4.2.2 设备经济寿命的估算考点解析
4.2.2 设备经济寿命的估算介绍

在第N0年时,设备年平均使用成本达到最低值,则称设备从开始使用到其年平均使用成本最小(或年盈利最高)的使用年限N0为设备的经济寿命
1.设备经济寿命的确定原则
(1)使设备在经济寿命内平均每年净收益(纯利润)达到最大
(2)使设备在经济寿命一次性投资和各种经营费总和达到最小
2.设备经济寿命的确定方法
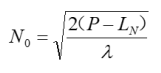
(1)公式法计算设备的经济寿命

N0-设备的经济寿命;λ-设备的低劣化值
(2)列表法计算设备的经济寿命
①年平均使用成本=平均年度运行成本+平均年度资产消耗成本
②年平均使用成本最小的时间为设备的经济寿命
1.01MB
下载
1.13MB
下载
1.19MB
下载
1.10MB
下载
1.30MB
下载
1.01MB
下载
211.82KB
下载
1004.25KB
下载
504.42KB
下载
676.82KB
下载
327.58KB
下载
348.11KB
下载
正确答案: B
答察解析: 由于设备劣化没有规律,也不是线性的,应用列表法来计算设备的经济寿命。如下表所示:
本题考核的是设备经济寿命的计算。设备经济寿命的计算见表4.2-2:

从上表可知,第8年设备的年平均使用成本为2326元,在自然寿命期内最小,所以该设备的经济寿命为8年。
正确答案: C
答察解析: 设备经济寿命是从开始使用到其年平均使用成本最小(或年盈利最高)的使用年限,即平均年资产消耗成本与平均年运行成本之和最小的年限。
该设备年平均使用成本分别为:1000元、650元、567元、550元、560元。故该设备的经济寿命为4年。
正确答案: A
答察解析: A选项正确,我们称设备从开始使用到其年平均使用成本最小(或年盈利最高)的使用年限N0为设备的经济寿命。
B选项正确,设备使用年限越长,所分摊的设备年资产消耗成本越少。
C选项错误,D选项正确,E选项错误,随着设备使用年限的增加,一方面需要更多的维修费维持原有功能;另一方面设备的操作成本及原材料、能源耗费也会增加,年运行时间、生产效率、质量将下降。
综上,本题应选ABD。

正确答案: A
答察解析: 经济寿命=√2(原值-残值)/低劣化值
拒绝盲目备考,加学习群领资料共同进步!

免费听
赵春晓
幽默风趣,思维导图总结精彩,考点层次分明。
主讲:安全生产管理,建设工程施工管理,建设工程项目管理
233网校一级建造师《项目管理》、二级建造师《施工管理》独家签约网课老师。某“双一流、211”高校副研究员、硕导,国家一级注册建造师、造价师。

免费听
王东兴
灵魂导师
主讲:建设工程法规及相关知识,建设工程法规及相关知识,安全生产法律法规
管理学硕士,国家注册一级建造师,多年从事教育行业,主攻工程经济、项目管理、企业管理方向。

免费听
董航
主讲:建设工程经济
曾任中建一局集团项目执行经理,多年现场经验,对施工现场生产管理、现场安全、施工技术非常熟悉,在一级建造师、注册安全工程师执业资格考试方面,有丰富的教学经验,更有其独特的培训风格,其地毯式培训教学,准确打击知识点,每年都会帮助广大学员顺利取证。

免费听
江凌俊
口诀一绝
主讲:目标控制(土木建筑),进度控制(水利),建筑施工安全,建筑工程管理与实务,建筑工程,建筑施工安全
曾在设计院任职,线上线下多年培训行业从业经历。

免费听
胡宗强
主讲:市政公用工程
从事建造师培训多年。经验丰富,命题方向把握准确。

免费听
黄明峰
封“神”级老师
主讲:消防安全技术综合能力,消防安全技术实务,消防安全技术综合能力,消防安全案例分析,安全生产技术基础,建设工程项目管理
主要从事一级消防工程师、中级安全工程师等考试培训。
专业智能,高效提分
章节练习
章节专项突破
进入做题
精选试题
省时高效精选
进入做题
模拟考场
海量题免费做
进入做题
考前点题
高效锁分72小时
进入做题
每日一练
每天进步一点点
进入做题
历年真题
真题实战演练
进入做题
易错题
精选高频易错题
进入做题
模考大赛
同场闯关做题
进入做题
APP刷题神器
模考大赛
考点打卡
做题闯关

扫描二维码 下载233网校APP刷题
微信扫码关注公众号
获取更多考试资料