A.Extranet
B.局域网
C.项目信息门户
D.Internet
22、 下列建设工程项目招标投标活动中,属于合同要约行为的是( )。
A.提交投标文件
B.汀立承包合同
C.发出中标通知书
D.发布招标公告
23、 ABC分类管理法中,A类问题是指( )问题。
A.主要
B.一般
C.次要
D.特殊
24、 采用信息技术辅助进度控制,属于进度控制的( )。
A.组织措施
B.管理措施
C.经济措施
D.技术措施
25、 辅助进度控制的计算机软件是指以( )为核心的项目管理软件包。
A.横道图
B.网络技术
C.网络计划
D.网络图
26、施工现场宿舍的设置,符合要求的是( )。
A.室内净高于2.2m
B.每间宿舍居住人员18人
C.2层床铺
D.通道宽度1.2m
27、 按照我国的现行规定,施工现场( )人以上的临时食堂,污水排放时可设置有效的隔油池。
A.50
B.100
C.150
D.200
28、为了实现业主方内部、业主方与项目参与各方,以及项目参与各方之间的信息交流、协同工作和文档管理,可以通过基于互联网的项目专用网站,或( )实现。
A.项目信息门户
B.商务平台
C.网络通信协议
D.现代通信技术
29、 在编制成本支出计划时,要在项目的总的方面考虑总的预备费,也要在( )安排适当的不可预见费。
A.所有的分项工程中
B.所有的检验批中
C.主要的检验批中
D.主要的分项工程中
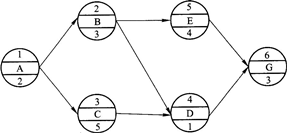
30、下图所示的单代号网络计划,其计算工期为( )天。

A.11
B.9
C.12
D.15

