233网校姜雅老师带来2020年执业药师《中药学专业知识一》考试教材变化解读,免费试听精讲班课程>>
姜雅老师介绍:北京某高校老师,博士毕业。从事药物及其相关专业学习和研究十多年,主讲执业药师,乡村全科,健康管理师等课程,具有丰富的教学经验。
2019年 教材 (380页)
章 节 | 2015 | 2016 | 2017 | 2018 | 2019 |
第1章 中药与方剂 | 5 | 5 | 5 | 7 | 5 |
第2章 中药材生产与品质 | 4 | 4 | 3 | 1 | 5 |
第3章 中药化学成分与药效物质基础 | 28 | 28 | 33 | 27 | 26 |
第4章 中药炮制与饮片质量 | 14 | 13 | 13 | 14 | 12 |
第5章 中药质量标准和鉴定 | 3 | 4 | 2 | 2 | 2 |
第6章 中药制剂与剂型 | 29 | 29 | 30 | 33 | 29 |
第7章 中药药理与毒理 | 5 | 6 | 2 | 2 | 6 |
第8章 常用中药的鉴别 | 32 | 31 | 32 | 34 | 35 |
2020年中药学专业知识一 新教材(419页)解析
章 节 | 总分(预) |
第一章 中药与药品质量标准 | 5-10分 |
第二章 中药材生产和饮片炮制 | 12-18分 |
第三章 中药化学成分与药理作用 | 25-35分 |
第四章 常用中药的鉴别 | 26-32分 |
第五章 中药制剂与剂型 | 25-30分 |
120 |


2020年 第一章 中药与药品质量标准

[43~45]
A.辛味药
B.咸味药
C.酸味药
D.甘味药
E.苦味药
43. 能耗气伤阴,气阴两虚者应慎用的是
44. 能腻膈碍胃,令人中满,湿阻、食积者应慎用的是
45. 能伤津伐胃,津液大伤与脾胃虚弱者不宜大量应用的是
答案:ADE
解析:重中之重,每年都考了
五味 | 作用特点 | 不良作用 | 应用注意 |
辛 | 能散,能行 | 耗气伤阴 | 气虚阴亏者慎用 |
甘 | 能补、能缓、 能和 | 腻膈碍胃,令人中满, | 湿阻、食积、中满气滞者慎用 |
酸、涩 | 能收、能涩 | 收敛邪气 | 邪未尽之证均当慎用 |
苦 | 泄、燥、坚 | 伤津、伐胃 | 津液大伤及脾胃虚弱者不宜大量用 |
咸 | 能软、能下 | 多食咸,则脉凝泣而变色 | |
淡 | 能渗,能利 | 伤津液 | 阴虚津亏者慎用 |
第二章 中药材生产和中药饮片炮制

【2016年,B型题】[44~45]
A.附子
B.砂仁
C.龙胆
D.当归
E.南沙参
44. 产于四川的中药材是
45. 产于东北的中药材是
答案:AC
解析:

道地药材四川多, 川字号,金钱草, 连柏附子不可少
第三章 中药化学成分与药理作用

eg. 含香豆素和木脂素化合物的常用中药
药物 | 药典指标 | |
木脂素 | 五味子 | 五味子醇甲--联苯环辛烯型木脂素 |
厚朴 | 厚朴酚与和厚朴酚含量--木脂素类 | |
连翘 | 连翘苷和连翘酯苷A | |
细辛 | 细辛脂素+挥发油(马兜铃酸,肾毒性) |
记忆方法:午后联系木脂素

药物 | 药典指标 | |
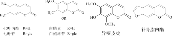
香豆素 | 秦皮 | 七叶内酯(秦皮乙素)+七叶苷(秦皮甲素)--简单香豆素类化合物 |
前胡 | 白花前胡乙素 | |
补骨脂 | 补骨脂素和异补骨脂素 | |
肿节风 | 异嗪皮啶、迷迭香酸 |

总结:重点
午后联系木脂素一起去前秦补种香豆素
五味子、厚朴、细辛、连翘(木脂素)
前胡、秦皮、补骨脂、肿节风(香豆素)
【2017年,B型题】[55-57]
A. 知母
B. 前胡
C. 厚朴
D. 细辛
E. 连翘
55. 主要含有香豆素类成分的中药是 
56. 《中国药典》规定,检查马兜铃酸I限量的中药是 
答案:BD
解析:午后联系木脂素一起去前秦补种香豆素
五味子、厚朴、细辛、连翘(木脂素)
前胡、秦皮、补骨脂、肿节风(香豆素)
第四章 常用中药鉴别

彩图 221个

第五章 中药制剂与剂型

配伍选择题
A.融变时限
B.崩解时限
C.溶散时限
D.溶化性
E.发泡量
120. 普通口服片应检查
121. 丸剂应检查
122. 阴道片应检查
123. 阴道泡腾片应检查
答案:BCAE
解析:片剂的崩解度
片剂类型 | 崩解时间(min) |
口崩片 | 1 |
可溶片 | 3 |
舌下片、泡腾片 | 5 |
含片 | 10不能 |
普通片 | 15 |
药材原粉片 | 30 |
浸膏(半浸膏)片,糖衣片 | 60 |
薄膜衣片 | 30(化)、60(中) |
阴道片 | 融变时限 30 |
续表
片剂类型 | 崩解时间(min) |
阴道片 | 融变时限30min内全部熔化或崩解溶散 |
肠溶衣片 | 盐酸溶液中2小时内不崩解,在pH6. 8磷酸盐缓冲液中1小时内全部崩解 |
不检查的:咀嚼片、冷冻干燥法制备的口崩片、检查溶出度、释放度的药物 | |
记忆方法:崩1溶3舌泡5;素颜一刻钟;打粉半小时;中药薄糖衣;进肠一小时
——本内容来自233网校2020年执业药师教材精讲班课程讲义,版权归233网校,禁止转载,违者必究!
方便考生及时获取2020年执业药师考试教材变化内容,新版考试大纲,思维导图,学习计划,精华考点等备考资料,点击下载233网校APP>>实时推送,我的资料包陆续上线可免费下载!
热点推荐:
2020年执业药师考试复习早准备,全科取证班直击考试大纲核心!立享《教材精讲班》课程讲义纸质版包邮送,电子版学习计划。点击试听课程>>


