您现在的位置:233网校>成人高考>高等数学一>模拟试题

2015年成人高考专升本《高等数学(一)》最后冲刺预测试卷(5)

来源:233网校 2015年8月20日
导读:
进入全真模拟考场在线测试此套试卷,可查看答案及解析并自动评分 >> 在线做题
三、解答题:共8小题,共70分.解答应写出推理、演算步骤.
21、2015年成人高考专升本《高等数学(一)》最后冲刺预测试卷(5)

22、2015年成人高考专升本《高等数学(一)》最后冲刺预测试卷(5)

23、 求曲线y=x2+l在点(1,2)处的切线方程.并求该曲线与所求切线及x=0所围成的平面图形的面积.


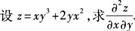
24、2015年成人高考专升本《高等数学(一)》最后冲刺预测试卷(5)

25、2015年成人高考专升本《高等数学(一)》最后冲刺预测试卷(5)

26、2015年成人高考专升本《高等数学(一)》最后冲刺预测试卷(5)

27、2015年成人高考专升本《高等数学(一)》最后冲刺预测试卷(5)

28、2015年成人高考专升本《高等数学(一)》最后冲刺预测试卷(5)

大纲:2015年成人高考考试大纲专题

试题:2015年成人高考高等数学一备考专题 模拟试题及答案

交流:移动客户端下载(APP)  成人高考QQ群 

网校:2015年成人高考VIP辅导班全新上线   课程免费试听!

相关阅读
登录

新用户注册领取课程礼包

立即注册
扫一扫,立即下载
意见反馈 返回顶部