案例分析题作为一建《建筑实务》决定成败的“拦路虎”,吃透真题是突破高分的核心捷径!本文特梳理了近5年一建《建筑实务》案例分析真题及答案解析汇总,快实战演练起来吧!
2024年一建建筑案例真题
案例一
【背景材料】
某新建保障房项目,单位工程为地下2层,地上9-12层,总建筑面积155万平方米,施工总承包单位按照合同组建项目进场施工,项目部根据工程计划进场了混凝土搅拌运输车、串筒等。部分混凝土和土方施工机具照片见图1

项目部编制的绿色施工方案中,采用太阳能热水技术等施工现场绿色能源技术以减少施工阶段的碳排放:对建造阶段的碳排放进行计算,采用施工能耗清单统计法对施工阶段的能源用量进行估算,以确定施工阶段的用电等传统能源产生的碳排放。消耗量的计算边界确定为:
(1)碳排放计算时间从垫层施工起至项目竣工验收止:
(2)建筑施工场地区域内外的机械设备等使用过程中消耗的能源产生的碳排放应计入;
(3)现场搅拌的混凝土和砂浆产生的碳排放应计入,现场制作的构件和部品产生的碳排放不计入;
(4)建造阶段使甪的办公用房、生活用房和材料库房等临时设施的施工、使用和拆除过程中消耗的能源产生的碳排放不计入。
监理工程师在审查绿色施工方案时,提出以上方案内容存在不妥之处,要求整改。
【问题】
1、答出图1中B~F处的施工机具名称。(如:A混凝土搅拌运输车)
2、答出图1中用于混凝土浇筑施工的机具使用先后顺序。(表示为:A-B)混凝土浇筑自由倾落高度不满足要求时,除串筒外,可以使用的机具还有哪些?
3、施工现场太阳能、空气能利用技术还有哪些?施工现场常用的传统能源还有哪些?
4、施工阶段的能源用量计算方法选择是否妥当?说明理由。
5、 改正施工阶段碳排放计算边界中的不妥之处。
【第1问】【超纲考点】
B混凝土固定泵; C布料机 ;D串筒; E振捣棒; F挖掘机。
【第2问】
2-1、A-B-C-D-E【超纲考点】
2-2、混凝土浇筑自由倾落高度不满足要求时,除串筒外,还可以使用:溜管、溜槽。
【第3问】
3-1、施工现场太阳能、空气能利用技术还有:施工现场太阳能光伏发电照明技术、空气能热水技术。
3-2、施工现场常用的传统能源:汽油、柴油、燃气等。
【第4问】
施工阶段的能源用量计算方法选择:不妥当。
理由:建造阶段的能源总用量宜采用施工工序能耗估算法计算。
【第5问】
不妥之处的正确做法分别如下:
(1)碳排放计算时间从项目开工起至项目竣工验收止。
(2)建筑施工场地区域内的机械设备等使用过程中消耗的能源产生的碳排放应计入,区域外的机械设备不应计入。
(3)现场搅拌的混凝土和砂浆、现场制作的构件和部品,其产生的碳排放应计入;
(4)建造阶段使用的办公用房、生活用房和材料库房等临时设施的施工和拆除过程中消耗的能源产生的碳排放可不计入,使用中消耗的能源产生的碳排放应计入。
案例二
【背景资料】
某商品住宅项目,地下2层,地上12~18层,装配式剪力墙结构,总建筑面积8.4万平方米。施工总承包单位中标后组建项目部进场施工。
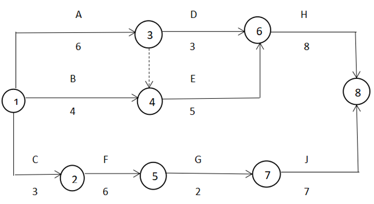
项目部编制了网络进度计划,如图2所示。施工过程中发生了以下事件:①由于设计变更,致使工作E工程量增加,作业时间延长2周;②施工单位的施工机械出现故障,需订购零部件替换,致使工作G作业时间延长1周。

图2项目网络进度计划图(局部)
公司技术部门在审核基坑专项施工方案时,提出以下内容存在不妥之处,要求修改:
(1)灌注桩桩身设计强度等级C20,采用水下灌注时提高一个等级;
(2)高压旋喷桩截水帷幕与灌注桩排桩净距小于200mm,先施工截水帷幕,后施工灌注桩:
(3)灌注桩顶部泛浆高度不大于300mm,节约混凝土用量:
(4)基坑内支撑的拆除顺序根据现场施工情况调整:
(5)项目部委托具备相应资质的第三方进行基坑监测,项目技术负责人组织编制了项目工程资料管理方案,明确项目部工程、技术、质量、物资、商务等部门在工程资料形成过程中的职责分工。 专业资料管理人员整理的部分工程资料统计如表2所示。

冬期施工方案中规定:①基础底板采用C40P6抗渗混凝土,养护期间按规定进行温度测量;②预制墙板钢筋套筒灌浆连接采用低温型灌浆料。监理工程师要求项目部密切关注施工环境温度和灌浆部位温度,底板混凝土在达到受冻临界强度后方可停止测温。
【问题】
1、答出图2(调整前)的关键线路(采用工作方式表达,如A→B)和工作A、工作F的总时差。分别答出事件①、②工期索赔是否成立?
2、答出项目部基坑专项施工方案中不妥之处的正确做法。
3、答出表2中A、B、C、D、E处对应的责任部门(岗位)。
4、答出基础底板抗渗混凝土的最小受冻临界强度值。
5、分别答出低温型灌浆料施工开始24h内的灌浆部位温度、施工环境温度最低要求值。
【第1问】
1-1、调整前的关键线路为:B→E→I;
1-2、A工作总时差为2周;F工作的总时差为3周;
1-3、 事件一工期索赔:成立;
理由:E是关键工作,且设计变更是建设单位的原因造成的。
事件二工期索赔:不成立。
理由:施工机械出现故障影响工期是施工单位自身的原因。
【第2问】
不妥之处的正确做法分别如下:
(1)灌注桩桩身设计强度等级不应低于C25,采用水下灌注时提高一个等级。
(2)高压旋喷桩截水帷幕与灌注桩排桩净距小于200mm,先施工灌注桩,后施工截水帷幕。
(3)灌注桩顶部泛浆高度不应小于500mm。
(4)基坑内支撑的拆除顺序应与支撑结构的设计工况一致。
(5)应由建设方委托具备相应资质的第三方进行基坑监测。
【第3问】
A:技术 B:商务 C:工程 D:质量 E:质量
【第4问】
抗渗混凝土的最小受冻临界强度值:20MPa。
【第5问】
低温型灌浆料施工开始24h内的灌浆部位温度不低于-5℃。灌浆施工过程中施工环境温度不低于0℃。
案例三
【背景材料】
某施工单位中标新建教学楼工程,建筑面积2.46万平方米,地上4层;钢筋混凝土框架-剪力墙结构,部分楼板采用预制钢筋混凝土叠合板,砌体采用空心混凝土砌块,外立面为玻璃和石材幕墙,部分内墙采用装饰抹灰工艺。
项目部建立了质量保证体系并制定质量管理制度,要求施工重要工序和关键节点工序交接检查时严格执行“三检”制度,采用目测法、实测法及试验法对现场工程质量进行检查。叠合板预制构件未进行结构性能检验,无驻厂监督生产。进场后,项目部会同监理工程师按规定对叠合板预制构件主要受力钢筋规格等项目进行实体检验,合格后批准使用。项目部在自检中发现填充墙与主体结构交接处出现裂缝,技术人员制定了包括柱边设置间距500mm的2Ф6钢筋、里口用半砖斜砌墙等专项防治措施,要求现场严格执行。公司在装饰抹灰检查中发现有抹灰层脱层、空鼓,面层爆灰、裂缝、表面不平整、接槎和抹纹明显等与一般抹灰相同的质量通病;在检查幕墙安全和功能检验资料时发现,只有硅酮结构胶相容性和剥离粘结性、幕墙气密性和水密性等检验项目报告。施工完成后,项目部对建筑节能工程的所有分部分项工程进行了验收,符合要求后提交了竣工预验收申请。
【问题】
1、现场质量检查的“三检”制度是哪三检?现场试验法检查的两种方法是什么?
2、叠合板预制构件进场后的实体检验项目还有哪些?
3、填充墙与主体结构交接处的裂缝一般出现在哪些部位?其防治措施还有哪些?
4、除一般抹灰常见质量问题外,装饰抹灰常见质量问题还有哪些?幕墙安全和功能检验项目还有哪些?
5、除墙体节能工程外,建筑节能围护结构节能子部分的分项工程还有哪些?
【第1问】
1-1、“三检”制度,即自检、互检、专检。
1-2、现场试验法检查的两种方法:理化试验、无损检测。
【第2问】
叠合板预制构件进场后的实体检验项目还有:预制构件进场时应对其主要受力钢筋数量、间距、保护层厚度及混凝土强度等进行实体检验。
【第3问】
3-1、裂缝一般出现在:框架梁或板底、柱或墙边。
3-2、防治措施还有:
①填充墙与承重主体结构间的空(缝)隙部位施工,应在填充墙砌筑14d后进行。
②如为空心砖外墙。
③外窗下为空心砖墙时,若设计无要求,将窗台改为细石混凝土并加配钢筋。
④柱与填充墙接触处应设加强网片。
【第4问】
4-1、除一般抹灰常见质量问题外,装饰抹灰常见质量问题还有:还存在色差、掉角、脱皮等。
4-2、幕墙安全和功能检验项目还有:
1) 幕墙后置埋件和槽式预埋件的现场拉拔力;
2)幕墙的抗风压性能及层间变形性能。
【第5问】
除墙体节能工程外,建筑节能围护结构节能子部分的分项工程还有:幕墙节能工程,门窗节能工程,屋面节能工程, 地面节能工程。
案例四
【背景材料】
某办公楼工程,建筑面积5.2万平方米,地下2层,地上20层,采用桩基础。地上部分为框架-剪力墙结构。基坑采用桩+放坡形式支护,施工时需要降水。项目部组建后开始施工。
项目总工程师向管理人员进行基础工程施工方案交底,其中基础施工安全控制主要内容包括:边坡与基坑支护安全,防水施工防火、防毒安全等。
项目部编制了施工现场混凝土检测试验计划,内容主要包括:检测试验项目名称、检测试验参数等;现场试验站面积较小,不具备设置标准养护室条件,混凝土试件标准养护采用其他设施代替。
公司对项目部施工安全管理进行全面检查,包括:安全思想、安全责任、设备设施、教育培训、劳动防护用品使用、伤亡事故处理等十项主要内容。特别对现场最常发生的高处坠落、坍塌等五类事故进行警示教育,要求重点防范。结构施工采用扣件式钢管落地外脚手架方案,一定高度时采用悬挑钢梁卸载。脚手架工程专项施工方案中规定:脚手架计算书包括受弯构件强度,连墙件的强度、稳定性和连接强度,立杆地基承载力等计算内容;绘制设计图纸包括脚手架平面、立 (剖)面图(含剪刀撑布置),垂直施工机械及其他特殊部位布置及构造图等。
项目完成后,公司对项目部进行项目管理绩效评价,评价过程包括成立评价机构、确定评价专家等四项工作;评价的指标包括安全、质量、成本等目标完成情况,和供方管理有效性、风险预防与持续改进能力等管理效果。最终评价结论为良好。
【问题】
1、基础工程施工安全控制的主要内容有哪些?
2、混凝土检测试验计划内容还有哪些?混凝土标准养护设施还有哪些?
3、现场施工安全管理检查还有哪些内容?现场最常见发生的事故类别还有哪些?
4、脚手架计算书还应有哪些计算内容?还应绘制哪些设计图纸?
5、项目管理绩效评价过程工作还有哪些?评价指标内容还有哪些?
【第1问】
基础工程施工安全控制的主要内容:
(1)施工机械作业安全。
(2)边坡与基坑支护安全。
(3)降水设施与临时用电安全。
(4)防水施工时的防火、防毒安全。
(5)桩基施工的安全防范。
【第2问】
2-1、混凝土检测试验计划内容还有:试样规格;代表批量;施工部位;计划检测试验时间。
2-2、标准养护设施还有:养护箱或养护池。
【第3问】
3-1、现场施工安全管理检查还有:查安全制度、查安全措施、查安全防护、查操作行为。
3-2、现场最常见发生的事故类别还有:物体打击、机械伤害、触电。
【第4问】
4-1、计算书还有:①落地脚手架计算书:连接扣件的抗滑移、立杆稳定性;②悬挑架钢梁挠度。
4-2、还应绘制:脚手架基础节点图,连墙件布置图及节点详图等。
【第5问】
5-1、项目管理绩效评价过程工作还有:
① 制订绩效评价标准;②形成绩效评价结果。
5-2、评价的指标还包括:
1)项目环保、工期目标完成情况;
2)合同履约率、相关方满意度;
3)项目综合效益。
案例五
【背景材料】
建设单位投资兴建某工程的招标文件部分要求有:承包模式为施工总承包,报价采用工程量清单计价,投标单位须遵守工程量清单使用范围等强制性内容的规定;投标单位承担项目的进度、质量、安全等管理责任,应对招标文件中要求的技术标准、质量、投标有效期等作出实质性响应:中标单位不得违法分包,如将工程分包给个人等;工程竣工验收后6个月内完成结算,工程结算据实调整。
某施工单位工程中标造价为7782.60万元。其中:分部分项工程费为6000.00万元;措施项目费为600.00万元(按分部分项工程费的10%计取);其他项目费为400.00万元,暂列金额为297.00万元,专业分包暂估价为100.00万元,总承包服务费费率为3%;规费为140.00万元(费率为2%);税金为642.60万元(费率为9%)。
施工单位确定项目自行施工工程造价为7222.22万元,目标利润率为10%。
项目部对项目目标成本进行了专项施工成本分析,内容包括工期成本分析、技术措施节约效果分析等,做好项目成本管理工作。经建设单位和施工单位确认:增补某缺项工程量清单费用,其工程量为2000.00m³,综合单价为500.00元/m³;签订施工总承包合同时未确定的设备实际采购价为268.00万元;工程价款调整及设计变更为119.00万元;专业分包90.00万元。工程按期完工,各方办理了竣工验收,建设单位和施工单位办理了竣工结算。
【问题】
1、工程量清单的强制性内容还有哪些?
2、投标单位对招标文件要求作出实质性响应的内容还有哪些?
3、中标单位还应避免哪些违法分包行为?
4、施工单位自行施工工程的目标成本是多少万元?(四舍五入取整数)专项施工成本分析内容还有哪些?
5、按照综合单价法,分步骤列式计算施工单位的结算造价是多少万元?(四舍五入取整数)
【第1问】
还包括工程量清单的计价方式、竞争费用、风险处理、工程量清单编制方法、工程量计算规则。
【第2问】
还应对招标文件要求的招标范围、工期、安全标准、法律法规、权利义务、报价编制等做出实质性响应。
【第3问】
还应该避免:
a.施工总承包单位或专业承包单位将工程分包给不具备相应资质单位的。
b.施工总承包单位将施工总承包合同范围内工程主体结构的施工分包给其他单位的,钢结构工程除外。
c.专业分包单位将其承包的专业工程中非劳务作业部分再分包的。
d.专业作业承包人将其承包的劳务再分包的。
e.专业作业承包人除计取劳务作业费用外,还计取主要建筑材料款和大中型施工机械设备、主要周转材料费用的。
【第4问】
4-1、目标成本=工程造价(扣除税金)×[1-目标利润率(%)]=7222.22/(1+9%)×(1-10%)=5963.30万元
4-2、还包括成本盈亏异常分析、质量成本分析、资金成本分析、其他有利因素和不利因素分析。
【第5问】
结算造价的计算过程:
1)分部分项工程费:6000+2000×500÷10000=6100万元
2)措施项目费:6100×10%=610万元
3)其他项目费:①暂列金额:268+119=387万元
②暂估价:90万元
③总承包服务费:90×3%=2.7万元
结算造价:[6100+610+(387+90+2.7)]×1.02×1.09=7994万元
2023年一建建筑案例真题
案例一
【背景材料】
某新建住宅小区,单位工程分别为地下2层,地上9~12层,总建筑面积15.5万平方米。
各单位为贯彻落实《建设工程质量检测管理办法》(住房和城乡建设部令)要求,在工程施工质量检测管理中做了以下工作:
1、建设单位委托具有相应资质的检测机构负责本工程质量检测工作;
2、监理工程师对混凝土试件制作与送样进行了见证。试验员如实记录了其取样、现场检测等情况,制作了见证记录;
3、混凝土试样送检时,试验员向检测机构填报了检测委托单。
4、总包项目部按照建设单位要求,每月向检测机构支付当期检测费用。
地下室混凝土模板拆除后,发现混凝土墙体、楼板面存在蜂窝、麻面、露筋、裂缝、孔洞和层间错台等质量缺陷。质量缺陷图片资料详见图1-1~图1-6。项目按要求制定了质量缺陷处理专项方案,按照“凿除孔洞松散混凝土-………-剔除多余混凝土”工艺流程进行孔洞质量缺陷治理。

项目部编制的基础底板混凝土施工方案中确定了底板混凝土后浇带留设的位置,明确了后浇带处的基础垫层、卷材防水层、防水加强层、防水找平层、防水保护层,止水钢板、外贴止水带等防水构造要求见图1-7。

【问题】
1、指出工程施工质量检测管理工作中的不妥之处,并写出正确做法。(本题2项不妥,多答不得分)混凝土试件制作与取样见证记录内容还有哪些?
2、写出图1-1~图1-6显示的质量缺陷名称。(表示为图1-1-麻面)
3、写出图1-7中防水构造层编号的构造名称。(表示为1-基础垫层)
4、补充完整混凝土表面孔洞质量缺陷处理工艺流程内容?
【第1问】
1-1、不妥之处一:试验员如实记录了其取样、现场检测等情况,制作了见证记录。
正确做法:应由见证人员制作见证记录。
不妥之处二:总包项目部按照建设单位要求,每月向检测机构支付当期检测费用。【该小问考点已过期,新版教材已变更,为保证试卷完整性,仅供考生参阅。】
正确做法:应由建设单位单独列支并按照合同约定及时支付。
1-2、混凝土试件制作与取样见证的记录内容还有:制样、标识、封志、送检等情况。
【第2问】【超纲考点】
图1-1-麻面;图1-2-裂缝;图1-3-层间错台;图1-4-露筋;图1-5-孔洞;图1-6-蜂窝。
【第3问】【超纲考点】
1-基础垫层;2-防水找平层;3-防水加强层;4-卷材防水层;5-防水保护层;6-外贴止水带;7-止水钢板。
【第4问】【超纲考点】
混凝土表面孔洞质量缺陷处理工艺流程:应凿除胶结不牢固部分的混凝土至密实部位,清理表面,支设模板,洒水湿润,涂抹混凝土界面剂,应采用比原混凝土强度等级高一级的细石混凝土浇筑密实,养护时间不应少于7d。
案例二
【背景资料】
某施工企业中标新建一办公楼工程,地下二层,地上二十八层,钢筋混凝土灌注桩基础。上部为框架剪力墙结构,建筑面积28600㎡。
项目部在开工之后编制了项目质量计划,内容包括质量目标和要求、管理组织体系及管理职责、质量控制点等,并根据工程进展实施静态管理。其中,设置质量控制点的关键部位和环节包括:影响施工质量的关键部位和环节;影响使用功能的关键部位和环节,采用新材料、新设备的部位和环节等。
桩基施工完成之后,项目部采用高应变法按要求进行了工程桩桩身完整性检测,其抽检数量按照相关标准规定选取。
钢筋施工专项技术方案中规定:采用专用量规等检测工具对钢筋直螺纹加工和安装质量进行检测,纵向受力钢筋采用机械连接或焊接接头时以接头面积百分率等要求如下:
1、受拉接头不宜大于50%;
2、受压接头不宜大于75%
3、直接承受动力荷载的结构体不宜采用焊接;
4、直接承受动力荷载的结构体采用机械连接时,不宜超过50%。
项目部质量员在现场发现屋面卷材有流淌现象,经质量分析讨论;对产生屋面卷材流淌现象的原因分析如下:
1、胶结料耐热度偏低;
2、找平层的分格缝设置不当;
3、胶结料粘结层过厚;
4、屋面板因温度变化产生胀缩;
5、卷材搭接长度太小。
针对原因分析,整改方案采用钉钉子法:在卷材上部离屋脊200mm~350mm范围内钉一排200mm长圆钉,钉眼涂防锈漆。
监理工程师认为屋面卷材的流淌现象的原因分析和钉钉子做法存在不妥,要求修改。
【问题】
1、指出工程质量计划编制和管理中的不妥之处,并写出正确做法。工程质量计划中的设置质量控制点的关键部位和环节还有哪些?
2、灌注桩桩身完整性检测方法有哪些?桩身完整性抽检数量的标准规定有哪些?
3、指出钢筋的连接接头面积百分率等要求中的不妥之处,并写出正确做法。(本问题分2项作答,多答不得分)现场钢筋直螺纹接头加工和安装质量检测专用工具还有哪些?
4、写出屋面卷材流淌原因和分析中的不妥之处。(本问题3项作答,多答不得分)写出钉钉子法的正确做法。
【第1问】
1-1、不妥之处一:项目部在开工之后编制了项目质量计划。
正确做法:项目部应在开工前编制项目质量计划。【该小问考点已过期,新版教材已变更,为保证试卷完整性,仅供考生参阅。】
不妥之处二:根据工程进展实施静态管理。
正确做法:应根据工程进展实施动态管理。
1-2、设置质量控制点的关键部位和环节还有:
1)影响结构安全的关键部位和环节;
2)采用新技术、新工艺的部位和环节;
3)隐蔽工程验收。
【第2问】
2-1、灌注桩桩身完整性检测方法有:钻芯法、低应变法、声波透射法。
2-2、桩身完整性抽检数量的标准规定:工程桩的桩身完整性的抽检数量不应少于总桩数的20%,且不应少于10根。每根柱子承台下的桩抽检数量不应少于1根。
【第3问】
3-1、不妥之处一:受压接头不宜大于75%。
正确做法:受压接头,可不受限制。
不妥之处二:直接承受动力荷载的结构体采用机械连接时,不宜超过50%。
正确做法:不应超过50%。
3-2、现场钢筋直螺纹接头加工和安装质量检测专用工具还有:通规、止规、扭力扳手等。【超纲考点】
【第4问】
4-1、屋面卷材流淌原因和分析中的不妥之处:
1)找平层的分格缝设置不当;
2)屋面板因温度变化产生胀缩;
3)卷材搭接长度太小。
4-2、钉钉子法的正确做法:当施工后不久,卷材有下滑趋势时,可在卷材的上部离屋脊300~450mm范围内钉三排50mm长圆钉,钉眼上灌胶结料。
案例三
【背景材料】
某新建商品住宅项目,建筑面积2.4万平方米,地下二层,地上十六层,由两栋结构类型与建筑规模完全相同的单体建筑组成。总承包项目部进场后绘制了进度计划网络图如图2所示。项目部针对四个施工过程拟采用四个专业施工队组织流水施工,各施工过程的流水节拍见表2-1。
建设单位要求缩短工期,项目部决定增加相应的专业施工队,组织成倍节拍流水施工。 项目部编制了施工检测试验计划,部分检测试验内容见表2-2。由于工期***施工进度计划调整,监理工程师要求对检测试验计划进行调整。 项目部编制了雨期施工专项方案,内容包括:
1、袋装水泥堆放于仓库地面;
2、浇筑板、墙、柱混凝土时可适当减小坍落度;
3、室外露天采光井采用编织布覆盖固定;
4、砌体每日砌筑高度不超过1.5m;
5、抹灰基层涂刷水性涂料时,含水率不得大于10%。 项目主体结构完成后,总监理工程师组织施工单位项目负责人等对主体结构的分部工程进行验收。验收时发现部分同条件养护试件强度不符合要求,经协商后采取回弹-取芯法对该批次对应的混凝土进行实体强度检验。
【问题】
1、写出图2的关键线路(采用节点方式表达,如①→②)和总工期。写出表2-1中基础施工和上部结构的流水节拍数。分别计算成倍节拍流水的流水步距、专业施工队数和总工期。
2、写出表2-2中A B C D处的内容。除了施工进度调整外,还有哪些情况需要调整施工检测试验计划?
3、指出雨期施工专项方案中的不妥之处,并写出正确做法。(本小题3项不妥,多答不得分)
4、主体结构工程的分部工程验收还应有哪些人员参加?结构实体检验除混凝土强度外还有哪些项目?
【第1问】
1-1、关键线路为:①→②→③→④→⑥→⑦→⑧;总工期:3+3+6+6+3=21月。
1-2、基础施工的流水节拍为:3月;上部结构的流水节拍为:6月
1-3、流水步距等于流水节拍的最大公约数,即:K=3月
专业施工队数:围护及开挖:3/3=1;基础施工:3/3=1;
上部结构:6/3=2;装饰装修:3/3=1。
总施工队数=1+1+2+1=5
总工期:(2+5-1)×3=18月
【第2问】
2-1、A:承载力;B:抗拉强度;C:配合比设计;D:粘结强度
2-2、除了施工进度调整外,还有下列情况需要调整施工检测试验计划:设计变更、施工工艺改变,材料和设备的规格、型号或数量变化。
【第3问】
不妥之处一:袋装水泥堆放于仓库地面。
正确做法:袋装水泥应存入仓库。仓库要求不漏、不潮,水泥底层架空通风,四周有排水沟。【该小问已过期,新版教材已变更,为保证试卷完整性,仅供考生参阅。】
不妥之处二:室外露天采光井采用编织布覆盖固定。
正确做法:室外露天采光井全部用盖板盖严并固定,同时铺上塑料薄膜。【该小问已过期,新版教材已变更,为保证试卷完整性,仅供考生参阅。】
不妥之处三:砌体每日砌筑高度不超过1.5m。
正确做法:砌体每日砌筑高度不超过1.2m。
【第4问】
4-1、主体结构工程的分部工程验收还应有下列人员参加:施工单位项目技术负责人,设计单位项目负责人和施工单位技术、质量部门负责人。
4-2、结构实体检验除混凝土强度外还有:钢筋保护层厚度、结构位置及尺寸偏差以及合同约定的项目。
案例四
【背景材料】
某新建学校工程,总建筑面积12.5万平方米,由12栋单体建筑组成,教学楼为钢筋混凝土框架结构,体育馆屋盖为钢结构。合同要求工程达到绿色建筑标准。施工单位中标后,与甲方签订合同并组建项目部。
项目部安全检查制度规定了安全检查主要形式包括:日常巡查、专项性安全检查、设备设施安全验收检查等。其中经常性安全检查方式主要有:专职安全人员的每天安全巡检;项目经理等专业人员检查生产工作时的安全检查;作业班组按要求时间进行安全检查等。
项目部在塔吊布置时充分考虑了吊装构件重量、运输和堆放、使用后拆除和运输等因素。按照《建筑工程安全检查标准》中“塔式起重机”的载荷限制装置、吊钩、滑轮、卷筒与钢丝绳、验收与使用等保证项目和结构设施等一般项目进行了检查验收。
屋盖钢结构施工高处作业安全专项方案规定如下:
1、钢结构构件宜地面组装,安全设施一并设置。
2、坠落高度超过2m的安装使用梯子攀登作业。
3、施工层搭设的水平通道不设置防护栏杆。
4、作为水平通道的钢梁一侧两端头设置安全绳。
5、安全防护采用工具化、定型化设施,防护盖板用黄色或红色标示。
施工单位管理部门在装修阶段对现场施工用电进行专项检查情况如下:
1、项目仅按照项目临时用电施工组织设计进行施工用电管理。
2、现场瓷砖切割机与砂浆搅拌机共用一个开关箱。
3、主教学楼一开关箱使用插座插头与配电箱连接
4、专业电工在断电后对木工加工机械进行检查和清理。
工程竣工后,项目部组织专家对整体工程进行绿色建筑评价,评分结果见表5-1。专家提出资源节约项和提高与创新加分项评分偏低,为主要扣分项,建议重点整改。

【问题】
1、建筑工程施工安全检查的主要形式还有哪些?作业班组安全检查的时间有哪些?
2、施工现场布置塔吊时应考虑的因素还有哪些?安全检查标准中塔式起重机的一般项目有哪些?
3、指出钢结构施工高处作业安全防护方案中的不妥之处,并写出正确做法。(本问题3项不妥,多答不得分)安全防护栏杆的条纹警戒标示用什么颜色?
4、指出装修阶段施工用电专项安全检查中的不妥之处,并写出正确做法。(本问题3项不妥,多答不得分)
5、写出表5-1中绿色建筑评价指标空缺评分项,计算绿色建筑评价总得分,并判断是否满足绿色三星标准?
【第1问】
1-1、建筑工程施工安全检查的主要形式还有:定期安全检查、经常性安全检查、季节性安全检查、节假日安全检查、开工、复工安全检查、专业性安全检查等。
1-2、作业班组安全检查的时间:班前、班中、班后。
【第2问】
2-1、施工现场布置塔吊时应考虑的因素还有:基础设置、周边环境、覆盖范围;同时还应考虑塔吊的附墙杆件位置、距离及使用后的拆除和运输。
2-2、塔式起重机的一般项目有:附着、基础与轨道、结构设施、电气安全。
【第3问】
3-1、不妥之处一:坠落高度超过2m的安装使用梯子攀登作业。
正确做法:坠落高度超过2m时,应设置操作平台。
不妥之处二:施工层搭设的水平通道不设置防护栏杆。
正确做法:水平通道两侧应设置防护栏杆。
不妥之处三:作为水平通道的钢梁一侧两端头设置安全绳。
正确做法:当利用钢梁作为水平通道时,应在钢梁一侧设置连续的安全绳。
3-2、安全防护栏杆的条纹警戒标示用黑黄或红白相间标示。
【第4问】
不妥之处一:项目仅按照项目临时用电施工组织设计进行施工用电管理。
正确做法:装饰装修工程阶段,还应补充编制单项施工用电方案。
不妥之处二:现场瓷砖切割机与砂浆搅拌机共用一个开关箱。
正确做法:现场瓷砖切割机与砂浆搅拌机必须有各自专用的开关箱。
不妥之处三:主教学楼一开关箱使用插座插头与配电箱连接。
正确做法:配电箱、开关箱的电源进线端严禁采用插座和插头做活动连接。
【第5问】
5-1、绿色建筑评价指标空缺评分项:安全耐久、健康舒适、生活便利、环境宜居。
5-2、(400+90+70+80+80+70+40)/10=83分
5-3、不满足绿色三星标准。
案例五
【背景材料】
某施工单位承接一工程,双方按《建设项目工程总承包合同》(GF-2020-0216) 签订了工程总承包合同。合同部分内容:质量为合格,工期6个月,按月度完成量的85%支付进度款,分部分项工程费见表4-1。

措施费为分部分项工程费的16%,安全文明施工费为分部分项工程费的6%,其他项目费用包括:暂列金额100万元,分包专业工程暂估价为200万元。另计总包服务费5%。规费费率为2.05%,增值税率9%
工程施工设备从以下三种型号中选择,设备每天工作时间均为8小时,设备相关信息见表4-2

施工单位进场后,技术人员发现土建图纸中,缺少了建筑总平面图,要求建设单位补发。按照施工平面管理总体要求:包括满足施工要求,不损害公众利益等内容,绘制了施工平面布置图,满足了施工需要。
施工单位为保证施工进度,针对编制的劳动力需用计划,综合考虑现有工作量、劳动力投入量、劳动效率、材料供应能力等因素,进行了钢筋加工劳动力调整。在20天内完成了3000t钢筋加工制作任务,满足了施工进度要求。
【问题】
1、通常情况下,一套完整的建筑工程土建施工图纸由哪几部分组成?
2、除质量标准、工期、工程价款与支付方式等,签订合同签约价时还应明确哪些事项?
3、建筑工程施工平面管理的总体要求还有哪些?
4、分别计算签约合同价中的项目措施费、安全文明施工费,签约合同价是多少?(取整数)
5、用单位工程量成本比较法列式计算选用哪种型号的设备?除考虑经济性外,施工机械设备选择原则还有哪些?
6、如果每人每个工作日劳动效率为5t,完成钢筋加工制作投入的劳动力是多少人?编制劳动力需求计划时需要考虑的因素还有哪些?
【第1问】该小问为超纲考点。
一套完整的建筑工程土建施工图纸的组成:建筑施工图,结构施工图。
【第2问】该小问考点已过期,新版教材已变更,为保证试卷完整性,仅供考生参阅。
签订合同签约价时还应明确:
(1)付款日期。
(2)采用固定价格应注意明确包死价的种类。
(3)采用固定价格必须把风险范围约定清楚。
(4)应当把风险费用的计算方法约定清楚。
(5)竣工结算方式和时间的约定。
(6)违约条款。
【第3问】
施工平面管理的总体要求还有:满足现场文明、安全有序、整洁卫生、不扰民、绿色环保。
【第4问】
4-1、分部分项费=1800+3000+3300+1200=9300万元;措施费=9300×16%=1488万元;
4-2、安全文明施工费=9300×6%=558万元;
4-3、签约合同价=【9300+1488+ (100+200+200×5%)】×(1+2.05%)×(1+9%) =12345万元
【第5问】
5-1、E设备:(3200+560×8)÷(120×8)=8元/m³
F设备:(3800+785×8)÷(180×8)=7元/m³
G设备:(4200+795×8)÷(220×8)=6元/m³
选用G设备。
5-2、选择的原则主要还有:适应性、高效性、稳定性和安全性。
【第6问】
6-1、3000/(20×5)=30人
6-2、编制劳动力需求计划时需要考虑的因素还有:
1)除了考虑现有工作量、劳动力投入量、劳动效率等,还应考虑它们与持续时间、班次、每班工作时间之间的相互调节。
2)安排混合班组作业时,除了考虑材料供应能力,还应考虑整体劳动效率、设备能力的制约,以及与其他班组工作的协调。
2022年一建建筑案例真题
案例一
【背景材料】
新建住宅小区,单位工程地下2~3层,地上2~12层,总建筑面积12.5万㎡。
施工总承包单位项目部为落实住房和城乡建设部《房屋建筑和市政基础设施工程危及生产安全施工工艺、设备和材料淘汰目录(第一批)》要求,在施工组织设计中明确了建筑工程禁止和限制使用的施工工艺、设备和材料清单,相关信息见表1-1。
表1-1房屋建筑工程危及生产安全的淘汰施工工艺、设备和材料(部分) | |||
名称 | 淘汰类型 | 限制条件和范围 | 可替代的施工工艺、设备、材料 |
现场简易制作钢筋保护层垫块工艺 | 禁止 | / | 专业化压制设备和标准模具生产垫块工艺等 |
卷扬机钢筋调直工艺 | 禁止 | / | E |
饰面砖水泥砂浆粘贴工艺 | A | C | 水泥基粘接材料粘贴工艺等 |
龙门架、井架物料提升机 | B | D | F |
白炽灯、碘钨灯、卤素灯 | 限制 | 不得用于建设工地的生产、办公、生活等区域的照明 | G |
某配套工程地上1~3层结构柱混凝土设计强度等级C40。于2022年8月1日浇筑1F柱,8月6日浇筑2F柱,8月12日浇筑3F柱,分别留置了一组C40混凝土同条件养护试件。1F、2F、3F柱同条件养护试件在规定等效龄期内(自浇筑日起)进行抗压强度试验,其试验强度值转换成实体混凝土抗压强度评定值分别为:38.5N/m㎡、54.5N/m㎡、47.0N/m㎡。施工现场8月份日平均气温记录见表1-2。
表1-2施工现场8月份日平均气温记录表 | |||||||||||
日期 | 1 | 2 | 3 | 4 | 5 | 6 | 7 | 8 | 9 | 10 | 11 |
日平均气温℃ | 29 | 30 | 29.5 | 30 | 31 | 32 | 33 | 35 | 31 | 34 | 32 |
累计气温℃ | 29 | 59 | 88.5 | 118.5 | 149.5 | 181.5 | 214.5 | 249.5 | 280.5 | 314.5 | 346.5 |
日期 | 12 | 13 | 14 | 15 | 16 | 17 | 18 | 19 | 20 | 21 | 22 |
日平均气温℃ | 31 | 32 | 30.5 | 34 | 33 | 35 | 35 | 34 | 34 | 36 | 35 |
累计气温℃ | 377.5 | 409.5 | 440 | 474 | 507 | 542 | 577 | 611 | 645 | 681 | 716 |
日期 | 23 | 24 | 25 | 26 | 27 | 28 | 29 | 30 | 31 | ||
日平均气温℃ | 34 | 35 | 36 | 36 | 35 | 36 | 35 | 34 | 34 | ||
累计气温℃ | 750 | 785 | 821 | 857 | 892 | 928 | 963 | 997 | 1031 | ||
项目部填充墙施工记录中存留有包含施工放线、墙体砌筑、构造柱施工、卫生间坎台施工等工序内容的图像资料,详见图1-1~图1-4

【问题】
1、补充表1-1中A~G处的信息内容。
2、分别写出配套工程1F、2F、3F柱C40混凝土同条件养护试件的等效龄期(d)和日平均气温累计数(℃・d)。
3、两种混凝土强度检验评定方法是什么?1F~3F柱C40混凝土实体强度评定是否合格?并写出评定理由。(合格评定系数 λ3=1.15、λ4=0.95)
4、分别写出填充墙施工记录图1-1~图1-4的工序内容。写出四张图片的施工顺序。(如1-2-3-4)
【第1问】
A:禁止 B:限制 C:/
D: 不得用于25米及以上的建设工程。
E: 普通钢筋调直机、数控钢筋调直切断机的钢筋调直工艺等。
F: 人货两用施工升降机等。
G: LED灯、节能灯等。
【第2问】(超纲考点)
1F、2F、3F柱C40混凝土同条件养护试件的等效龄期(d)和日平均气温累计数分别为:
(1)1F:19d,611℃・d
(2)2F:18d,600.5℃・d
(3)3F:18d,616.5℃・d
【第3问】(超纲考点)
3-1、两种混凝土强度检验评定方法:统计方法、非统计方法。
3-2、1F~3F柱C40混凝土实体强度评定:合格。理由:按非统计方法评定混凝土强度时,其强度应同时符合下列规定:mfcu≥λ3·fcu,k(即1.15x40=46)且fcu,min≥λ4·fcu,k(即0.95×40=38)
本题, mfcu=(38.5+54.5+47.0)/3=46.67>46;fcu,min=38.5>38。均符合规定。
【第4问】(超纲考点)
4-1、图1-1:施工放线;图1-2:构造柱施工;图1-3:墙体砌筑;图1-4:卫生间坎台施工
4-2、1-4-3-2
案例二
【背景资料】
某新建办公楼,地下1层,地上18层,总建筑面积2.1万㎡ 。钢筋混凝土核心筒结构,外框采用钢结构。
总承包项目在工程施工准备阶段,根据合同要求编制了工程施工网络计划如图2。在进度计划审查时,监理工程师提出在工作A和工作E中含有特殊施工技术,涉及知识产权保护,须由同一专业单位按先后顺序依次完成。项目部对原进度计划进行了调整,以满足工作A与工作E先后施工的逻辑关系 。

图2施工进度计划网络图(单位:月)
外框钢结构工程开始施工时,总承包项目部质量员在巡检中发现,一种首次使用的焊接材料的施焊部位焊缝未熔合、未焊透的质量缺陷。钢结构安装单位也无法提供其焊接工艺评定试验报告,总承包项目部要求暂停此类焊接材料的焊接作业,待完成焊接工艺评定后重新申请恢复作业。
工程完工后,总承包单位自检后认为:所含分部工程中有关安全、节能、环境保护和主要使用功能的检验资料完整,符合单位工程质量验收合格标准,报送监理单位申请预验收。监理单位检查后发现部分楼层C30混凝土同条件试块资料缺失,不符合强度评定要求,退回整改。
【问题】
1、画出调整后的工程网络计划图,并写出关键线路。(以工作表示:如A→C)。调整后的总工期是多少个月?
2、网络图的逻辑关系包括什么?网络图中虚工作的作用是什么?
3、哪些情况需要进行焊接工艺评定试验?焊缝缺陷还有哪些类型?
4、单位工程质量验收合格的标准有哪些?工程质量控制资料部分缺失时的处理方式是什么?
【第1问】
1-1、

1-2、关键线路:A→E→H
1-3、调整后的总工期:6+5+8=19个月
【第2问】
2-1、网络图的逻辑关系有:工艺关系和组织关系。
2-2、虚线的作用:用于正确表达图中工作之间的逻辑关系,一般起着工作之间的联系、区分和断路的三个作用。
【第3问】【该小问考点已过期,新版教材已变更,为保证试卷完整性,仅供考生参阅。】
3-1、施工单位首次采用的钢材、焊接材料、焊接方法、接头形式、焊接位置、焊后热处理制度以及焊接工艺参数、预热和后热措施等各种参数及参数的组合,应在钢结构制作及安装前进行焊接工艺评定试验。
3-2、焊缝的缺陷形式还有:裂纹、孔穴、固体夹杂、形状缺陷和上述以外的其他缺陷。
【第4问】
4-1、单位工程质量验收合格要求:
1)所含分部工程的质量均应验收合格;
2)质量控制资料应完整;
3)所含分部工程中有关安全、节能、环境保护和主要使用功能的检验资料应完整;
4)主要使用功能的抽查结果应符合相关专业验收规范的规定;
5)观感质量应符合要求。
4-2、工程资料有缺失,应委托有资质的检测机构按有关标准进行相应的实体检验或抽样试验。
案例三
【背景材料】
某新建医院工程,地下2层,地上8-16层,总建筑面积11.8万㎡。基坑深度9.8m,沉管灌注桩基础,钢筋混凝土结构。
施工单位在桩基础专项施工方案中,根据工程所在地含水量较小的土质特点,确定沉管灌注桩选用单打法成桩工艺,其成桩过程包括桩机就位、锤击(振动)沉管、上料等工作内容。
基础底板大体积混凝土浇筑方案确定了包括环境温度、底板表面与大气温差等多项温度控制指标:明确了温控监测点布置方式,要求沿底板厚度方向测温点间距不大于500mm。
施工作业班组在一层梁、板混凝土强度未达到拆模标准(见表3)情况下,进行了部分模板拆除;拆模后,发现梁底表面出现了夹渣、麻面等质量缺陷。监理工程师要求进行整改。

装饰工程施工前,项目部按照图纸“三交底”的施工准备工作要求,安排工长向班组长进行了图纸、施工方法和质量标准交底:施工中,认真执行包括工序交接检查等内容的“三检制”,做好质量管理工作。
【问题】
1、沉管灌注桩施工除单打法外,还有哪些方法?成桩过程还有哪些内容?
2、大体积混凝土温控指标还有哪些?沿底板厚度方向的测温点应布置在什么位置?
3、混凝土容易出现哪些表面缺陷?写出表3中A、B、C处要求的数值。
4、装饰工程图纸“三交底”是什么(如:工长向班组长交底)?工程施工质量管理“三检制”指什么?
【第1问】
1-1、除单打法外,还有:复打法、反插法。
1-2、成桩过程还有:边锤击(振动)边拔管,并继续浇筑混凝土;下钢筋笼,继续浇筑混凝土及拔管;成桩。
【第2问】
2-1、温控指标还有:入模温度、入模温度基础上的温升值、降温速率、里表温差等。具体而言,温控指标应符合下列规定:
①混凝土浇筑体在入模温度基础上的温升值不宜大于50℃;
②混凝土浇筑体里表温差(不含混凝土收缩当量温度)不宜大于25℃;
③混凝土浇筑体降温速率不宜大于2.0℃/d;
④拆除保温覆盖时混凝土浇筑体表面与大气温差不应大于20℃。
2-2、厚度方向温控测点的布置:应至少布置表层、底层和中心温度测点,测点间距不宜大于500mm。
【第3问】
3-1、混凝土表面缺陷:麻面、露筋、蜂窝、孔洞等。
3-2、A:50;B:75;C:100
【第4问】
4-1、装饰工程图纸“三交底”是指:
①施工主管向施工工长交底;
②工长向班组长交底;
③班组长向班组成员交底。
4-2、三检:自检、互检及工序交接检查。
案例四
【背景材料】
建设单位发布ESS新建工程招标文件,部分条款有:发包范围为土建、水电通风空调、消防、装饰等工程,实行施工总承包管理,投标限额为65000.00万元,暂列金额为1500万元;工程款按月度完成工作量的80%支付;质量保修金为5%,履约保证金为15%;钢材指定采购本市钢厂的产品;消防及通风空调专项工程合同金额1200.00万元,由建设单位指定发包,总承包服务费3.00%。 投标单位对部分条款提出了异议。
经公开招标,某施工总承包单位中标,签订了施工总承包合同。合同价部分费用有:分部分项工程费48000.00万元,措施项目费为分部分项工程费的15%,规费费率为2.20%,增值税税率为9.00%。
施工总承包单位签订物资采购合同,购买800×800mm的地砖3900块,合同标的规定了地砖的名称、等级、技术标准等内容。地砖由A、B、C三地供应,相关信息如表4:
表4地砖采购信息表
序号 | 货源地 | 数量(块) | 出厂价(元/块) | 其他 |
1 | A | 936 | 36 | |
2 | B | 1014 | 33 | |
3 | C | 1950 | 35 | |
合计 | 3900 |
地方主管部门在检查《建筑工人实名制管理办法》落实情况时发现:个别工人没有签订劳动合同,直接进入现场施工作业;仅对建筑工人实行了实名制管理等问题。
要求项目立即整改。
【问题】
1、指出招标文件中的不妥之处,分别说明理由。
2、施工企业除施工总承包合同外,还可能签订哪些与工程相关的合同?
3、分别计算各项构成费用(分部分项工程费、措施项目费等5项)及施工总承包合同价各是多少?(单位:万元,保留小数点后两位)
4、分别计算地砖的每平方米用量、各地采购比重和材料原价各是多少?(原价单位:元/㎡)物资采购合同中的标的内容还有哪些?
5、建筑工人满足什么条件才能进入施工现场工作?除建筑工人外,还有哪些单位人员进入施工现场应纳入实名制管理?
【第1问】
不妥之处一:要求质保金5%,履约保证金15%。
理由:(1)在工程项目竣工前已缴纳履约保证金的,建设单位不得同时预留工程质量保证金。
(2)质保金不得超过工程结算价款总额的3%。
(3)履约保证金不得超过中标合同金额的10%。
不妥之处二:钢材制定采购本市钢厂的产品。
理由:不得限定或指定特定的专利、商标、品牌、原产地或者供应商。
不妥之处三:消防通风专业项目由业主指定发包。
理由:建设单位不得直接指定分包工程承包人。
【第2问】
施工单位还可以签订:分包合同、劳务合同、采购合同、租赁合同、借款合同、担保合同、咨询合同、保险合同等。
【第3问】
分部分项工程费:48000.00万元
措施项目费:48000×15%=7200.00万元
其他项目费:1500+1200+ 1200×3%=2736.00万元
规费:(48000+7200+2736)×2.2%=1274.59万元
税金:(48000+7200+2736+1274.59)×9%=5328.95万元
造价=48000+7200+2736+1274.59+5328.95=64539.54万元
【第4问】
4-1、地砖每平方米用量=1/(0.8x0.8)=1.56块
4-2、各地采购比重(根据金额占比):
A货源地=(936×36)/(936×36+1014×33+1950×35)=24.88%
B货源地=(1014×33)/(936×36+1014×33+1950×35)=24.71%
C货源地=(1950×35)/(936×36+1014×33+1950×35)=50.40%
各地采购比重(根据数量占比):
A货源地=936/3900=24%
B货源地=1014/3900=26%
C货源地=1950/3900=50%
4-3、各地材料原价:
①A货源地:36/(0.8x0.8)=56.25元/m²
②B货源地:33/(0.8x0.8)=51.56元/m²
③C货源地:35/(0.8x0.8)=54.69元/m²
加权平均后:材料原价=【(936x36+1014x33+1950x35)/(936+1014+1950)】/(0.8x0.8)=54.25元/m²
(4)应该补充的标的物还有:品种、型号、规格、花色、质量要求等。
【第5问】
5-1、作业分包单位的劳务员在进场施工前,应按实名制管理要求,将进场施工人员花名册、身份证、劳动合同文本或用工书面协议、岗位技能证书复印件及时报送总承包商备案。总承包方劳务员根据劳务分包单位提供的劳务人员信息资料逐一核对,不具备以上条件的不得使用,总承包商将不允许其进入施工现场。
5-2、还有以下单位的人员:进入施工现场的建设单位、承包单位、监理单位的项目管理人员等。
案例五
【背景材料】
某酒店工程,建筑面积2.5万㎡,地下1层,地上12层。其中标准层10层,每层标准客房18间,35㎡/间;裙房设宴会厅1200㎡,层高9m。施工单位中标后开始组织施工。
施工单位企业安全管理部门对项目贯彻企业安全生产管理制度情况进行检查,检查内容有:安全生产教育培训、安全生产技术管理、分包(供)方安全生产管理、安全生产检查和改进等。
宴会厅施工“满堂脚手架”搭设完成自检后,监理工程师按照《建筑施工安全检查标准》JGJ59要求的保证项目和一般项目对其进行了检查,检查结果如表5-1。
表5-1满堂脚手架检查结果(部分)
检查 | 施工 | 架体 | 杆件 | 脚手板 | 构配件材质 | 荷载 | 合计 | ||||
满分值 | 10 | 10 | 10 | 10 | 10 | 10 | 10 | 10 | 10 | 10 | 100 |
得分值 | 10 | 10 | 10 | 9 | 8 | 9 | 8 | 9 | 10 | 9 | 92 |
宴会厅顶板混凝土浇筑前,施工技术人员向作业班组进行了安全专项方案交底,针对混凝土浇筑过程中,可能出现的包括浇筑方案不当使支架受力不均衡,产生集中荷载、偏心荷载等多种安全隐患形式,提出了预防措施。
标准客房样板间装修完成后,施工总承包单位和专业分包单位进行初验,其装饰材料的燃烧性能检查结果如表5-2。
表5-2样板间装饰材料燃烧性能检查表(部分)
部位 | 顶棚 | 墙面 | 地面 | 隔断 | 窗帘 | 固定家具 | 其他装饰材料 |
燃烧性能等级 | A+B1 | B1 | A+B1 | B2 | B2 | B2 | B3 |
注:A+B1指A级和B1级材料均有。
竣工交付前,项目部按照每层抽一间,每间取一点,共抽取10个点,占总数5.6%的抽样方案,对标准客房室内环境污染物浓度进行了检测。检测部分结果如表5-3。
表5-3标准客房室内环境污染物浓度检测表(部分)
污染物 | 民用建筑 | |
平均值 | 最大值 | |
TVOC(mg/m³) | 0.46 | 0.52 |
苯(mg/m³) | 0.07 | 0.08 |
1、施工企业安全生产管理制度内容还有哪些?
2、写出满堂脚手架检查内容中的空缺项,分别写出属于保证项目和一般项目的检查内容。
3、混凝土浇筑过程的安全隐患主要表现形式还有哪些?
4、改正表5-2中燃烧性能不符合要求部位的错误做法,装饰材料性能分几个等级?并分别写出代表含义(如A-不燃)。
5、写出建筑工程室内环境污染物浓度检测抽检量要求,标准客房抽样数量是否符合要求?
6、表5-3的污染物浓度是否符合要求?应检测的污染物还有哪些?
【第1问】
还有:施工现场安全管理,施工设施、设备及劳动防护用品的安全管理,生产安全事故管理,安全考核和奖惩,应急救援管理,安全费用管理等制度。
【第2问】
2-1、空缺项分别为:架体基础、交底与验收、架体防护、通道。
2-2、保证项目:施工方案、架体基础、架体稳定、杆件锁件、脚手板、交底与验收。一般项目:架体防护、构配件材质、荷载、通道。
【第3问】
混凝土浇筑过程中的安全隐患还有:
(1)高处作业安全防护设施不到位。
(2)机械设备的安装、使用不符合安全要求。
(3)过早地拆除支撑和模板。
【第4问】
4-1、客房样板间所用装修材料燃烧性能要求分别改正如下:
①顶棚:一类建筑时应为A,二类建筑时应为A。
②隔断:一类建筑时应为B1,二类建筑时应为B1。
③窗帘:一类建筑时应为B1。
④其他装饰材料:一类建筑时为B1,二类建筑时为B2。
4-2、装饰材料燃烧性能分4个等级:A-不燃;B1-难燃;B2-可燃;B3-易燃。
【第5问】
5-1、检测抽检量要求:
①抽检房间数量规定:抽检数量不得少于房间总数的5%,每个建筑单体不得少于3间;房间总数少于3间时,应全数检测。民用建筑工程验收时,凡进行了样板间室内环境污染物浓度检测且检测结果合格的,其同一装饰装修设计样板间类型的房间抽检量可减半,并不得少于3间。
②每个房间检测点数规定:房间使用面积小于50m²的房间,检测1点。房间使用面积≥50,<100的房间,检测2点;房间使用面积≥100,<500m²的房间,检测不少于3点。房间使用面积≥500,<1000m²的房间,检测不少于5点。房间使用面积≥1000 m²的房间,≥1000m²的部分,每增加1000m²增设1点,增加面积不足1000m²时按增加1000m²计算。
5-2、标准客房抽样数量:符合要求。
【第6问】
6-1、TVOC:不符合要求。
苯:符合要求。
6-2、应检测的污染物还有:甲醛、氨、甲苯、二甲苯、氡。
2021年一建建筑案例真题
案例一
【背景材料】
某工程项目经理部为贯彻落实《住房和城乡建设部等部门关于加快培育新时代建筑产业工人队伍的指导意见》(住建部等12部委2020年12月印发)要求在项目劳动用工管理中做了以下工作:
(1)要求分包单位与招用的建筑工人签订劳务合同;
(2)总包对农民工工资支付工作负总责,要求分包单位做好农民工工资发放工作;
(3)改善工人生活区居住环境,在集中生活区配套了食堂等必要生活机构设施,开展物业化管理。
项目经理部编制的《屋面工程施工方案》中规定:
(1)工程采用倒置式屋面,屋面构造层包括防水层、保温层、找平层、找坡层、隔离层、结构层和保护层。构造示意图见图1;
(2)防水层选用三元乙丙高分子防水卷材;
(3)防水层施工完成后进行雨后观察或淋水、蓄水试验,持续时间应符合规范要求。合格后再进行隔离层施工。
【问题】
1、指出项目劳动用工管理工作中不妥之处,并写出正确做法。
2、为改善工人生活区居住环境,在一定规模的集中生活区应配套的必要生活机构设施有哪些?(如食堂)
3、常用高分子防水卷材有哪些?(如三元乙丙)
4、常用屋面隔离层材料有哪些?屋面防水层淋水、蓄水试验持续时间各是多少小时?
5、写出图1中屋面构造层1-7对应的名称。
不妥之处一:要求分包单位与招用的建筑工人签订劳务合同。
正确做法:用人单位应与招用的建筑工人依法签订劳动合同,严禁用劳务合同代替劳动合同。
不妥之处二:要求分包单位做好农民工工资发放工作。
正确做法:应由总包单位代理分包单位发放农民工工资。
【第2问】(超纲考点)
配套的必要生活机构设施有:食堂、超市、医疗、法律咨询、职工书屋、文体活动室。
【第3问】
常用高分子防水卷材有:三元乙丙、聚氯乙烯、氯化聚乙烯、氯化聚乙烯-橡胶共混及三元丁橡胶防水卷材。
【第4问】
4-1常用屋面隔离层:干铺塑料膜、土工布、卷材或铺抹低强度等级砂浆。
4-2屋面防水层淋水时间:不少于2h;蓄水时间:不少于24h。
【第5问】
对应的名称分别为:1保护层、2隔离层、3保温层、4防水层、5找平层、6找坡层、7结构层
案例二
【背景资料】
某施工单位承建一高档住宅楼工程。钢筋混凝土剪力墙结构,地下2层,地上26层,建筑面积36000m²。
施工单位项目部根据该工程特点,编制了“施工期变形测量专项方案”,明确了建筑测量精度等级为一等,规定了两类变形测量基准点设置均不少于4个。
首层楼板混凝土出现明显的塑态收缩现象,造成混凝土结构表面收缩裂缝。项目部质量专题会议分析其主要原因是骨料含泥量过大和水泥及掺合料的用量超出规范要求等,要求及时采取防治措施。
二次结构填充墙施工时,为抢工期,项目工程部门安排作业人员将刚生产7天的蒸压加气混凝土砌块用于砌筑作业,要求砌体灰缝厚度、饱满度等质量满足要求。后被监理工程师发现,责令停工整改。
项目经理巡查到二层样板间时,地面瓷砖铺设施工人员正按照基层处理、放线、浸砖等工艺流程进行施工。
其检查了施工质量,强调后续工作要严格按照正确施工工艺作业,铺装完成28d后,用专用勾缝剂勾缝,做到清晰顺直,保证地面整体质量。
【问题】
1.建筑变形测量精度分几个等级?变形测量基准点分哪两类?其基准点设置要求有哪些?
2.除塑态收缩外,还有哪些收缩现象易引起混凝土表面收缩裂缝?收缩裂缝产生的原因还有哪些?
3.蒸压加气混凝土砌块使用时的要求龄期和含水率应是多少?写出水泥砂浆砌筑蒸压加气混凝土砌块的灰缝质量要求。
4.地面瓷砖面层施工工艺内容还有哪些?瓷砖勾缝要求还有哪些?
1-1建筑变形测量精度分五个等级。
1-2变形测量基准点分:沉降基准点和位移基准点。
1-3①沉降观测基准点,在特等、一等沉降观测时,不应少于4个;其他等级沉降观测时不应少于3个;基准之间应形成闭合环。
②位移观测基准点,对水平位移观测、基坑监测和边坡监测,在特等、一等观测时,不应少于4个;其他等级观测时不应少于3个。
【第2问】
2-1还有:沉陷收缩、干燥收缩、碳化收缩、凝结收缩等收缩裂缝。
2-2原因还有: 1)混凝土原材料质量不合格。 2)混凝土水胶比、坍落度偏大,和易性差。 3)表面抹压收面不规范,养护不及时或养护差。
【第3问】
3-1龄期28天,含水率宜小于30%。
3-2采用非专用粘结砂浆砌筑时,水平灰缝厚度和竖向灰缝宽度不应超过15mm。
【第4问】
4-1铺设结合层砂浆、铺砖、养护、勾缝。
4-2平整、光滑、深浅一致,缝色与石材颜色基本一致。
案例三
【背景材料】
某新建住宅楼工程,建筑面积25000m²,装配式钢筋混凝土结构。建设单位编制了招标工程量清单等招标文件,其中部分条款内容为:本工程实行施工总承包模式,承包范围为土建、电气等全部工程内容,质量标准为合格,开工前业主向承包商支付合同工程造价的25%作为预付备料款;保修金为总价的3%。经公开招投标,某施工总承包单位以12500万元中标。其中:工地总成本9200万元,公司管理费按10%计,利润按5%计,暂列金额1000万元。主要材料及构配件金额占合同额70%。双方签订了工程施工总承包合同。项目经理部按照包括统一管理、 资金集中等内容的资金管理原则,编制年、季、月度资金收支计划,认真做好项目资金管理工作。施工单位按照建设单位要求,通过专家论证,采用了一种新型预制钢筋混凝土剪力墙结构体系,致使实际工地总成本增加到9500万元。施工单位在工程结算时,对增加费用进行了索赔。
项目经理部按照优先选择单位工程量使用成本费用(包括可变费用和固定费用,如大修理费、小修理费等)较低的原则,施工塔吊供应渠道选择企业自有设备调配。
项目检验试验由建设单位委托具有资质的检测机构负责,施工单位支付了相关费用,并向建设单位提出以下索赔事项:
(1)现场自建试验室费用超预算费用3.5万;
(2)新型钢筋混凝土预制剪力墙结构验证试验费25万元;
(3)新型钢筋混凝土剪力墙预制构件抽样检测费用12万元;
(4)预制钢筋混凝土剪力墙板破坏性试验费用8万元;
(5)施工企业采购的钢筋连接套筒抽检不合格而增加的检测费用1.5万元。
【问题】
1、施工总承包通常包括哪些工程内容?(如土建、电气)
2、该工程预付备料款和起扣点分别是多少万元?(精确到小数点后两位)
3、项目资金管理原则有哪些内容?
4、施工单位工地总成本增加,用总费用法分步计算索赔值是多少万元? (精确到小数点后两位)
5、项目施工机械设备的供应渠道有哪些?机械设备使用成本费用中固定费用有哪些?
6、分别判断检测试验索赔事项的各项费用是否成立?(如1万元成立)
施工总承包施工内容通常包括土建、电气、给排水、采暖、消防、燃气、机电安装、园林景观及室外管网等全部或部分。
【第2问】
2-1预付备料款= (12500-1000) x25%=2875.00万元;
2-2起扣点= (12500-1000)-2875/70%=7392.86万元。
【第3问】该小问考点已过期,新版教材已变更,为保证试卷完整性,仅供考生参阅。
统一管理、分级负责;归口协调、流程管控;资金集中、预算控制;以收定支、集中调剂。
【第4问】
总成本增加:9500-9200=300.00万元
公司管理费增加: 300x10%=30.00万元
利润增加:(300+30)x5%=16.50万元
索赔值:300+30+16.5=346.50万元
【第5问】
5-1项目施工机械设备的供应渠道有:企业自有设备调配、市场租赁设备、专门购置机械设备、专业分包队伍自带设备。
5-2机械设备使用成本费用中固定费用有折旧费、大修理费、机械管理费、投资应付利息、固定资产占用费等。
【第6问】
(1)3.5万元不成立;
(2)25万元成立;
(3)12万元成立;
(4)8万元成立;
(5)1.5万元不成立。
案例四
【背景材料】
某工程项目,地上15~18层,地下2层,钢筋混凝土剪力墙结构,总建筑面积57000m²。施工单位中标后成立项目经理部组织施工。
项目经理部计划施工组织方式采用流水施工,根据劳动力储备和工程结构特点确定流水施工的工艺参数、时间参数和空间参数,如空间参数中的施工段、施工层划分等,合理配置了组织和资源,编制项目双代号网络计划如图3-1。

项目经理部上报了施工组织设计,其中:施工总平面图设计要点包括了设置大门,布置塔吊、施工升降机,布置临时房屋、水、电和其他动力设施等。布置施工升降机时,考虑了导轨架的附墙位置和距离等现场条件和因素。公司技术部门在审核时指出施工总平面图设计要点不全,施工升降机布置条件和因素考虑不足,要求补充完善。
项目经理部在工程施工到第8月底时 ,对施工进度进行了检查 ,工程进展状态如图3-1中前锋线所示。工程部门根据检查分析情况 ,调整措施后重新绘制了从第9月开始到工程结束的双代号网络计划 ,部分内容如图3-2。
主体结构完成后,项目部为结构验收做了以下准备工作;
(1)将所有模板拆除并清理干净;
(2)工程技术资料整理、整改完成;
(3)完成了合同图纸和洽商所有内容;
(4)各类管道预埋完成,位置尺寸准确,相应测试完成;
(5)各类整改通知已完成,并形成整改报告。
项目部认为达到了验收条件,向监理单位申请组织结构验收,并决定由项目技术负责人、相关部门经理和工长参加。监理工程师认为存在验收条件不具备、参与验收人员不全等问题,要求完善验收条件。
【问题】
1、工程施工组织方式有哪些?组织流水施工时,应考虑的工艺参数和时间参数分别包括哪些内容?
2、施工总平面布置图设计要点还有哪些?布置施工升降机时,应考虑的条件和因素还有哪些?
3、根据图3-1中进度前锋线分析第8月底工程的实际进展情况
4、在答题纸上绘制(可以手绘)正确的从第9月开始到工程结束的双代号网络计划图(图3-2)。
5、主体结构验收工程实体还应具备哪些条件?施工单位应参与结构验收的人员还有哪些?
1-1工程施工组织实施的方式分三种:依次施工、平行施工、流水施工。
1-2工艺参数:施工过程、流水强度
时间参数:流水节拍、流水步距、施工工期
【第2问】
2-1设计要点还有:引入场外道路、布置仓库堆场、布置加工厂、布置场内临时运输道路。
2-2应考虑的条件和因素还有:布置施工升降机时,应考虑地基承载力、地基平整度、周边排水、导轨架的附墙位置和距离、楼层平台通道、出入口防护门以及升降机周边的防护围栏等。
【第3问】 ②→⑦进度延误一个月;⑥→⑧进度正常;⑤→⑧进度提前1个月。总工期延误1个月。 【第4问】 【第5问】
5-1主体结构验收实体还需具备的条件:
①墙面上的施工孔洞按规定镶堵密实,并作隐蔽工程验收记录。
②楼层标高控线应清楚弹出墨线,并做醒目标志;
③主体分部工程验收前,可完成样板间或样板单元的室内粉刷;
5-2还需参加的人员:施工单位项目负责人、施工单位技术、质量部门负责人。
案例五
【背景材料】
某住宅工程由7栋单体组成;地下2层,地上10~13层;总建筑面积11.5万m²。施工总承包单位中标后成立项目经理部组织施工。
项目总工程师编制了《临时用电组织设计》,其内容包括:总配电箱设在用电设备相对集中的区域;电缆直接埋地敷设,穿过临建设施时应设置警示标识进行保护;临时用电施工完成后,由编制和使用单位共同验收合格后方可使用;各类用电人员经考试合格后持证上岗工作;发现用电安全隐患,经电工排除后继续使用;维修临时用电设备由电工独立完成;临时用电定期检查按分部、分项工程进行。《临时用电组织设计》报企业技术部批准后;上报监理单位。监理工程师认为《临时用电组织设计》存在不妥之处,要求修改完善后再报。
项目经理部结合各级政府新冠肺炎疫情防控工作政策;制定了《绿色施工专项方案》。监理工程师审查时指出不妥之处:
(1)生产经理是绿色施工组织实施第一责任人;
(2)施工工地内的生活区实施封闭管理;
(3)实行每日核酸检测;
(4)现场生活区采取灭鼠、灭蚊、灭蝇等措施;不定期投放和喷洒灭虫、消毒药物。
同时要求补充发现施工人员患有法定传染病时;施工单位采取的应对措施。
项目一处双排脚手架搭设到20米时;当地遇罕见暴雨;造成地基局部下沉,外墙脚手架出现严重变形;经评估后认为不能继续使用。项目技术部门编制了该脚手架拆除方案,规定了作业时设置专人指挥,多人同时操作;明确分工、统一行动,保持足够的操作面等脚手架拆除作业安全管理要点。经审批并交底后实施。
项目部在工程质量策划中;制定了分项工程过程质量检测试验计划;部分内容见下表5。施工过程质量检测试验抽检频次依据质量控制需要等条件确定。

对建筑节能工程围护结构子分部工程检查时;抽查了墙体节能分项工程中保温隔热材料复验报告。复验报告表明该批次酚醛泡沫塑料板的导热系数(热阻)等各项性能指标合格。
【问题】
1、写出《临时用电组织设计》内容与管理中不妥之处的正确做法。
2、写出《绿色施工专项方案》中不妥之处的正确做法。施工人员患有法定传染病时,施工单位应对措施有哪些?
3、脚手架拆除作业安全管理要点还有哪些?
4、写出表5相关检测试验项目对应主要检测试验参数的名称(如混凝土性能;同条件转标养强度)。确定抽检频次条件还有哪些?
5、建筑节能工程中的围护结构子分部工程包含哪些分项工程?墙体保温隔热材料进场时需要复验的性能指标有哪些?
不妥之处的正确做法分别如下:
(1)应由电气工程技术人员编制《临时用电组织设计》。
(2)总配电箱应设在靠近进场电源的区域。
(3)直接埋地敷设的电缆过临建设施时,应套钢管保护。
(4)临时用电施工完成后,须经编制、审核、批准部门和使用单位共同验收合格后方可使用。
(5)发现用电安全隐患必须及时处理,并应履行复查验收手续。
(6)维修临时用电设备必须由电工完成,并应有人监护。
(7)《临时用电组织设计》应经具有法人资格企业的技术负责人或授权的技术人员批准,现场监理签认后实施。
【第2问】
2-1不妥之处的正确做法:
(1)项目经理是绿色施工组织实施的第一责任人。
(2)施工现场实行封闭管理。
(3)每日测量体温。
(4)现场办公区和生活区应采取灭鼠、灭蚊、灭蝇、灭螂等措施,并应定期投放和喷洒灭虫、消毒药物。(该小问考点已过期,新版教材已变更,为保证试卷完整性,仅供考生参阅。)
2-2施工单位应对措施:必须要在2h内向施工现场所在地建设行政主管部门和卫生防疫等部门进行报告,并应积极配合调查处理。施工作业人员如患有法定传染病时,应及时进行隔离,并由卫生防疫部门进行处置。(该小问考点已过期,新版教材已变更,为保证试卷完整性,仅供考生参阅。)
【第3问】
(1)拆除作业必须由上而下逐层进行;严禁上下同时作业。
(2)连墙件必须随脚手架逐层拆除,严禁先将连墙件整层拆除后再拆脚手架;分段拆除高差不应大于2步,如高差大于2步;应增设连墙件加固。
(3)拆除的构配件应采用起重设备吊运或人工传递到地面,严禁抛掷。
【第4问】
4-1桩基:承载力,桩身完整性;机械连接现场检验:抗拉强度;混凝土性能:标准养护试件强度、同条件试件强度、抗渗性能;围护结构现场实体检验:外墙节能构造。
4-2确定抽检频次条件还有:施工流水段划分、工程量、施工环境。
【第5问】
5-1围护结构子分部工程包含的分项工程有:墙体节能工程、幕墙节能工程、门窗节能工程、屋面节能工程和地面节能工程。
5-2墙体保温隔热材料进场需要复验的性能指标:保温隔热材料的导热系数或热阻、密度、压缩强度或抗压强度、吸水率、燃烧性能(不燃材料除外)及垂直于板面方向的抗拉强度(仅限墙体)。
2020年一建建筑案例真题
案例一
【背景材料】
某工程项目部根据当地政府要求进行新冠疫情后复工,按照住建部《房屋市政工程复工复产指南》(建办质(2020)8号)规定,制定了《项目疫情防控措施),其中规定有:
(1)施工现场采取封闭式管理。严格施工区等“四区”分离,并设置隔离区和符合标准的隔离室:
(2)根据工程规模和务工人员数量等因素,合理配备疫情防控物资;
(3)现场办公场所、会议室、宿舍应保持通风,每天至少通风3次,并定期对上述重点场所进行消毒。
项目部制定的《模板施工方案》中规定有:
(1)模板选用15mm厚木胶合板,木枋格栅、围檩;
(2)水平模板支撑采用碗扣式钢管脚手架,顶部设置可调托撑;
(3)碗扣式脚手架钢管材料为Q235级,高度超过4m,模板支撑架安全等级按1级要求设计;
(4)模板及其支架的设计中考虑了下列各项荷载:
1)模板及其支架自重(G1)
2)新浇筑混凝土自重(G2)
3)钢筋自重(G3)
4)新浇筑混凝土对模板侧面的压力(G4)
5)施工人员及施工设备产生的荷载(Q1)
6)浇筑和振捣混凝土时产生的荷载(Q2)
7)泵送混凝土或不均匀堆载等附加水平荷载(Q3)
8)风荷载(Q4)
进行各项模板设计时,参与模板及支架承载力计算的荷载项见表1。


【问题】
1、《项目疫情防控措施》规定的“四区”中除施工区外还有哪些?施工现场主要防疫物资有哪些?需要消毒的重点场所还有哪些?
2、作为混凝土浇筑模板的材料种类都有哪些?(木材)
3、写出表1中其他模板与支架承载力计算内容项目的参与荷载项。(如:支架水平杆及节点承载力:G1、G2、G3、Q1)
4、指出图1中模板支撑架剖面图中的错误之处。
1-1生活区、办公区、辅助作业区、材料堆放区
1-2额温枪、水银体温计、口罩、84消毒液、洗手液、橡胶手套
1-3门口区域(人脸识别打卡机及楼梯口处)、公共区域(门厅、楼道电梯、会议室、卫生间等区域)、中央空调区(停用)
【第2问】该试题考点已过期,新版教材已变更,为保证试卷完整性,仅供考生参阅。 钢材、木材、竹、铝合金。
【第3问】该试题考点已过期,新版教材已变更,为保证试卷完整性,仅供考生参阅。 (1)底面模板承载力:G1+G2+G3+Q1 (2)支架立杆承载力:G1+ G2+G3+Q1+Q4 (3)支架结构整体稳定:G1+G2+G3+Q1+Q3、G1+G2+G3+Q1+Q4
【第4问】该试题考点已过期,新版教材已变更,为保证试卷完整性,仅供考生参阅。 指出错误之处即可: (1)顶层水平杆步距1800mm; (2)立杆底部没有垫板; (3)立杆间距1800mm; (4)可调托撑螺杆伸出长度680mm(不应超过650mm); (5)没有设置竖向斜撑杆。
案例二
【背景资料】
某新建住宅群体工程,包含10栋装配式高层住宅,5栋现浇框架小高层公寓,1栋社区活动中心及地下车库,总建筑面积31.5万m3,开发商通过邀请招标确定甲公司为总承包施工单位。开工前,项目部综合工程设计、合同条件、现场场地分区移交、陆续开工等因素编制本工程施工组织总设计,其中施工进度总计划在项目经理领导下编制,编制过程中,项目经理发现该计划编制说明中仅有编制的依据,未体现计划编制应考虑的其他要素,要求编制人员补充。社区活动中心开工后,由项目技术负责人组织,专业工程师根据施工进度总计划编制社区活动中心施工进度计划,内部评审中项目经理提出C、G、J工作由于特殊工艺共同租赁一台施工机具,在工作B、E按计划完成的前提下,考虑该机具租赁费用较高,尽量连续施工,要求对进度计划进行调整。经调整,最终形成既满足工期要求又经济可行的进度计划。社区活动中心调整后的部分方案计划如图2。

图2社区活动中心施工进度计划(部分)
公司对项目部进行月度生产检查时发现,因连续小雨影响,D工作实际进度较计划进度滞后2天,要求项目部在分析原因的基础上制定进度事后控制措施。本工程完成全部结构施工内容后,在主体结构验收前,项目部制定了结构实体检验专项方案,委托具有相应资质的检测单位在监理单位见证下对涉及混凝土结构安全的有代表性的部位进行钢筋保护层厚度等检测,检测项目全部合格。
【问题】
1、指出背景资料中施工进度计划编制中的不妥之处。施工进度总计划编制说明还包含哪些内容?
2、列出图2调整后有变化的逻辑关系(以工作节点表示如:①→②或②→③。计算调整后的总工期,列出关键线路(以工作名称表示如:A→D)。
3、按照施工进度事后控制要求,社区活动中心应采取的措施有哪些?
4、主体结构混凝土子分部包含哪些分项工程?结构实体检验还应包含哪些检测项目?
1-1、不妥一:“施工进度总计划在项目经理领导下编制”不妥;应该由甲公司(总承包施工单位)技术负责人负责编制。应该是施工总进度计划一般在总承包企业的总工程师领导下进行编制。
不妥二:社区活动中心开工后不妥;应该是社区活动中心开工前。
不妥三:专业工程师编制社区活动中心施工进度计划不妥;应该由项目经理组织,在项目技术负责人领导下进行编制。
1-2、编制说明的内容还包括:假设条件,指标说明,实施重点和难点,风险估计及应对措施等。
【第2问】
2-1、变化的逻辑关系:④→⑥;⑦→⑧ 2-2、4+3+4+3+2=16天,关键线路:B→E→G→J→P和B→E→G→K→P
【第3问】
当实际进度与计划进度发生偏差时,并没有影响实际进度,在分析原因的基础上应采取以下措施: (1)制订保证总工期不突破的对策措施; (2)调整相应的施工计划,并组织协调相应的配套设施和保障措施。
【第4问】
4-1、主体结构混凝土子分部的分项工程包括:模板,钢筋,混凝土,预应力,现浇结构,装配式结构。
4-2、混凝土结构实体检验项目还包括:混凝土强度、结构位置及尺寸偏差以及合同约定项目;必要时可检验其他项目。
案例三
【背景材料】
招标文件中内容“投标人为本省一级资质证书的企业,投标保证金 500.00万”,投标有效期从3月1日到4月15日。招标人对投标人提出的疑问,以书面形式回复对应的投标人。5月17日与中标人以1.7亿的中标价签订合同。
发包人负责采购的装配式混凝土构件,提前一个月运抵合同约定的施工现场,监理会同施工验收合格。 为了节约场地,承包人将构件集中堆放,由于堆放层数过多,导致下层部分构件出现裂缝。两个月后,发包人在承包人准备安装此构件时知悉此事。发包人要求施工方检验并赔偿损失,施工方以材料早到场为由,拒绝赔偿。
施工单位没有隐蔽验收直接施工,监理要求验收。
静压力桩,“先深后浅,先大后小,先长后短,先密后疏”。使用抱箍式方法接桩,接头高出地面0.8m。 存在部分二类桩。
【问题】
1、招投标过程中的不妥之处?
2、施工方拒绝赔偿的做法是否合理?并说明理由。施工方可获得赔偿几个月的材料保管费?
3、叠合板钢筋隐蔽验收检验项目有哪些?材料质量控制还有哪些环节?
4、施工顺序是否正确?静力桩接头不妥之处?桩基分几类?二类桩的特点?
不妥一:投标人为本省一级资质证书的企业。
理由:招标人以特定行政区域为中标条件,属于以不合理的条件限制、排斥潜在投标人或者投标人。
不妥二:投标保证金500.00万。
理由:投标保证金不得超过估算价格的2%,340万。
不妥三:5月17日与中标人以1.7亿的中标价签订合同。
理由:应在投标有效期内签订合同。
不妥四:招标人对投标人提出的疑问,以书面形式回复对应的投标人。
理由:招标人对投标人提出的疑问,应以书面形式回复所有投标人。
【第2问】
2-1、不合理。理由:发包人提供的材料提前进场承包人应接收并妥善保管。可索要相应的保管费。因承包人保管不善造成的损失由承包人承担。
2-2、施工方可获得赔偿1个月的材料保管费。
【第3问】
3-1、叠合板钢筋隐蔽验收检验项目:钢筋的牌号、规格、数量、位置、间距、箍筋弯钩的弯折角度及平直段长度;钢筋的连接方式、接头位置、接头数量、接头面积百分率、搭接长度、锚固方式及锚固长度;预埋件、预留管线的规格、数量、位置;
3-2、建筑材料的质量控制主要体现在以下四个环节:材料的采购、材料进场试验检验、过程保管和材料使用。
【第4问】
4-1、不正确。理由:静压力桩沉桩原则:“先深后浅,先大后小,先长后短,避免密集”。
4-2、接头高出地面0.8m不妥,理由:啮合式、卡扣式、抱箍式方法接桩时,接头宜高出地面1~1.5m。【该试题考点已过期,新版教材已变更,为保证试卷完整性,仅供考生参阅。】
4-3、桩基分为四类。
4-4、Ⅱ类桩:桩身有轻微缺陷,不影响桩身结构承载力的正常发挥。
案例四
【背景材料】
招标文件里清单钢筋分项综合单价是4433元,钢筋材料暂定价2500元/t,工程量 260t。结算时钢筋实际使用 250t,业主签字确认的钢筋材料单价是3500元/t,施工单位根据已确认的钢筋材料单价重新提交了钢筋分项的综合单价是6206.2元。钢筋损耗率2%。增值税及附加税率 11.5%
幕墙分包单位直接将竣工验收资料移交给建设单位。
土方挖运综合单价为25元/m³,基坑开挖过程中发现一个混凝土泄洪沟,外围尺寸25×4×4(m),壁厚均为 400mm,拆除综合单价为520元/m³。
【问题】
1.结算时钢筋的综合单价是多少,钢筋分项的结算价款是多少?
2.分包单位提交竣工验收资料的过程是否正确?竣工验收资料提交流程是什么?
3.列式分析各个因素对结算价款的影响。
4.施工单位就土方挖运可向建设单位索要工程款是多少?
1-1、结算时钢筋的综合单价:4433-2500+3500×(1+2%)=5503元/t。
1-2、钢筋分项的结算价款:5503×250×(1+11.5%)=1533961.25元。
【第2问】
2-1、不正确。
2-2、幕墙分包竣工验收资料应移交给总包单位。由总包移交给建设单位。
【第3问】
①310×970×(1+1.5%)=305210.50
②332×970×(1+1.5%)=326870.60
③332×980×(1+1.5%)=330240.40
④332×980×(1+2%)=331867.20
产量因素对成本的影响:②-①=326870.6-05210.5=21660.10元
单价因素对成本的影响:③-②=330240.40-326870.6=3369.80元
损耗率对成本的影响:④-③=331867.20-330240.40=1626.80元
【第4问】
施工单位就土方挖运可向建设单位索要工程款:[25×4×4-25×(4-0.4×2)×(4-0.4×2)]×(520-25)×(1+11.5%)=79477.2元
案例五
【背景材料】
某建筑地下2层,地上18层,框架结构,地下建筑面积0.4万㎡,地上建筑面积2.1万㎡。某施工单位中标后,由赵佑项目经理组织施工,施工至5层时,公司安全部叶军带队对项目进行了定期安全检查。检查过程依据标准JGJ59的相关内容进行,项目安全总监也全程参加,检测结果如表5-1。

公司安全部门在年初的安全检查规划中按照相关要求明确了对项目安全检查的主要形式,包括定期安全检查,开工、复工安全检查,季节性安全检查等。确保项目施工过程中全覆盖,进入夏季后,公司项目管理部对该项目工人宿舍和食堂进行了检查。个别宿舍内床铺均为2层,住有18人,设置有生活用品专用柜,窗户为封闭式窗户,防止他人进入,通道宽度为0.8米,食堂办理了卫生许可证,3名炊事人员均有健康证,上岗符合个人卫生相关规定。检查后项目管理部对工人宿舍的不足提出了整改要求,并限期达标。工程竣工后,根据合同要求相关部门对该工程进行绿色建筑评价,评价指标中“生活便利”该分值低,施工单位将评分项“出行无障碍”等4项指标进行了逐一分析以便得到改善,评价分值如表5-2

【问题】
1、写出表5-1中A-F所对应内容(如A: *万㎡),施工安全评定结论分几个等级,评价依据有哪些?
2、建筑工程施工安全检查还有哪些形式?
3、指出工人宿舍管理的不妥之处并改正。在炊事员上岗期间,从个人卫生角度还有哪些具体管理?
4、列式计算该工程绿色建筑总得分Q,该建筑属于哪个等级,还有哪些等级?生活便利评分还有什么指标?
参考解析:【第1问】 1-1、A:2.5;B:100;C:72;D:72/90*100=80;E:优良;F:赵佑 1-2、施工安全检查的评定结论分为优良、合格、不合格三个等级。 1-3、评价依据:1)优良:分项检查评分表无零分,汇总表得分值应在80分及以上;2)合格:分项检查评分表无零分,汇总表得分值应在80分以下,70分及以上;3)不合格:当汇总表得分值不足70分时;当有一分项检查评分表为零时。
【第2问】 日常巡查、专项检查、经常性安全检查、节假日安全检查、专业性安全检查和设备设施安全验收检查。
【第3问】(该小问考点已过期,新版教材已变更,为保证试卷完整性,仅供考生参阅。) 3-1、不妥之处一:个别宿舍住有18人;正确做法:每间宿舍住人不得超过16人 不妥之处二:通道宽度0.8m;正确做法:通道宽度不得小于0.9m 不妥之处三:窗户为封闭式窗户;正确做法:现场宿舍必须设置可开启式窗户。 3-2、上岗应穿戴洁净的工作服、工作帽和口罩,应保持个人卫生,不得穿工作服出食堂。
【第4问】 4-1、(400+90+80+75+80+80+100)/10=90.5分(其中提高与创新加分当得分大于100分时,应取为100分) 4-2、该建筑属于三星级,还有基本级、一星级、二星级 4-3、生活便利评分还有服务设施,智慧运行,运营管理。
👇👇下方扫码,免费获取一建近5年完整版真题👇👇




























