三、案例分析题
(一)
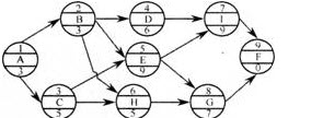
(2013年)某工程项目的网络计划如下面双代号网络计划所示(时间单位:周)。

1.关于网络计划中工作之间逻辑关系的说法,正确的为( )。
A.工作A的紧后工作仅为工作D
B.工作G的紧前工作仅为工作D
C.工作E的紧前工作有工作A、B、C
D.工作E的紧后工作有工作H和I
【答案】BCD
【解析】根据网络计划中工作之间逻辑关系,工作G的紧前工作仅为工作D。工作E的紧前工作有工作A、B、C。工作E的紧后工作有工作H和I。
2.该工程项目的工期为( )周。
A.15
B.17
C.19
D.21
【答案】C
【解析】关键线路AC,工期19周。做题技巧,计算每条线路的持续时间,得出AC选项持续时间最长,为19周,所以本题答案为C。
3.该工程项目进度计划的关键线路为( )。
A.①一②一④一⑤一⑥一⑨
B.①一③一④一⑤一⑧一⑨
C.①一②一⑦一⑧一⑨
D.①一④一⑤一⑧一⑨
【答案】AC
【解析】做题技巧:计算每条线路的持续时间。
4.在该网络计划中,工作F的总时差为( )周。
A.2
B.3
C.4
D.5
【答案】C
【解析】I为关键工作,所以F的总时差=1的开始时间一F的最早完成时间=13一(4+5)=4(天)。

5.关于工作G的时间参数的说法,正确的为( )。
A.工作G的最早完成时间为第17周
B.工作G的最早开始时间为第15周
C.工作G的最迟开始时间为第15周
D.工作G的总时差和自由时差相等
【答案】AD
【解析】工作G的最早完成时间一ADG线路的持续时间=8+6+3=17。
G的最早开始时间=8+6=14;所以B选项错误。工作G的最迟开始时间=19—3=16,所以
C错误;G工作是以终点节点为完成节点的工作,所以G的总时差和自由时差是相等的。
(二)
(2012年)某工程项目的进度计划如下列单代号网络计划所示,时间单位为周。

1.采用网络计划编制该项目进度计划的优点主要为( )。
A.比甘特横道计划更形象、直观
B.各工作之间的逻辑关系明确
C.能通过参数计算找出关键工作
D.便于对进度计划进行动态控制
【答案】BCD
【解析】本题考查网络计划的优点。
2.如果在项目实施过程中各项工作进度正常,则该工程项目可以在( )周内完成。
A.20
B.23
C.26
D.28
【答案】C
【解析】关键线路ACEI,持续时间26。
3.该单代号网络计划中的关键工作为( )。
A.工作A、C
B.工作8、D
C.工作E、I
D.工作H、G
【答案】AC
【解析】关键线路ACEI,持续时间26。
4.工程项目进度计划的执行检查中发现,工作D的实际进度拖后了3周,则工作D( )。
A.将使工期拖后3周
B.将使其紧后工作最早开始时间推迟3周
C.不影响总工期
D.不影响其紧后-丁作的正常进行
【答案】CD
【解析】工程项目进度计划的执行检查中发现.工作D的实际进度拖后了3周,则工作D不影响总工期、不影响其紧后工作的正常进行。





























