9.3.1地基与基础工程质量通病防治考点解析
9.3.1地基与基础工程质量通病防治介绍
1.边坡塌方
1)原因分析
(1)基坑(槽)开挖坡度不够。
(2)在有地表水、地下水作用的土层开挖时,未采取有效的降排水措施。
(3)边坡顶部堆载过大,或受外力振动影响。
(4)土质松软,开挖次序、方法不当。
2)预防与治理
对基坑(槽)塌方,应清除塌方后采取临时性支护措施;对永久性边坡局部塌方,应清除塌方后用块石填砌或用2:8、3:7灰土回填嵌补,与土接触部位做成台阶搭接,防止滑动;或将坡度改缓。同时,应做好地面排水和降低地下水位的工作。
2.预制桩桩身断裂
1)原因分析
(1) 制作桩时,桩身弯曲超过规定,桩尖偏离桩的纵轴线较大,沉入过程中桩身发生倾斜或弯曲。
(2)制作桩的混凝土强度不够,桩在堆放、吊运过程中产生裂纹或断裂未被发现。
(3)稳桩不垂直,压入地下一定深度后,再用走架方法校正,使桩产生弯曲。
(4)桩入土后,遇到大块坚硬的障碍物,把桩尖挤向一侧。(5)两节桩或多节桩施工时,相接的两节桩不在同一轴线上,产生了弯曲。
2)预防与治理
(1)施工前应对桩位下的障碍物清除干净,必要时对每个桩位用钎探了解。对桩构件进行检查,发现桩身弯曲超标或桩尖不在纵轴线上的不宜使用。
(2)在稳桩过程中及时纠正不垂直,接桩时要保证上下桩在同一纵轴线上,接头处要严格按照操作规程施工。
(3)桩在堆放、吊运过程中,严格按照有关规定执行,发现裂缝超过规定坚决不能使用。
(4)应会同设计人员共同研究处理方法。根据工程地质条件,上部荷载及桩所处的结构部位,可以采取补桩的方法。可在轴线两侧分别补一根或两根桩。
3.干作业成孔灌注桩的孔底虚土多
1)通病现象
成孔后孔底虚土过多,超过标准中不大于100mm的规定。
2)通病治理
(1) 在孔内做二次或多次投钻。
(2) 用勺钻清理孔底虚土。
(3) 如虚土是砂或砂卵石时,可先采用孔底浆拌合,然后再灌混凝土。
(4) 采用孔底压力灌浆法、压力灌混凝土法及孔底夯实法解决。
4. 泥浆护壁灌注桩坍孔
(1)原因分析
1)泥浆比重不够,起不到可靠的护壁作用。
2)孔内水头高度不够或孔内出现承压水,降低了静水压力。
3)护筒埋置太浅,下端孔坍塌。
4)在松散砂层中钻孔时,进尺速度太快或停在一处空转时间太长,转速太快。
5)冲击(抓)锥或掏渣筒倾倒,撞击孔壁。
6)用爆破处理孔内孤石、探头石时,炸药量过大,造成很大震动。
(2)通病治理
1)在松散砂土或流沙中钻进时,应控制进尺,选用较大相对密度、黏度、胶体率的优质泥浆(或投入黏土掺片石或卵石,低锤冲击,使黏土膏、片石、卵石挤入孔壁)。
2)如地下水位变化过大:应采取升高护筒、增大水头或用虹吸管连接等措施。
3)严格控制冲程高度和炸药用量。
4)孔口坍塌时:应先探明位置,将砂和黏土(或砂砾和黄土)混合物回填到坍孔位置以上1~2m;如坍孔严重,应全部回填,等回填物沉积密实后再进行钻孔。
731.17KB
下载
818.95KB
下载
715.92KB
下载
643.35KB
下载
737.82KB
下载
595.91KB
下载
258.72KB
下载
168.44KB
下载
509.53KB
下载
211.00KB
下载
186.85KB
下载
151.96KB
下载

正确答案:
答察解析: 【第1问】
孔口坍塌时:应先探明位置,将砂和黏土(或砂砾和黄土)混合物回填到坍孔位置以上1~2m;如坍孔严重,应全部回填,等回填物沉积密实后再进行钻孔。
【第2问】
1)工程A的延误工期费用均可以索赔,因为地质条件有误属于业主责任,且A在关键线路上。
2)工程D延误工期费用均不可索赔。特大暴雨属于不可抗力,承包人需自行承担窝工损失;经计算D的总时差为10d,延误4d没有超过总时差,所以不可索赔。
3)工程C设计变更工期费用均可索赔,设计变更属于业主责任,且C是关键工作。
4)G工程赶工措施费属于技术措施费,应由施工单位承担,不可以索赔。
【第3问】
C工作延误造成的人工工日费=50×20×(1+20%)+30×10 =1500元。
【第4问】
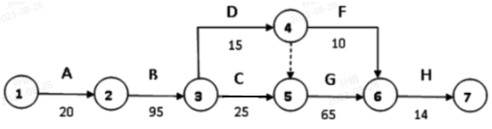
先按Ⅰ-Ⅱ-Ⅲ顺序安排,工期T=14d
再按Ⅱ-Ⅰ-Ⅲ顺序安排,工期T=13d
因此按照Ⅱ-Ⅰ-Ⅲ的施工方案更合适,比原工期缩短1天。

【第5问】
考虑上述所有事件,关键线路为A→B→C→G→H 工期T=25+95+27+60+13=220天
又因合同工期=219天,所以220-(219+5+2)=-6天,所以奖励6×5000=30000元。
【第6问】
选择优化对象应考虑下列因素:
(1)缩短持续时间对质量和安全影响不大的工作;
(2)有备用资源的工作;
(3)缩短持续时间所需增加的资源、费用最少的工作。
正确答案:
答察解析: 需要处理。
理由:超过标准中不大于100mm的规定。
治理:①在孔内做二次或多次投钻。
②用勺钻清理孔底虚土。
③采用孔底压力灌浆法、压力灌混凝土法及孔底夯实法解决。
正确答案:
答察解析: (1)孔口坍塌时:应先探明位置,将砂和黏土(或砂砾和黄土)混合物回填到坍孔位置以上1~2m;如坍孔严重,应全部回填,等回填物沉积密实后再进行钻孔。
(2)如螺栓孔相对偏移较大,经设计人员同意可将螺栓割除,将根部螺栓焊于预埋钢板上,附上一块与预埋钢板等厚的钢板,再采取铆钉塞焊法焊在预埋钢板上,然后根据设计要求焊上新螺栓。
正确答案:
答察解析: (1)孔口坍塌时:应先探明位置,将砂和黏土(或砂砾和黄土)混合物回填到坍孔位置以上1~2m;如坍孔严重,应全部回填,等回填物沉积密实后再进行钻孔。
(2)如螺栓孔相对偏移较大,经设计人员同意可将螺栓割除,将根部螺栓焊于预埋钢板上,附上一块与预埋钢板等厚的钢板,再采取铆钉塞焊法焊在预埋钢板上,然后根据设计要求焊上新螺栓。
1.钢筋混凝土工程主要质量问题防治
1)钢筋错位(主筋位置或保护层偏差过大)
原因分析:
(1)钢筋未按照设计或翻样尺寸进行加工和安装。
(2)钢筋现场翻样时,未合理考虑主筋的相互位置及避让关系。
(3)混凝土浇筑过程中,钢筋被碰撞移位后,在混凝土初凝前,没能及时被校正。
(4)保护层垫块尺寸或安装位置不准确。
防治措施:
(1)钢筋现场翻样时,应根据结构特点合理考虑钢筋之间的避让关系,现场钢筋加工应严格按照设计和现场翻样的尺寸进行加工和安装。
(2)钢筋绑扎或焊接必须牢固,固定钢筋措施可靠有效。
(3)混凝土浇筑过程中应采取措施,尽量不碰撞钢筋,严禁砸、压、踩踏和直接顶撬钢筋,同时浇筑过程中要有专人随时检查钢筋位置,并及时校正。
(4)为使保护层厚度准确,垫块要沿主筋方向摆放,位置、数量准确。
2)混凝土强度等级达不到设计要求
原因:
(1)配置混凝土所用原材料的材质不符合国家标准的规定。
(2)拌制混凝土时没有法定检测单位提供的混凝土配合比试验报告,或操作中未能严格按混凝土配合比进行规范操作。
(3)拌制混凝土时投料计量有误。
(4)混凝土搅拌、运输、浇筑、养护不符合规范要求。
防治措施:
(1)拌制混凝土所用水泥、粗细骨料和外加剂等均必须符合有关标准规定。
(2)必须按法定检测单位发出的混凝土配合比试验报告进行配制。
(3)配制混凝土必须按质量比计量投料且计量要准确。
(4)混凝土拌合必须采用机械搅拌,加料顺序为:粗骨料→水泥→细骨料→水,并严格控制搅拌时间。
(5)混凝土的运输和浇捣必须在混凝土初凝前进行。
(6)控制好混凝土的浇筑和振捣质量。
(7)控制好混凝土的养护。
3)混凝土表面缺陷(麻面、露筋、蜂窝、孔洞等)
原因:
① 模板表面不光滑、安装质量差,接缝不严、漏浆,模板表面污染未清除。
② 木模板在混凝土入模之前没有充分湿润,钢模板隔离剂涂刷不均匀。
③ 局部配筋、铁件过密,阻碍混凝土下料或无法正常振捣。
④ 混凝土坍落度、和易性不好。
⑤ 混凝土浇筑方法不当、不分层或分层过厚,布料顺序不合理等。
⑥ 混凝土浇筑高度超过规定要求,且未采取措施,导致混凝土离析。
⑦ 漏振或振捣不实。
防治措施:
① 模板使用前应进行表面清理,保持表面清洁光滑,钢模应保证边框平直,组合后应使接缝严密,必要时可用胶带加强,浇混凝土前应充分湿润或均匀涂刷隔离剂。
② 按规定或方案要求合理布料,分层振捣,防止漏振。
③ 对局部配筋或铁件过密处,应事先制订处理措施,保证混凝土能够顺利通过, 浇筑密实。
4)混凝土构件尺寸、轴线位置偏差大

5)混凝土收缩裂缝
(1)现象:裂缝多出现在新浇筑并暴露于空气中的结构构件表面,有塑态收缩、沉陷收缩、干燥收缩、碳化收缩、凝结收缩等收缩裂缝。
2.钢结构工程质量问题防治
1)地脚螺栓位移
(2)防治措施:
①先浇筑混凝土,预留孔洞,后埋螺栓。在埋螺栓时,采用型钢两次校正办法,检查无误后,浇筑预留孔洞。
②将每根柱的地脚螺栓用预埋钢架固定,一次浇筑混凝土。
③可用氧乙炔火焰将柱底座板螺栓孔扩大,安装时,另加厚钢垫板。
④如螺栓孔相对偏移较大,经设计人员同意可将螺栓割除,将根部螺栓焊于预埋钢板上,附上一块与预埋钢板等厚的钢板,再采取铆钉塞焊法焊在预埋钢板上,然后根据设计要求焊上新螺栓。
2)焊缝夹渣【新增】
(2)防治措施:
①焊件和焊接材料的品种必须符合设计要求,并有出厂合格证。
②焊接时正确选用电流值、焊接速度,清理坡口及其边缘范围内的铁锈等杂物。
③焊条运动要正确,适当摆动,以使熔渣浮出铁水表面。
④严重的内部夹渣应按返修方案规定进行补焊。
3.砌体工程中主要质量问题防治
1) 地基不均匀下沉引起的墙体裂缝
(1)通病现象:在纵墙的两端出现斜裂缝,多数裂缝通过窗口的两个对角,裂缝向沉降较大的方向倾斜,并由下向上发展。
(2)防治措施
①地基的软弱部位进行加固处理后,方可进行砖基础施工。
②合理设置沉降缝。
③ 提高上部结构的刚度,增强墙体抗剪强度。应在基础顶面(±0.000)处及各楼层门窗口上部设置圈梁,减少建筑物端部门窗数量。
④ 宽大窗口下部应考虑设混凝土梁或砌反砖拱以适应窗台反梁作用的变形,防止窗台处产生竖直裂缝。
⑤除了加强基础整体性外,也可采取通长配筋的方法来加强。
2)填充墙砌筑不当,与主体结构交接处裂缝
(2)防治措施
① 柱边(框架柱或构造柱)应设置间距不大于500mm的2Ф6钢筋。
② 填充墙梁下口最后3皮砖应在下部墙砌完14d后砌筑。
③ 如为空心砖外墙,里口用半砖斜砌墙。
④ 外窗下为空心砖墙时,若设计无要求,将窗台改为细石混凝土并加配钢筋。
⑤柱与填充墙接触处应设加强网片。
1.地下防水工程质量问题防治
1)防水混凝土施工缝渗漏水(接槎明显,沿缝隙处渗漏水)

2)防水混凝土裂缝渗漏水(表面有不规则收缩裂缝且贯穿于混凝土结构)

3)管道穿墙(地)部位渗漏水(管道穿墙处与混凝土脱离)

2.屋面防水工程施工质量问题防治
1)卷材屋面开裂

2)卷材屋面流淌
(1) 通病现象
严重流淌:流淌面积占屋面50%以上,大部分流淌距离超过卷材搭接长度。
中等流淌:流淌面积占屋面20%~50%,大部分流淌距离在卷材搭接长度范围之内。
轻微流淌:流淌面积占屋面20%以下,流淌长度仅2~3cm。
(2)原因分析
(3)通病治理

a. 切割法:对于天沟卷材耸肩脱空等部位,可先清除保护层,切开将要脱空的卷材,刮除卷材底下积存的旧胶结料,待内部冷凝水晒干后,将下部已脱开的卷材用胶结料粘贴好,加铺一层卷材,再将上部卷材盖上。
b. 局部切除重铺:对于天沟处折皱成团的卷材,先予以切除,仅保存原有卷材较为平整的部分,使之沿天沟纵向成直线;新旧卷材的搭接应按接槎法或搭槎法进行。
c. 钉钉子法:当施工后不久,卷材有下滑趋势时,可在卷材的上部离屋脊300~ 450mm范围内钉三排50mm长圆钉,钉眼上灌胶结料。
3)屋面卷材起鼓
(3) 通病治理

4)山墙、女儿墙部位漏水

1.建筑装饰装修工程常见质量问题
建筑装饰装修工程常见的施工质量缺陷有:空、裂、渗、观感效果差等。
1.技术与管理
(1)承担建筑节能工程的施工企业应具备相应的资质;
(2)设计变更不得降低建筑节能效果。当设计变更涉及建筑节能效果时,应经原施工图设计审查机构审查,在实施前办理设计变更手续,并获得监理或建设单位的确认。
(3)建筑节能工程采用的新技术、新设备、新材料、新工艺,应按照有关规定进行评审、鉴定及备案。施工前应对新的或首次采用的施工工艺进行评价,并制订专门的施工技术方案。
1.钢筋混凝土工程主要质量问题防治
1)钢筋错位(主筋位置或保护层偏差过大)
原因分析:
(1)钢筋未按照设计或翻样尺寸进行加工和安装。
(2)钢筋现场翻样时,未合理考虑主筋的相互位置及避让关系。
(3)混凝土浇筑过程中,钢筋被碰撞移位后,在混凝土初凝前,没能及时被校正。
(4)保护层垫块尺寸或安装位置不准确。
防治措施:
(1)钢筋现场翻样时,应根据结构特点合理考虑钢筋之间的避让关系,现场钢筋加工应严格按照设计和现场翻样的尺寸进行加工和安装。
(2)钢筋绑扎或焊接必须牢固,固定钢筋措施可靠有效。
(3)混凝土浇筑过程中应采取措施,尽量不碰撞钢筋,严禁砸、压、踩踏和直接顶撬钢筋,同时浇筑过程中要有专人随时检查钢筋位置,并及时校正。
(4)为使保护层厚度准确,垫块要沿主筋方向摆放,位置、数量准确。
2)混凝土强度等级达不到设计要求
原因:
(1)配置混凝土所用原材料的材质不符合国家标准的规定。
(2)拌制混凝土时没有法定检测单位提供的混凝土配合比试验报告,或操作中未能严格按混凝土配合比进行规范操作。
(3)拌制混凝土时投料计量有误。
(4)混凝土搅拌、运输、浇筑、养护不符合规范要求。
防治措施:
(1)拌制混凝土所用水泥、粗细骨料和外加剂等均必须符合有关标准规定。
(2)必须按法定检测单位发出的混凝土配合比试验报告进行配制。
(3)配制混凝土必须按质量比计量投料且计量要准确。
(4)混凝土拌合必须采用机械搅拌,加料顺序为:粗骨料→水泥→细骨料→水,并严格控制搅拌时间。
(5)混凝土的运输和浇捣必须在混凝土初凝前进行。
(6)控制好混凝土的浇筑和振捣质量。
(7)控制好混凝土的养护。
3)混凝土表面缺陷(麻面、露筋、蜂窝、孔洞等)
原因:
① 模板表面不光滑、安装质量差,接缝不严、漏浆,模板表面污染未清除。
② 木模板在混凝土入模之前没有充分湿润,钢模板隔离剂涂刷不均匀。
③ 局部配筋、铁件过密,阻碍混凝土下料或无法正常振捣。
④ 混凝土坍落度、和易性不好。
⑤ 混凝土浇筑方法不当、不分层或分层过厚,布料顺序不合理等。
⑥ 混凝土浇筑高度超过规定要求,且未采取措施,导致混凝土离析。
⑦ 漏振或振捣不实。
防治措施:
① 模板使用前应进行表面清理,保持表面清洁光滑,钢模应保证边框平直,组合后应使接缝严密,必要时可用胶带加强,浇混凝土前应充分湿润或均匀涂刷隔离剂。
② 按规定或方案要求合理布料,分层振捣,防止漏振。
③ 对局部配筋或铁件过密处,应事先制订处理措施,保证混凝土能够顺利通过, 浇筑密实。
4)混凝土构件尺寸、轴线位置偏差大

5)混凝土收缩裂缝
(1)现象:裂缝多出现在新浇筑并暴露于空气中的结构构件表面,有塑态收缩、沉陷收缩、干燥收缩、碳化收缩、凝结收缩等收缩裂缝。
2.钢结构工程质量问题防治
1)地脚螺栓位移
(2)防治措施:
①先浇筑混凝土,预留孔洞,后埋螺栓。在埋螺栓时,采用型钢两次校正办法,检查无误后,浇筑预留孔洞。
②将每根柱的地脚螺栓用预埋钢架固定,一次浇筑混凝土。
③可用氧乙炔火焰将柱底座板螺栓孔扩大,安装时,另加厚钢垫板。
④如螺栓孔相对偏移较大,经设计人员同意可将螺栓割除,将根部螺栓焊于预埋钢板上,附上一块与预埋钢板等厚的钢板,再采取铆钉塞焊法焊在预埋钢板上,然后根据设计要求焊上新螺栓。
2)焊缝夹渣【新增】
(2)防治措施:
①焊件和焊接材料的品种必须符合设计要求,并有出厂合格证。
②焊接时正确选用电流值、焊接速度,清理坡口及其边缘范围内的铁锈等杂物。
③焊条运动要正确,适当摆动,以使熔渣浮出铁水表面。
④严重的内部夹渣应按返修方案规定进行补焊。
1.地下防水工程质量问题防治
1)防水混凝土施工缝渗漏水(接槎明显,沿缝隙处渗漏水)

2)防水混凝土裂缝渗漏水(表面有不规则收缩裂缝且贯穿于混凝土结构)

3)管道穿墙(地)部位渗漏水(管道穿墙处与混凝土脱离)
2.屋面防水工程施工质量问题防治
1)卷材屋面开裂

2)卷材屋面流淌
(1) 通病现象
严重流淌:流淌面积占屋面50%以上,大部分流淌距离超过卷材搭接长度。
中等流淌:流淌面积占屋面20%~50%,大部分流淌距离在卷材搭接长度范围之内。
轻微流淌:流淌面积占屋面20%以下,流淌长度仅2~3cm。
(2)原因分析
(3)通病治理

a. 切割法:对于天沟卷材耸肩脱空等部位,可先清除保护层,切开将要脱空的卷材,刮除卷材底下积存的旧胶结料,待内部冷凝水晒干后,将下部已脱开的卷材用胶结料粘贴好,加铺一层卷材,再将上部卷材盖上。
b. 局部切除重铺:对于天沟处折皱成团的卷材,先予以切除,仅保存原有卷材较为平整的部分,使之沿天沟纵向成直线;新旧卷材的搭接应按接槎法或搭槎法进行。
c. 钉钉子法:当施工后不久,卷材有下滑趋势时,可在卷材的上部离屋脊300~ 450mm范围内钉三排50mm长圆钉,钉眼上灌胶结料。
3)屋面卷材起鼓
(3) 通病治理

4)山墙、女儿墙部位漏水

拒绝盲目备考,加学习群领资料共同进步!

免费听
赵春晓
幽默风趣,思维导图总结精彩,考点层次分明。
主讲:安全生产管理,建设工程施工管理,建设工程项目管理
233网校一级建造师《项目管理》、二级建造师《施工管理》独家签约网课老师。某“双一流、211”高校副研究员、硕导,国家一级注册建造师、造价师。

免费听
王东兴
灵魂导师
主讲:建设工程法规及相关知识,建设工程法规及相关知识,安全生产法律法规
管理学硕士,国家注册一级建造师,多年从事教育行业,主攻工程经济、项目管理、企业管理方向。

免费听
董航
主讲:建设工程经济
曾任中建一局集团项目执行经理,多年现场经验,对施工现场生产管理、现场安全、施工技术非常熟悉,在一级建造师、注册安全工程师执业资格考试方面,有丰富的教学经验,更有其独特的培训风格,其地毯式培训教学,准确打击知识点,每年都会帮助广大学员顺利取证。

免费听
江凌俊
口诀一绝
主讲:目标控制(土木建筑),进度控制(水利),建筑施工安全,建筑工程管理与实务,建筑工程,建筑施工安全
曾在设计院任职,线上线下多年培训行业从业经历。

免费听
胡宗强
主讲:市政公用工程
从事建造师培训多年。经验丰富,命题方向把握准确。

免费听
梁毛
主讲:案例分析(土木建筑),建筑工程
工程管理证书“大满贯”获得者,一级建造师(建筑/机电)、造价工程师、监理工程师(土建/交通)、二级建造师(建筑/机电/市政)、高级工程师(建筑工程)
专业智能,高效提分
章节练习
章节专项突破
进入做题
精选试题
省时高效精选
进入做题
模拟考场
海量题免费做
进入做题
考前点题
高效锁分72小时
进入做题
每日一练
每天进步一点点
进入做题
历年真题
真题实战演练
进入做题
易错题
精选高频易错题
进入做题
模考大赛
同场闯关做题
进入做题
APP刷题神器
模考大赛
考点打卡
做题闯关

扫描二维码 下载233网校APP刷题
微信扫码关注公众号
获取更多考试资料