第11题

参考答案:C
第12题

参考答案:D
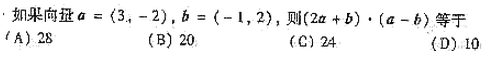
第13题

参考答案:B
第14题

参考答案:A
第15题

参考答案:A
二、填空题(本大题共4小题。每小题4分,共16分)
第16题

参考答案:12
第17题

参考答案:-13
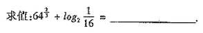
第18题

参考答案:π/2
第19题

参考答案:47.6
2017成考:2017成人高考新手指南 成人高考报名时间
告别盲目备考,锁定考点,突破难点,2017年成人高考一次过不是问题!点击进入>>

扫一扫,随时随地学习,海量试题等你做!
第11题

参考答案:C
第12题

参考答案:D
第13题

参考答案:B
第14题

参考答案:A
第15题

参考答案:A
二、填空题(本大题共4小题。每小题4分,共16分)
第16题

参考答案:12
第17题

参考答案:-13
第18题

参考答案:π/2
第19题

参考答案:47.6
2017成考:2017成人高考新手指南 成人高考报名时间
告别盲目备考,锁定考点,突破难点,2017年成人高考一次过不是问题!点击进入>>

扫一扫,随时随地学习,海量试题等你做!