师学霸君企业微信,扫码添加↓↓

初级经济师历年真题
备考初级经济师,刷历年真题是感受考试难度、摸清出题规律的核心方法!通过反复研习真题,不仅能直观感知各科目的难易梯度、高频考点的分布逻辑,更能精准把握命题人的出题思路和陷阱设置;同时还能帮你检验知识掌握程度,找到自身薄弱环节,进而优化备考策略、提高答题效率,让复习方向更清晰,备考少走弯路。
| 科目 | 历年真题 | 真题下载 |
|---|---|---|
| 初级经济基础 | 历年真题 | 真题下载 |
| 初级人力资源 | 历年真题 | 真题下载 |
| 初级工商管理 | 历年真题 | 真题下载 |
| 初级金融专业 | 历年真题 | 真题下载 |
初级经济师历年真题哪里有?初级经济师考试历年真题,可通过以下方式查看、刷题或者下载:
方式一:打开【233网校APP】,选择【初级经济师】,进入【题库】,找到【历年真题/真题估分】即可查看初级经济师历年真题。
方式二:微信搜索【233网校初级经济师题库】或者【233网校财会类题库】,都可以进入小程序快速刷题,也可以扫描下图二维码进行刷题。

方式三:点击进入【233网校初级经济师在线题库】,找到【历年真题】,即可查看初级经济师历年真题。



























