天然药物集——儿茶:采制、药材及产销、化学成份
[采制]
一般在12月至次年3月采集儿茶的树干,剥去外皮,心材砍考,试大收集整理成碎片,加水煎熬,滤过,滤液浓缩成糖浆状,稍冷,倾于特制的模型中,阴干。
[药材及产销]
儿茶膏catechu 主产于云南省西双版纳州。销全国各地。
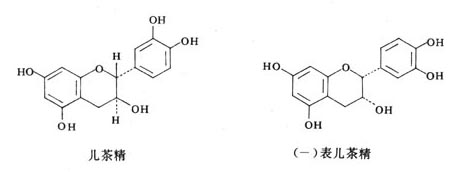
[化学成份]
儿茶膏含儿茶鞣质20%50%,儿茶精(catechin)2%~20%,(一)表儿茶精((一)epicatechin),粘液质,脂肪油,树胶及蜡等。不含儿茶荧光素(gambirfluorescein)及儿茶酚(catechol)。


