第11题

答案:A
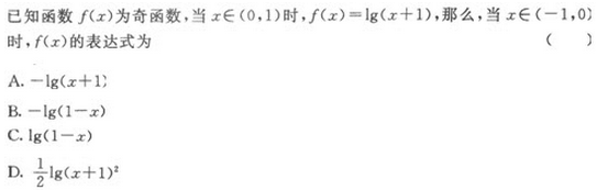
第12题

答案:B
第13题

答案:A
第14题

答案:B
第15题

答案:C
2017成考:2017年成人高考报名时间/入口 2017年成人高考招生简章
告别盲目备考,锁定考点,突破难点,2017年成人高考一次过不是问题!点击进入>>

下载APP,享报名提醒,章节练习,购课多减20元!
第11题

答案:A
第12题

答案:B
第13题

答案:A
第14题

答案:B
第15题

答案:C
2017成考:2017年成人高考报名时间/入口 2017年成人高考招生简章
告别盲目备考,锁定考点,突破难点,2017年成人高考一次过不是问题!点击进入>>

下载APP,享报名提醒,章节练习,购课多减20元!