二、填空题:本大题共10个小题,共10个空,每空4分,共40分。把答案填在题中横线上。
第11题

答案:0
第12题

答案:

第13题

答案:-sin2x
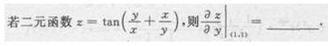
第14题

答案:

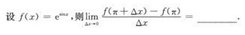
第15题

答案:3
第16题

答案:(-1,1)
第17题

答案:1
第18题

答案:1;-3
第19题

答案:

第20题

答案:-1
2017成考:2017年成人高考报名时间/入口 2017年成人高考招生简章
告别盲目备考,锁定考点,突破难点,2017年成人高考一次过不是问题!点击进入>>

下载APP,享报名提醒,章节练习,购课多减20元!

