13.7.1 建设期利息考点解析
13.7.1 建设期利息介绍
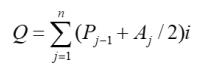
1.建设期利息:是指项目借款在建设期内发生并计入固定资产的利息。为了简化计算,在编制投资估算时通常假定借款均在每年的年中支用,借款第一年按半年计息,其余各年份按全年计息

1.01MB
下载
1.13MB
下载
1.19MB
下载
1.10MB
下载
1.30MB
下载
1.01MB
下载
211.82KB
下载
1004.25KB
下载
504.42KB
下载
676.82KB
下载
327.58KB
下载
348.11KB
下载正确答案: C
答察解析: 建设期各年利息计算如下:
第1年应计利息=0.5×100×10%=5万元
第2年应计利息=(100+5+0.5×200)×10%=20.5万元
建设期利息总和:5+20.5=25.5万元
正确答案: A
答察解析: 建设期利息包括各类借款利息、债券利息、贷款评估费、国外借款手续费及承诺费、汇兑损益、债券发行费用及其他债务利息支出或融资费用。故本题选ABC。
DE选项错误,均属于价差预备费的内容。
正确答案: C
答察解析: 为了简化计算,在编制投资估算时通常假定借款均在每年的年中支用,借款当年按半年计息,其余各年份按全年计息。
第一年:1500×0.5×5%=37.5万元;
第二年:(1500+37.5+500×0.5)×5%=89.375万元;
合计:37.5+89.375=126.875万元。
正确答案: D
答察解析: 建设期第1年应计利息:2000×0.5×5%=50万元
建设期第2年应计利息:(2000+50+1500×0.5)×5%=140万元
建设期利息=50+140=190万元
拒绝盲目备考,加学习群领资料共同进步!

免费听
赵春晓
幽默风趣,思维导图总结精彩,考点层次分明。
主讲:安全生产管理,建设工程施工管理,建设工程项目管理
233网校一级建造师《项目管理》、二级建造师《施工管理》独家签约网课老师。某“双一流、211”高校副研究员、硕导,国家一级注册建造师、造价师。

免费听
王东兴
灵魂导师
主讲:建设工程法规及相关知识,建设工程法规及相关知识,安全生产法律法规
管理学硕士,国家注册一级建造师,多年从事教育行业,主攻工程经济、项目管理、企业管理方向。

免费听
董航
主讲:建设工程经济
曾任中建一局集团项目执行经理,多年现场经验,对施工现场生产管理、现场安全、施工技术非常熟悉,在一级建造师、注册安全工程师执业资格考试方面,有丰富的教学经验,更有其独特的培训风格,其地毯式培训教学,准确打击知识点,每年都会帮助广大学员顺利取证。

免费听
江凌俊
口诀一绝
主讲:目标控制(土木建筑),进度控制(水利),建筑施工安全,建筑工程管理与实务,建筑工程,建筑施工安全
曾在设计院任职,线上线下多年培训行业从业经历。

免费听
胡宗强
主讲:市政公用工程
从事建造师培训多年。经验丰富,命题方向把握准确。

免费听
梁毛
主讲:案例分析(土木建筑),建筑工程
工程管理证书“大满贯”获得者,一级建造师(建筑/机电)、造价工程师、监理工程师(土建/交通)、二级建造师(建筑/机电/市政)、高级工程师(建筑工程)
专业智能,高效提分
章节练习
章节专项突破
进入做题
精选试题
省时高效精选
进入做题
模拟考场
海量题免费做
进入做题
考前点题
高效锁分72小时
进入做题
每日一练
每天进步一点点
进入做题
历年真题
真题实战演练
进入做题
易错题
精选高频易错题
进入做题
模考大赛
同场闯关做题
进入做题
APP刷题神器
模考大赛
考点打卡
做题闯关

扫描二维码 下载233网校APP刷题
微信扫码关注公众号
获取更多考试资料