(二)报告期加权综合指数考点解析
(二)报告期加权综合指数介绍
1874年德国学者帕煦提出的,是在计算一组项目的综合指数时,把作为权数的变量值固定在报告期。
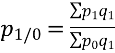
1、帕氏质量指数:
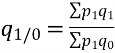
2、帕氏数量指数:
【注】帕氏指数因以报告期变量值为权数,不能消除权数变动对指数的影响,因而不同时期指数缺乏可比性;但帕氏指数可以同时反映出价格和消费结构的变化,具有比较明确的经济意义。帕氏数量指数在实际中很少用到。
正确答案: B
答察解析: 报告期加权综合指数又称帕氏指数,它是在计算一组项目的综合指数时,把作为权数的变量值固定在报告期,选项A说法错误,选项C说法正确。拉氏指数是在计算一组项目的综合指数时,把作为权数的各变量值固定在基期,其中价格指数就是在假定销售量不变的情况下,计算报告期价格的变动水平,选项B说法正确,选项D说法错误。帕氏数量指数由于包含了价格的变动,意味着是按调整后的价格来测定物量的综合变动,这本身不符合计算物量指数的目的,因此,帕氏数量指数在实际中应用得较少,选项E说法正确。
正确答案: B
答察解析: 本题考查帕氏指数。帕氏数量指数由于包含了价格的变动,意味着是按调整后的价格来测定物量的综合变动,这本身不符合计算物量指数的目的,因此帕氏数量指数在实际中应用得较少,选项A错误。
正确答案: C
答察解析: 本题考查加权综合指数中的帕氏指数。报告期加权综合指数又称帕氏指数,是在计算一组项目的综合指数时,把作为权数的变量值固定在报告期。
拒绝盲目备考,加学习群领资料共同进步!

免费听
葛广宇
记忆魔术师
主讲:初级会计实务,中级财务管理,财务成本管理,中级经济基础知识,初级经济基础知识
副教授,管理学(会计学方向)博士在读、注册会计师,会计师职称。擅长以案例、关键词导向式的教学方法,归纳总结关联考点考点,讲解细致,适合零基础考生,学员称其为“记忆魔术师”。

免费听
付子健
人力资源男神
主讲:三级理论知识,三级专业技能,初级人力资源管理
管理学硕士,高级人力资源管理师,10余年人力资源管理从业及教学经验,北京邮电大学、北京理工大学、北京劳动保障职业技术学院等多所高校特聘讲师。

免费听
武小唐
知名高校经济学讲师
主讲:初级金融专业
曾担任知名高校经济学、金融学讲师。授课思路清晰、逻辑严谨,考点讲解简明扼要直中要点,课程讲解应试性强。

免费听
许睿
经济学硕士
主讲:初级工商管理
经济学硕士,多年行业从业经验,善于结合行业实例讲授知识点。
专业智能,高效提分
章节练习
章节专项突破
进入做题
精选试题
省时高效精选
进入做题
模拟考场
海量题免费做
进入做题
考前点题
高效锁分72小时
进入做题
每日一练
每天进步一点点
进入做题
历年真题
真题实战演练
进入做题
易错题
精选高频易错题
进入做题
模考大赛
同场闯关做题
进入做题
APP刷题神器
模考大赛
考点打卡
做题闯关

扫描二维码 下载233网校APP刷题
微信扫码关注公众号
获取更多考试资料