2023年二级建造师考试《建设工程施工管理》真题及答案(6.3两天考三科)
第1题 单项选择题 (每题1分,共70题,共70分)
过期考点 1、根据《标准施工招标文件》,除合同另有约定外,发包人和承包人应共同编制的计划是( )。
A.施工准备工作计划
B.建设资金使用计划
C.施工现场治安管理计划
D.施工总进度计划
参考解析:选项A,全场性施工准备工作计划属于施工组织总设计的内容,单位工程施工准备工作计划属于单位工程施工组织设计的内容,分部(分项)工程施工准备工作计划属于分部(分项)工程施工组织设计的内容。
选项C,除合同另有约定外,发包人和承包人应在工程开工后,共同编制施工场地治安管理计划,并制定应对突发治安事件的紧急预案。
选项D,施工总进度计划属于施工组织总设计的内容,施工组织总设计由项目负责人主持编制。
(本题已过期,为保证试题的完整性和真实性,未进行修改或删除,答案仅供参考)
2、发包人与承包人签订一份金额为800万的承包合同,则承包人应交的履约保证金为( )
A.80万
B.40万
C.24万
D.16万
参考解析:根据《中华人民共和国招标投标法实施条例》第五十八条,招标文件要求中标人提交履约保证金的,中标人应当按照招标文件的要求提交。履约保证金不得超过中标合同金额的 10%。800*10%=80万。
3、在矩阵组织结构中,工作的指令来源会有( )个。
A.1
B.2
C.3
D.4
参考解析:矩阵中每一位成员同时受项目经理和职能部门经理的双重领导,如果处理不当,会造成矛盾,产生扯皮现象。
4、根据《标准施工招标文件》,监理人应在开工日期( )天前向承包人发出开工通知。
A.7
B.10
C.14
D.28
参考解析:监理人应在开工日期7天前向承包人发出开工通知。监理人在发出开工通知前应获得发包人同意。工期自监理人发出的开工通知中载明的开工日期起计算。
过期考点 5、建设工程施工发生安全事故时,施工单位落实“四不放过”原则的核心环节是( )
A.事故报告
B.事故处理
C.事故调查
D.事故登记
参考解析:“四不放过”的原则:
(1)事故原因没有查清不放过;
(2)责任人员没有受到处理不放过;
(3)整改措施没有落实不放过;
(4)有关人员没有受到教育不放过。
事故处理是落实"四不放过"原则的核心。当事故发生后,事故发生单位应当严格保护事故现场,做好标识 ,排除险情 ,采取有效措施抢救伤员和财产,防止事故蔓延扩大。
(本题已过期,为保证试题的完整性和真实性,未进行修改或删除,答案仅供参考)
过期考点 6、采用简易计税方法计算建筑业增值税应纳税额时,增值税征收率是( )
A.6%
B.9%
C.11%
D.3%
参考解析:当采用简易计税方法时,建筑业增值税征收率为3%。
当采用一般计税方法时,建筑业增值税税率为9%。
(本题已过期,为保证试题的完整性和真实性,未进行修改或删除,答案仅供参考)
过期考点 7、下列职业健康安全管理体系与环境管理体系的建立和运行中建立施工管理体系整体性描述属于( )。
A.管理手册
B.制度文件
C.程序文件
D.记录文件
参考解析:选项A,管理手册是对施工企业整个管理体系的整体性描述, 为体系的进一步展开以及后续程序文件的制定提供了框架要求和原则规定,是管理体系的纲领性文件。
选项B、D为干扰选项。
选项C,程序文件的一般格式可按照目的和适用范围、引用的标准及文件、术语和定义、职责、工作程序、报告和记录的格式以及相关文件等的顺序来编写。
(本题已过期,为保证试题的完整性和真实性,未进行修改或删除,答案仅供参考)
8、安全生产企业的第一负责人是( )
A.项目经理
B.施工企业主要负责人
C.项目技术负责人
D.总监理工程师
参考解析:企业主要负责人是本单位安全生产第一责任人,对本单位的安全生产工作全面负责。
9、发生事故直接经济损失4500万元,间接经济损失800万元。此事故为( )事故。
A.较大事故
B.一般事故
C.重大事故
D.特别重大事故
参考解析:事故一般分为以下等级:
(1)特别重大事故,是指造成30人以上死亡,或者100人以上重伤(包括急性工业中毒,下同),或者1亿元以上直接经济损失的事故。
(2)重大事故,是指造成10人以上30人以下死亡,或者50人以上100人以下重伤,或者5000万元以上1亿元以下直接经济损失的事故。
(3)较大事故,是指造成3人以上10人以下死亡, 或者10人以上50人以下重伤,或者1000万元以上5000万元以下直接经济损失的事故。
(4)一般事故,是指造成3人以下死亡,或者10人以下重伤,或者1000万元以下100万元以上直接经济损失的事故。
本等级划分所称的"以上"包括本数,所称的"以下"不包括本数。
事故等级的划分与间接经济损失无关,而题干中直接经济损失为4500万元,属于较大事故。
过期考点 10、下列施工质量控制工作中,属于事后质量控制的是( )。
A.检查施工质量缺陷
B.编制施工质量计划
C.设置质量控制点
D.监督质量活动过程
参考解析:A选项,属于事后质量控制。事后质量控制也称为事后质量把关,以使不合格的工序或最终产品(包括单位工程或整个工程项目)不流入下道工序、不进入市场。事后控制包括对质量活动结果的评价、认定和对质量偏差的纠正。控制的重点是发现施工质量方面的缺陷,并通过分析提出施工质量改进的措施,保持质量处于受控状态。
B、C选项,属于事前质量控制。事前质量控制即在正式施工前进行的事前主动质量控制,通过编制施工质量计划,明确质量目标,制定施工方案,设置质量管理点,落实质量责任,分析可能导致质量目标偏离的各种影响因素,针对这些影响因素制定有效的预防措施,防患于未然。
D选项,属于事中质量控制。事中质量控制即在施工质量形成过程中,对影响施工质量的各种因素进行全面的动态控制。事中控制首先是对质量活动的行为约束,其次是对质量活动过程和结果的监督控制。事中控制的关键是坚持质量标准,控制的重点是对工序质量、工作质量和质量控制点的控制。
(本题已过期,为保证试题的完整性和真实性,未进行修改或删除,答案仅供参考)
过期考点 11、下列施工评标内容中,属于技术评审内容的是( )。
A.报价计算
B.进度计划
C.业绩能力
D.优惠条件
参考解析:选项A属于初步评审的内容。
选项B属于技术评审的内容,详细评审是评标的核心,是对标书进行实质性审查,包括技术评审和商务评审。技术评审主要是对投标书的技术方案、技术措施、技术手段、技术装备、人员配备、组织结构、进度计划等的先进性、合理性、可靠性、安全性、经济性等进行分析评价。
选项C为干扰选项
选项D属于商务评审的主要内容。商务评审主要是对投标书的报价高低、报价构成、讨价方式、计算方法、支付条件、收费标准、价格调整、税费、保险及优惠条件等进行评审。
(本题已过期,为保证试题的完整性和真实性,未进行修改或删除,答案仅供参考)
过期考点 12、对项目管理机构进行成本管理绩效考核的主要依据是( )确定的各类指标。
A.成本控制
B.成本核算
C.成本分析
D.成本计划
参考解析:成本考核的依据包括成本计划、成本控制、成本核算和成本分析的资料。成本考核的主要依据是成本计划确定的各类指标。
(本题已过期,为保证试题的完整性和真实性,未进行修改或删除,答案仅供参考)
过期考点 13、施工项目开工前编制的测量控制方案应由( )批准后实施
A.项目经理
B.施工单位技术负责人
C.项目测量负责人
D.项目技术负责人
参考解析:项目开工前应编制测量控制方案,经项目技术负责人批准后实施。
(本题已过期,为保证试题的完整性和真实性,未进行修改或删除,答案仅供参考)
14、施工图纸会审应由( )组织。
A.施工单位
B.设计单位
C.建设单位
D.监理单位
参考解析:施工单位应组织项目管理团队成员熟悉工程设计文件,并参加建设单位主持召开的图纸会审和设计交底会议。
过期考点 15、建筑工程一切险和安装工程一切险属于( )保险
A.责任
B.信用
C.人身
D.财产
参考解析:选项A,B,属于财产保险。保险可以分为财产保险(包括财产损失保险、责任保险、信用保险等)和人身保险(包括人寿保险、健康保险、意外伤害保险等)两大类,而工程保险既涉及财产保险,也涉及人身保险。
选项C,意外伤害保险属于人身保险。
选项D,按照我国保险制度,工程险包括建筑工程一切险、安装工程一切险两类。在施工过程中如果发生保险责任事件使工程本体受到损害,已支付进度款部分的工程属于项目法人的财产,尚未获得支付但已完成部分的工程属于承包人的财产,因此要求投保人办理保险时应以双方名义共同投保。
(本题已过期,为保证试题的完整性和真实性,未进行修改或删除,答案仅供参考)
过期考点 16、为落实施工现场文明施工岗位责任制,应将文明施工工作考核列入( )
A.投资责任制
B.领导责任制
C.经济责任制
D.安全责任制
参考解析:健全文明施工的管理制度包括建立各级文明施工岗位责任制,将文明施工工作考核列入经济责任制,建立定期的检查制度,实行自检、互检、交接检制度,建立奖惩制度,开展文明施工立功竞赛 ,加强文明施工教育培训等。
(本题已过期,为保证试题的完整性和真实性,未进行修改或删除,答案仅供参考)
过期考点 17、下列结构图中,用来反映一个建设项目参建单位之间责权关系的是( )。
A.项目结构图
B.组织结构团
C.合同结构图
D.流程结构图
参考解析:

(本题已过期,为保证试题的完整性和真实性,未进行修改或删除,答案仅供参考)
过期考点 18、为了编制项目管理任务分工表,首先需要对( )的项目管理任务进行详细分解。
A.项目实施各阶段
B.项目各参与方
C.项目全寿命周期
D.项目实施各部门
参考解析:选项A,为了编制项目管理任务分工表,首先应对项目实施的各阶段的费用(投资或成本)控制、进度控制、质量控制、合同管理、信息管理和组织与协调等管理任务进行详细分解,在项目管理任务分解的基础上确定项目经理和费用(投资或成本)控制、进度控制、质量控制、合同管理、信息管理及组织与协调等主管工作部门或主管人员的工作任务。
(本题已过期,为保证试题的完整性和真实性,未进行修改或删除,答案仅供参考)
过期考点 19、按照施工组织总设计的编制程序,编制资源需求量计划后需进行的工作是( )。
A.编制施工准备工作计划
B.拟定施工方案
C.编制施工总进度计划
D.确定施工总体部署
参考解析:施工组织总设计的编制通常采用如下程序:
(1)收集和熟悉编制施工组织总设计所需的有关资料和图纸,进行项目特点和施工条件的调查研究;
(2)计算主要工种工程的工程量;
(3)确定施工的总体部署;
(4)拟订施工方案;
(5)编制施工总进度计划;
(6)编制资源需求量计划;
(7)编制施工准备工作计划;
(8)施工总平面图设计;
(9)计算主要技术经济指标。
(本题已过期,为保证试题的完整性和真实性,未进行修改或删除,答案仅供参考)
20、下列费用中,属于建筑安装工程费中规费的是( )。
A.社会保险费
B.职工福利费
C.劳动保护费
D.职工教育经费
参考解析:选项A属于规费,规费包括社会保险费(养老保险费、失业保险费、医疗保险费、生育保险费、工伤保险费)、住房公积金、工程排污费。
21、为了控制建筑工程地基施工质量需要检测试验的主要参数是( )
A.地基含水量
B.地基密实度
C.地基承载力
D.地基抗拔力
参考解析:

(本题已过期,为保证试题的完整性和真实性,未进行修改或删除,答案仅供参考)
过期考点 22、在施工合同履行期间发生的变更事项中,属于工程变更的是( )
A.质量要求变更
B.发包单位变更
C.合同价款变更
D.相关法规变更
参考解析:选项A,工程变更一般是指在工程施工过程中,根据合同约定对施工的程序、工程的内容、数量、质量要求及标准等做出的变更。
选项C,合同变更是指合同成立以后和履行完毕以前由双方当事人依法对合同的内容所进行的修改,包括合同价款、工程内容、工程的数量、质量要求和标准、实施程序等的一切改变都属于合同变更。
(本题已过期,为保证试题的完整性和真实性,未进行修改或删除,答案仅供参考)
过期考点 23、施工总承包投标时,投标人投标报价的直接依据是( )。
A.总体设计
B.方案设计
C.施工图设计
D.初步设计
参考解析:通过招标选择施工总承包单位时,一般都以施工图设计为投标报价的基础,投标人的投标报价较有依据。
(本题已过期,为保证试题的完整性和真实性,未进行修改或删除,答案仅供参考)
过期考点 24、根据《保障农名工工资支付条例》人工费用拨付周期不得超过( )。
A.2周
B.1个月
C.2个月
D.3个月
参考解析:人工费用拨付周期不得超过1个月。建设单位与施工总承包单位应当将工程施工合同保存备查。
(本题已过期,为保证试题的完整性和真实性,未进行修改或删除,答案仅供参考)
过期考点 25、因天然地基不均匀沉降,结构失稳而导致质量事故的,未归结的主要原因是( )。
A.施工失误
B.违规分包
C.不可抗力
D.勘察设计失误
参考解析:施工质量事故发生的原因大致有:非法承包,偷工减料;违背基本建设程序;勘察设计的失误;施工的失误;自然条件的影响。
选项A,施工失误主要是指施工管理人员及实际操作人员的思想、技术素质差,是造成施工质量事故的普遍原因。缺乏基本业务知识,不具备上岗的技术资质,不懂装懂瞎指挥,胡乱施工盲目干;施工管理混乱,责任缺失,施工组织、施工工艺技术措施不当;不按图施工,不遵守相关规范,违章作业;使用不合格的工程材料、半成品、构配件。
选项B属于非法承包,偷工减料。
选项C属于自然条件的影响。
选项D,勘察设计失误是指由于建设、勘察、设计、施工、监理等单位违反工程质量有关法律法规和工程建设标准,使工程产生结构安全、重要使用功能等方面的质量缺陷,造成人身伤亡或者重大经济损失的称为质量事故。勘察设计的失误在施工中显现出来,导致地基不匀沉降,结构失稳、开裂甚至倒塌。
(本题已过期,为保证试题的完整性和真实性,未进行修改或删除,答案仅供参考)
过期考点 26、在物资采购合同履行过程中,对设备包装所使用的集装箱,大型木箱通常采用的回收方式是( )。
A.折旧回收
B.流动回收
C.押金回收
D.委托回收
参考解析:包装物的回收办法可以采用如下两种形式之一:
(1)押金回收:适用于专用的包装物,如电缆卷筒、集装箱、大中型木箱等,
(2)折价回收:适用于可以再次利用的包装器材,如油漆桶、麻袋、玻璃瓶等。
(本题已过期,为保证试题的完整性和真实性,未进行修改或删除,答案仅供参考)
27、施工企业质量管理体系获准认证后,为保持质量管理体系的有效性,认证机构对企业质量管理体系实施监督管理的频率是( )。
A.每半年一次
B.每年一次
C.每三年一次
D.每五年一次
参考解析:认证机构需要对认证合格的企业质量管理体系维持情况进行监督性现场检查,包括定期和不定期的监督检查。定期监督检查通常是每年一次,不定期监督检查视需要临时安排。
28、工作N的最早开始时间是12,持续时间是5,N后有三项紧后工作,他们的最早开始时间分别为:20、21、23,N工作的自由时差( )。
A.0
B.1
C.2
D.3
参考解析:自由时差=紧后工作最早开始时间-本工作的最早完成时间,如果有多个紧后工作,取最小值。
min{20-5-12,21-5-12,23-5-12}=3
过期考点 29、工作流程图说法正确的是( )。
A.指令关系
B.逻辑关系
C.组织关系
D.合同关系
参考解析:选项A、C,组织结构模式可用组织结构图来描述,组织结构图是一个重要的组织工具,反映一个组织系统中各组成部门(组成元素)之间的组织关系(指令关系)。
选项B,工作流程图用图的形式反映一个组织系统中各项工作之间的逻辑关系。
选项D,合同结构图,反映一个建设项目参与单位之间的合同关系。
(本题已过期,为保证试题的完整性和真实性,未进行修改或删除,答案仅供参考)
过期考点 30、按照影响施工质量的4M1E的分类施工现场各施工单位之间的协调,属于影响质量的( )因素。
A.人员
B.环境
C.方法
D.机械
参考解析:选项A,人的因素这里讲的“人”,包括直接参与施工的决策者、管理者和作业者。人的因素影响主要是指上述人员个人的质量意识及质量活动能力对施工质量的形成造成的影响。我国实行的执业资格注册和作业人员持证上岗等制度,以及近年推行的加快培育新时代建筑产业工人队伍的政策措施,从本质上说,就是对从事施工活动的人的素质和能力进行必要的控制。
选项B,环境的因素主要包括施工现场自然环境因素、施工质量管理环境因素和施工作业环境因素。环境因素对工程质量的影响,具有复杂多变和不确定性的特点。 施工质量管理环境因素:主要指施工单位质量管理体系、质量管理制度和各参建施工单位之间的协调等因素。根据承发包的合同结构,理顺管理关系,建立统一的现场施工组织系统和质量管理的综合运行机制,确保工程项目质量保证体系处于良好的状态,创造良好的质量管理环境和氛围,是施工顺利进行、提高施工质量的保证。
选项C,方法的因素。施工方法包括施工技术方案、施工工艺、工法和施工技术措施等。
选项D,机械的因素,机械包括工程设备和施工机械设备。
(本题已过期,为保证试题的完整性和真实性,未进行修改或删除,答案仅供参考)
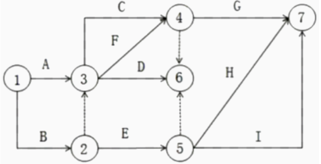
31、某工程双代号网络计划如下图所示,关键线路有( )条。

A.3
B.1
C.2
D.4
参考解析:线路上总的工作持续时间最长的线路为关键线路。
关键线路有3条,BG,BDK,CEK,计算工期为15。
过期考点 32、按对隐患的分析评价结果实行危险点分级治理或用安全检查表打分对隐患危险程度分级进行管理。这体现了安全事故隐患治理的( )原则。
A.单项隐患综合处理
B.重点处理
C.动态处理
D.冗余安全度处理
参考解析:选项A,单项隐患综合处理:人、机、料、法、环境五者任一环节产生安全隐患,都要从五者安全匹配的角度考虑,调整匹配的方法,提高匹配的可靠性。例如某工地发生触电事故,一方面要进行人的安全用电操作教育,同时现场也要设置漏电开关,对配电箱、用电电路进行防护改造,也要严禁非专业电工乱接乱拉电线。
选项B,重点处理原则:按对隐患的分析评价结果实行危险点分级治理,也可以用安全检查表打分对隐患危险程度分级。
选项C,动态处理原则:动态治理就是对生产过程进行动态随机安全化治理,生产过程中发现问题及时治理,既可以及时消除隐患,又可以避免小的隐患发展成大的隐患。
选项D,冗余安全度处理原则:为确保安全,在处理安全隐患时应考虑设置多道防线,即使有—两道防线无效,还有冗余的防线可以控制事故隐患。例如:道路上有一个坑,既要设防护栏及警示牌,又要设照明及夜间警示红灯。
(本题已过期,为保证试题的完整性和真实性,未进行修改或删除,答案仅供参考)
33、关于生产安全事故应急预案的说法,正确的是( )。
A.施工单位应急预案应由施工单位主要负责人签署公布
B.制应急预案的目的是预防和减少生产安全事故
C.生产规模小的施工单位可以只编制现场应急处置方案
D.施工单位应急预案的评审人员应具备正高级职称
参考解析:选项A正确,施工单位的应急预案经评审或者论证后,由本单位主要负责人签署公布,并及时发放到本单位有关部门、岗位和相关应急救援队伍。
选项B错误,编制应急预案的目的,是避免紧急情况发生时出现混乱,确保按照合理的响应流程采取适当的救援措施,预防和减少可能随之引发的职业健康安全和环境影响。
选项C错误,生产规模小、危险因素少的施工单位,综合应急预案和专项应急预案可以合并编写。
选项D错误,参加应急预案评审的人员应当包括应急预案涉及的政府部门工作人员和有关安全生产及应急管理方面的专家。
(本题BCD选项已过期,为保证试题的完整性和真实性,未进行修改或删除,答案仅供参考)
过期考点 34、为控制施工进度,施工单位可采取的经济措施是( )
A.分析论证承包模式
B.分析论证施工方案
C.进行进度控制风险分析
D.进行资源需求分析
参考解析:选项A属于管理措施;
选项B属于技术措施;
选项C属于管理措施;
选项D属于经济措施。
施工方进度控制的经济措施:
施工进度控制的经济措施涉及工程资金需求计划和加快施工进度的经济激励措施等。
(1)为确保进度目标的实现,应编制与进度计划相适应的资源需求计划(资源进度计划),包括资金需求计划和其他资源(人力和物力资源)需求计划,以反映工程施工的各时段所需要的资源。通过资源需求的分析,可发现所编制的进度计划实现的可能性,若资源条件不具备,则应调整进度计划。
(2)在编制工程成本计划时,应考虑加快工程进度所需要的资金,其中包括为实现施工进度目标要采取的经济激励措施所需要的费用。
(本题已过期,为保证试题的完整性和真实性,未进行修改或删除,答案仅供参考)
过期考点 35、对于较为简单的单位工程,施工组织设计通常只需编制施工方案,并应附以的文件是( )。
A.施工进度计划和质量管理体系文件
B.施工进度计划和施工平面图
C.质量管理体系和安全管理体系文件
D.安全管理体系文件和施工平面图
参考解析:对于简单的工程,一般只编制施工方案,并附以施工进度计划和施工平面图。
(本题已过期,为保证试题的完整性和真实性,未进行修改或删除,答案仅供参考)
36、关于施工总承包管理方和施工总承包方承担施工管理任务和责任的说法,正确的是( )。
A.施工总承包管理方和施工总承包方均不承担施工管理任务和责任
B.施工总承包管理方承担施工管理任务和责任,施工总承包方不承担
C.施工总承包管理方不承担施工管理任务和责任,施工总承包方承担
D.施工总承包管理方和施工总承包方均应承担施工管理任务和责任
参考解析:施工总承包管理单位与施工总承包单位承担的施工管理任务和责任相同。因此,由业主选定的分包单位都要经施工总承包管理单位认可,否则施工总承包管理单位难以承担施工总体管理及目标控制责任。
过期考点 37、施工企业及时购买、补充适用的行业标准,属于环境管理体系运行中的( )活动。
A.信息交流
B.执行控制程序
C.采取预防措施
D.文件管理
参考解析:选项A,信息交流。信息交流是确保各要素构成一个完整的、动态的、持续改进的体系和基础,应关注信息交流的内容和方式。
选项B,执行控制程序。体系的运行离不开程序文件的指导,程序文件及其相关的作业文件在施工企业内部都具有法定效力,必须严格执行,才能保证体系正确运行。
选项D,文件管理。包括对现有有效文件进行整理编号,方便查询索引。对适用的规范、规程等行业标准应及时购买补充,对适用的表格要及时发放。对在内容上有抵触的文件和过期的文件要及时作废并妥善处理。
(本题已过期,为保证试题的完整性和真实性,未进行修改或删除,答案仅供参考)
过期考点 38、施工现场设置安全防护网、现场围挡等所需费用,在工程量清单报价中应计入( )。
A.分部分项工程费
B.措施项目费
C.零星项目费
D.其他项目费
参考解析:选项A,分部分项工程费是指各专业工程的分部分项工程应予列支的各项费用。
选项B,措施项目费是指为完成建设工程施工,发生于该工程施工前和施工过程中的技术、生活、安全、环境保护等方面的费用。包括安全文明施工费、夜间施工增加费、二次搬运费、冬雨期施工增加费、已完工程及设备保护费、工程定位复测费、特殊地区施工增加费、大型机械进出场及安拆费。安全防护网和现场围挡属于安全文明施工费,所以是B选项措施项目费。
选项C,计日工是指在施工过程中,施工企业完成建设单位提出的施工图纸以外的零星项目或工作所需的费用。
选项D,其他项目费包括暂列金额、计日工、总承包服务费、暂估价等。
(本题已过期,为保证试题的完整性和真实性,未进行修改或删除,答案仅供参考)
过期考点 39、工程质量监督机构对施工项目进行第一次监督检查时,应重点检查的是( )。
A.工程施工准备情况
B.地基与基础工程质量
C.质量监督手续办理情况
D.参建各方主体的质量行为
参考解析:在工程项目开工前,监督机构首先在施工现场召开由参与工程建设各方代表参加的监督会议,公布监督方案,提出监督要求,并进行第一次的监督检查工作。检查的重点是参与工程建设各方主体的质量行为。
(本题已过期,为保证试题的完整性和真实性,未进行修改或删除,答案仅供参考)
过期考点 40、工程风险管理中,对于特定事件的风险等级应由( )间的关系矩阵确定。
A.风险量等级和风险收益等级
B.风险发生概率等级和风险损失等级
C.风险发生概率等级和风险收 益等级
D.风险量 等级和风险损失等级
参考解析:风险事件的风险等级由风险发生概率等级和风险损失等级间的关系矩阵确定。
(本题已过期,为保证试题的完整性和真实性,未进行修改或删除,答案仅供参考)
41、工程网络计划中,工作的最迟完成时间是其所有紧后工作的( ) 。
A.最早开始时间的最大值
B.最迟开始时间的最小值
C.最早开始时间的最小值
D.最迟开始时间的最大值
参考解析:早开始时间:各紧前工作的最早完成时间的最大值。
最早完成时间:最早开始时间+其持续时间。
最迟开始时间:最迟完成时间-其持续时间。
最迟完成时间:各紧后工作的最迟开始时间的最小值。
总时差:最迟开始时间-最早开始时间=最迟完成时间-最早完成时间
自由时差:紧后工作的最早开始时间-本工作的最早完成时间=紧后工作的最早开始时间-本工作的最早开始时间-本工作的持续时间
过期考点 42、下列施工企业新员工上岗前安全教育内容中,属于班组级安全教育内容的是( )。
A.企业劳动方针
B.企业安全生产规章制度
C.劳动防护用品性能说明
D.安全生产法律法规
参考解析:选项C正确,班组级安全教育由班组长组织实施,内容包括遵章守纪,岗位安全操作规程,岗位间工作衔接配合的安全生产事项,典型事故及发生事故后应采取的紧急措施,劳动防护用品(用具)的性能及正确使用方法等内容。
选项B、D错误,企业(公司)级安全教育由企业主管领导负责,企业职业健康安全管理部门会同有关部门组织实施,内容应包活安全生产法律、法规,通用安全技术、职业卫生和安全文化的基本知识,本企业安全生产规章制度及状况、劳动纪律和有关事故案例等内容。
(本题已过期,为保证试题的完整性和真实性,未进行修改或删除,答案仅供参考)
过期考点 43、建设单位提供测量控制原始坐标点、基准线后,为控制施工质量,施工单位需首先进行的工作是( )。
A.组织施工测量放线
B.复核原始坐标点和基准线
C.测设施工测量控制网
D.施测建筑物平面位置
参考解析:工程测量放线是建设工程产品由设计转化为实物的第一步。施工测量质量的好坏,直接决定工程的定位和标高是否正确,并且制约施工过程有关工序的质量。因此,施工单位必须对建设单位提供的原始坐标点、基准线和水准点等测量控制点线进行复核,并将复测结果上报监理工程师审核,批准后施工单位才能据此建立施工测量控制网,进行工程定位和标高基准的控制。
(本题已过期,为保证试题的完整性和真实性,未进行修改或删除,答案仅供参考)
过期考点 44、对于危险性较大的分部分项工程专项施工方案,负责组织专家论证的人员是( )。
A.施工单位技术负责人
B.施工项目技术负责人
C.项目总监理工程师
D.施工项目经理
参考解析:对于超过一定规模的危险性较大的分部分项工程,施工单位应组织召开专家论证会对专项施工方案进行论证。实行施工总承包的,由施工总承包单位组织召开专家论证会。
(本题已过期,为保证试题的完整性和真实性,未进行修改或删除,答案仅供参考)
45、工程监理人员在巡视检查施工现场安全生产情况时,发现有严重的安全事故隐患,需要施工单位采取措施予以处置的,项目监理机构应签发的监理文件是 ( )。
A.工程暂停令
B.监理报告
C.监理通知单
D.工作联系单
参考解析:工程施工有下列情形之一的,总监理工程师将会及时签发工程暂停令:
(1)建设单位要求暂停施工且工程需要暂停施工的;
(2)施工单位未经批准擅自施工或拒绝项目监理机构管理的;
(3)施工单位未按审查通过的工程设计文件施工的;
(4)施工单位未按批准的施工组织设计、(专项)施工方案施工或违反工程建设强制性标准的;
(5)施工存在重大质量、安全事故隐患或发生质量、安全事故的。
过期考点 46、按照建设工程项目总进度目标论证工作步骤,在编制各层级进度计划之后需要进行的工作是 ( )。
A.协调各层进度计划的关系
B.进行项目结构分析
C.确定里程碑事件
D.确定项目结构编码
参考解析:建设工程项目总进度目标论证的工作步骤如下:
(1)调查研究和收集资料;
(2)进行项目结构分析;
(3)进行进度计划系统的结构分析;
(4)确定项目的工作编码;
(5)编制各层(各级)进度计划;
(6)协调各层进度计划的关系和编制总进度计划;
(7)若所编制的总进度计划不符合项目的进度目标,则设法调整;
(8)若经过多次调整,进度目标无法实现,则报告项目决策者。
(本题已过期,为保证试题的完整性和真实性,未进行修改或删除,答案仅供参考)
47、采用横道图法编制施工进度计划的不足之处是( )。
A.不能确定计划中的关键工作
B.不能计算资源需求量
C.不能进行计划调整
D.不能反映工作持续时间
参考解析:施工进度计划采用横道图表示形式,具有编制简单、使用方便等优点,但也有不足:
①不能明确反映各项工作之间的相互联系、相互制约关系;
②不能反映影响工期的关键工作和关键线路;
③不能反映工作所具有的机动时间(时差);
④不能反映工程费用与工期之间的关系,因而不便于施工进度计划的优化。
特别是对于大型工程项目,因其工作构成及逻辑关系复杂、无法利用计算机来进行计算分析。因此,采用横道图进行施工进度管理,有一定的局限性。
过期考点 48、按照计划一实施一检查一处理(PDCA)循环原理,施工项目质量保证体系运行中的“行动方案交底”,属于 ( )环节的工作内容。
A.计划
B.检查
C.实施
D.处理
参考解析:选项A错误,计划是质量管理的首要环节,通过计划,确定质量管理的方针、目标,以及实现方针、目标的措施和行动方案。计划包括质量管理目标和质量保证工作安排。
选项B错误,检查就是对照计划,检查执行的情况和效果,及时发现计划执行过程中的偏差和问题。
选项C正确,实施包含两个环节,即计划行动方案的交底和按计划规定的方法及要求展开的施工作业技术活动。
选项D错误,处理是在检查的基础上,把成功的经验加以肯定,形成标准,以利于在今后的工作中以此作为处理的依据,巩固成果。同时采取措施,纠正计划执行中的偏差,克服缺点,改正错误,对于暂时未能解决的问题,可记录在案,留到下一次循环加以解决。
(本题已过期,为保证试题的完整性和真实性,未进行修改或删除,答案仅供参考)
过期考点 49、在进行建设工程项目总进度目标控制前,首先应进行的工作是( )。
A.分析和论证目标实现的必要性
B.明确目标实现的必要条件
C.明确目标实现的可行路径
D.分析和论证目标实现的可能性
参考解析:在进行建设工程项目总进度目标控制前,首先应分析和论证目标实现的可能性。若项目总进度目标不可能实现,则项目管理者应提出调整项目总进度目标的建议,提请项目决策者审议。
(本题已过期,为保证试题的完整性和真实性,未进行修改或删除,答案仅供参考)
过期考点 50、根据《建筑法》,工程监理人员发现工程设计不符合建筑工程质量标准或者合同约定的质量要求的,应当采取的行动是 ( )。
A.报告总监理工程师要求设计单位改正
B.通知设计单位修改工程设计文件
C.报告建设单位要求设计单位改正
D.要求施工单位按施工质量标准施工
参考解析:工程监理人员认为工程施工不符合工程设计要求、施工技术标准和合同约定的,有权要求建筑施工企业改正。工程监理人员发现工程设计不符合建筑工程质量标准或者合同约定的质量要求的,应当报告建设单位要求设计单位改正。
(本题已过期,为保证试题的完整性和真实性,未进行修改或删除,答案仅供参考)
过期考点 51、某工程施工合同约定,采用价格调整公式进行价格调整。施工中由于发包人采购的工程设备不能按期到货导致工期延误,根据《建设工程工程量清单计价规范》,对于合同约定竣工日期后继续施工的工程,现行价格指数应采用的是()。
A.合同约定竣工日期的价格指数
B.合同约定竣工日期与实际竣工日期价格指数中的较高者
C.实际竣工日期的价格指数
D.合同约定竣工日期与实际竣工日期价格指数中的较低者
参考解析:因承包人原因未按期竣工的,对合同约定的竣工日期后继续施工的工程,在使用价格调整公式时,应采用计划竣工日期与实际竣工日期的两个价格指数中较低的一个作为现行价格指数。
本题为发包人的原因,因此应选择较高的。
(本题已过期,为保证试题的完整性和真实性,未进行修改或删除,答案仅供参考)
过期考点 52、工程施工合同签订时,为了体现工程风险的公平分配,发包人与承包人约定的合同价款应以( )为依据。
A.当地当时的市场价格
B.监理人确认的价格
C.经过审计的同类工程价格
D.当地政府主管部门发布的造价指标
参考解析:承包商提供的工程(或服务)与业主支付的价格之间应体现公平,这种公平通常以当地当时的市场价格为依据。
(本题已过期,为保证试题的完整性和真实性,未进行修改或删除,答案仅供参考)
53、在双代号网络计划中,关键线路是指( )的线路。
A.自始至终全部由关键节点组成
B.自始至终不存在虚工作
C.自始至终时间间隔全部最小
D.自始至终全部由关键工作组成
参考解析:自始至终全部由关键工作组成的线路为关键线路,或线路上总的工作持续时间最长的线路为关键线路。
54、下列施工承包合同类型中,承包人需承担较大的物价上涨和工程量变化风险的是( )。
A.变动单价合同
B.变动总价合同
C.固定总价合同
D.固定单价合同
参考解析: 固定总价合同是指施工单位按其投标时建设单位接受的投标报价一笔包死施工任务的计价方式。在合同履行过程中,建设单位没有要求变更原定承包内容的,施工单位在完成承包任务后,不论其实际成本如何,均应按签约合同价获得工程款支付。采用固定总价合同形式,施工单位要考虑承担合同履行中的主要风险,因此在投标时会报较高价格。
55、根据《标准施工招标文件》,工程实际竣工日期应以( )日期为准。
A.工程接收证书颁发
B.组织工程竣工验收
C.竣工验收申请报告提交
D.工程验收证书签发
参考解析:除专用合同条款另有约定外,经验收合格工程的实际竣工日期, 以提交竣工验收申请报告的日期为准,并在工程接收证书中写明。
过期考点 56、国务院国资委发布的《关于开展对标世界一流管理提升行动的通知》要求,加强信息化管理,提升系统集成能力应以( ) 为主线。
A.网络安全管理体系建设
B.BIM技术应用
C.企业数字化智能化升级转型
D.企业业务流程再造
参考解析:针对信息化管理缺乏统筹规划、信息化与业务“两张皮”、信息系统互联互通不够、存在安全隐患等问题,结合“十四五”网络安全和信息化规划制定和落实以企业数字化智能化升级转型为主线,进一步强化顶层设计和统筹规划,充分发挥信息化驱动引领作用。
(本题已过期,为保证试题的完整性和真实性,未进行修改或删除,答案仅供参考)
57、根据《标准施工招标文件》,承包人在提交的最终结清申请单中,可提出索赔的是( )。
A.开工通知发出后发生的索赔
B.工程接收证书颁发后发生的索赔
C.竣工验收申请前发生的索赔
D.竣工付款证书颁发前发生的索赔
参考解析:根据《标准施工招标文件》中的通用合同条款,承包人提出索赔的期限如下:
(1)承包人按合同约定接受了竣工付款证书后,应被认为已无权再提出在合同工程接收证书颁发前所发生的任何索赔。
(2)承包人按合同约定提交的最终结清申请单中,只限于提出工程接收证书颁发后发生的索赔。提出索赔的期限自接受最终结清证书时终止。
过期考点 58、以同一性质的施工过程一工序作为研究对象,表示产品生产数量与时间消耗综合关系的定额是( )
A.预算定额
B.概算定额
C.费用定额
D.施工定额
参考解析:选项A错误,预算定额是以建筑物或构筑物各个分部分项工程为对象编制的定额。预算定额是以施工定额为基础综合扩大编制的,同时也是编制概算定额的基础。
选项B错误,概算定额是以扩大的分部分项工程为对象编制的。概算定额是编制扩大初步设计概算、确定建设项目投资额的依据。
选项D正确,施工定额是以同一性质的施工过程一工序,作为研究对象,表示生产产品数量与时间消耗综合关系编制的定额。
(本题已过期,为保证试题的完整性和真实性,未进行修改或删除,答案仅供参考)
过期考点 59、控制性施工进度计划的主要作用是( ) 。
A.确定施工作业的具体安排
B.确定不同时间段资源需求量
C.确定里程碑事件的进度目标
D.确定施工现场作业顺序
参考解析:控制性施工进度计划的主要作用如下:
(1)论证施工总进度目标;
(2)对施工总进度目标分解,确定里程碑事件的进度目标;
(3)是编制实施性进度计划的依据;
(4)是编制与该项目相关的其他各种进度计划的依据或参考依据(如子项目施工进度计划、单体工程施工进度计划。项目施工的年度施工计划、项目施工的季度施工计划等);
(5)是施工进度动态控制的依据。
(本题已过期,为保证试题的完整性和真实性,未进行修改或删除,答案仅供参考)
过期考点 60、随着项目管理理论的发展,项目经理在工程建设过程中,不仅要负责传统的项目管理工作,而且要实现的目标是( ) 。
A.项目交付价值
B.项目社会效益
C.项目投资效益
D.项目技术创新
参考解析:随着项目管理理论的发展,国际上对项目经理提出了一些新的要求:在工程建设过程中,项目经理不仅要负责控制项目的质量目标、费用目标和进度目标等相关的传统项目管理工作,很重要的是要关注项目建成后实现期望的经济效益和社会效益,实现项目交付价值。
(本题已过期,为保证试题的完整性和真实性,未进行修改或删除,答案仅供参考)
61、下列施工机械消耗时间中,应列入施工机械时间定额的是( )。
A.工人迟到引起的机械停工时间
B.多余工作时间
C.非施工本身造成的停工时间
D.不可避免的无负荷工作时间
参考解析:施工机械工作时间也可分为必需消耗的时间和损失时间两大类。
必需消耗的时间,包括有效工作时间、不可避免的无负荷工作时间和不可避免的中断工作时间三项。
过期考点 62、施工合同履行过程中,承包人有权向发包人提出索赔的情形是( ) 。
A.承包人因投标报价偏低导致费用超支
B.厂家疏忽导致承包人订购的机具型号错误
C.非承包人原因导致工程暂时停工
D.承包人工地仓库被盗导致损失
参考解析:索赔事件,又称为干扰事件,是指那些使实际情况与合同规定不符合,最终引起工期和费用变化的各类事件。在工程实施过程中,要不断地跟踪、监督索赔事件,就可以不断地发现索赔机会。通常,承包商可以提起索赔的事件有:
(1)发包人违反合同给承包人造成时间、费用的损失。
(2)因工程变更(含设计变更、发包人提出的工程变更、监理工程师提出的工程变更,以及承包人提出并经监理工程师批准的变更)造成的时间、费用损失。
(3)由于监理工程师对合同文件的歧义解释、技术资料不确切,或由于不可抗力导致施工条件的改变,造成了时间、费用的增加。
(4)发包人提出提前完成项目或缩短工期而造成承包人的费用增加。
(5)发包人延误支付期限造成承包人的损失。
(6)合同规定以外的项目进行检验,且检验合格,或非承包人的原因导致项目缺陷的修复所发生的损失或费用。
(7)非承包人的原因导致工程暂时停工。
(8)物价上涨,法规变化及其他。
(本题已过期,为保证试题的完整性和真实性,未进行修改或删除,答案仅供参考)
63、某预应力混凝土工程所用钢筋由发包人与承包人共同招标采购,施工招标文件中,该部分钢筋暂估价为5650元/吨。已知市场价格在5600 -5700元/吨之间波动。若甲投标人自行采购,采购价为5500元吨。根据《建设工程工程量清单计价规范》,甲投标人在投标报价时针对该部分钢筋应采用的单价是( )元吨。
A.5500
B.5600
C.5650
D.5700
参考解析:暂估价不得变动和更改。暂估价中的材料、工程设备必须按照暂估单价计入综合单价;专业工程暂估价必须按照招标工程量清单中列出的金额填写。题干表明招标文件中钢筋暂估价为5650元/吨,投标报价直接填入该价格,不得变动和更改。
过期考点 64、单价合同履行过程中,因设计变更引起工程量清单中的某分部分项工程量增加时,该分部分项工程量应按( )计量。
A.原招标工程量清单中的工程量
B.承包人履行合同义务完成的工程量
C.承人提交的已完工程量
D.招标文件中所附施工图纸工程量
参考解析:单价合同的计量:工程量必须以承包人完成合同工程应予计量的工程量确定。施工中进行工程量计量时,当发现招标工程量清单中出现缺项、工程量偏差,或因工程变更引起工程量增减时,应按承包人在履行合同义务中完成的工程量计量。
(本题已过期,为保证试题的完整性和真实性,未进行修改或删除,答案仅供参考)
过期考点 65、为便于获得支持和所需资源保证,施工企业建立职业健康安全管理体系时需要进行的工作是( )。
A.成立工作组
B.制定管理方案
C.开展初始状态评审
D.由最高管理者决策
参考解析:选项A错误,成立工作组,最高管理者或授权管理者代表成立工作小组负责建立体系。工作小组的成员要覆盖施工企业的主要职能部门,组长最好由管理者代表担任,以保证小组对人力、资金、信息的获取。
选项B错误,制定方针、目标、指标和管理方案。管理方案是实现目标、指标的行动方案。
选项C错误,初始状态评审是对施工企业过去和现在的职业健康安全与环境的信息、状态进行收集、调查分析、识别和获取现有的适用的法律法规和其他要求,进行危险源辨识和风险评价、环境因素识别和重要环境因素评价。评审的结果将作为确定职业健康安全与环境方针、制定管理方案、编制体系文件的基础。
选项D正确,领导决策:最高管理者亲自决策,以便获得各方面的支持和在体系建立过程中所需的资源保证。
(本题已过期,为保证试题的完整性和真实性,未进行修改或删除,答案仅供参考)
过期考点 66、工程施工招标投标中,必须按国家或省级、行业主管部门规定的标准计算,不得作为竞争性费用的是( )。
A.二次搬运费
B.夜间施工增加费
C.冬雨期施工增加费
D.工伤保险费
参考解析:规费和税金必须按国家或省级、行业建设主管部门规定的标准计算,不得作为竞争性费用。
规费包括社会保险费(养老保险费、失业保险费、医疗保险费、生育保险费、工伤保险费)和住房公积金。
(本题已过期,为保证试题的完整性和真实性,未进行修改或删除,答案仅供参考)
过期考点 67、某项目,建筑分部分项工程费26000万元,安装分部分项工程费14000万元, 装饰装修分部分项工程费12000万元,其额人工费占分部分项工程费的30%。 措施项目费以分部分项工程费为计费基础,费率合计10%。其他项目费合计1700万元。规费以分部分项工程定额人工费为计费基础,费率为10%,增值税税率为9%。以上费用均不含增值税进项税额,则据此编制的该项目最高投标限价为( )万元。
A.57200.0
B.58900.0
C.65901.4
D.60460.0
参考解析:分部分项工程费=26000+14000+12000=52000万元
措施项目费=52000×10%=5200万元
其他项目费=1700万元
规费=52000×30%×10%=1560万元
最高投标限价=(52000+5200+1700+1560)×(1+9%)=65901.4万元
(本题已过期,为保证试题的完整性和真实性,未进行修改或删除,答案仅供参考)
68、某工程施工到2022年12月底,已完工作预算费为470万元,已完工作实际费为540万元,计划工作预算费为530万元,采用赢得值法分析时,关于该工程此时费用偏差和进度偏差的说法,正确的是( )
A.费用超支10万元
B.费用超支70万元
C.进度提前60万元
D.进度拖后10万元
参考解析:费用偏差=已完工作预算费用-已完工作实际费用=470-540=-70万元,费用超支70万元
进度偏差=已完工作预算费用-拟完工作预算费用=470-530=-60万元,进度拖后60万元
69、某工程招标文件中清单工程量为2万m³,合同约定:土方工程综给单价为83元/m³,实际工程增加超过15%时,超过15%以上部分的工程量综合单价调整为80元/m³。经监理人确认的实际工程量为2.7万m³,该土方工程结算金额为( ) 万元。
A.216.0
B.222. 9
C.222.0
D.224.1
参考解析:结算金额=2×(1+15%)×83+[2.7-2×(1+15%)]×80=222.9万元
过期考点 70、工程项目目标动态控制过程中,纠正偏差可采取的组织措施是( )。
A.落实加快施工进度所需资金
B.调整进度管理的方法和手段
C.调整任务分工和管理职能分工
D.改进施工方法和更换施工机具
参考解析:项目目标动态控制的纠偏措施:
选项C正确,组织措施。分析由于组织的原因而影响项目目标实现的问题,并采取相应的措施,如调整项目组织结构、任务分工、管理职能分工、工作流程组织和项目管理班子人员等。
选项B错误,管理措施(包括合同措施)。分析由于管理的原因而影响项目目标实现的问题,并采取相应的措施,如调整进度管理的方法和手段,改变施工管理和强化合同管理等。
选项A错误,经济措施。分析由于经济的原因而影响项目目标实现的问题,并采取相应的措施,如落实加快工程施工进度所需的资金等。
选项D错误,技术措施。分析由于技术(包括设计和施工的技术)的原因而影响项目目标实现的问题,并采取相应的措施,如调整设计、改进施工方法和改变施工机具等。
(本题已过期,为保证试题的完整性和真实性,未进行修改或删除,答案仅供参考)
第2题 多项选择题 (每题2分,共25题,共50分)
71、与平行发承包模式相比,施工总承包模式的特点有( )。
A.业主合同管理工作量大
B.业主需要配备更多人员进行管理
C.业主协调工作量大
D.有利于业主控制工程质量
E.不利于缩短工程建设周期
参考解析:选项A错误,施工总承包模式业主只需与总承包单位签订合同,合同管理工作量小;
选项B错误,业主只需管理总承包单位,可以少委派业主代表;
选项C错误。业主协调工作量小;
选项D,E正确,工程质量与施工总承包单位负总责,符合他人监督有利于业主质量控制,但签订总承包合同,承包人积极性降低不利于缩短工期。
(本题已过期,为保证试题的完整性或真实性,未进行删除或修改,答案仅供参考)
72、施工项目管理机构可按( )编制施工成本计划
A.合同计价方式
B.成本组成
C.项目结构
D.工程实施阶段
E.资金来源
参考解析:项目管理机构应通过系统的成本策划,按成本组成、项目结构和工程实施阶段(进度)分别编制施工成本计划。
73、工程质量验收时,需要进行观感质量验收的质量控制对象有( )。
A.工序
B.分部工程
C.单位工程
D.检验批
E.分项工程
参考解析:分部工程质量验收合格应符合下列规定:
(1)所含项工程的质量均应验收合格;
(2)质量控制资料应完整、真实;
(3)有关安全、节能、环境保护和使用功能的检验结果应符合相应规定;
(4)观感质量应符合要求。
单位工程质量验收合格应符合下列规定:
(1)所含分部工程的质量均应验收合格;
(2)质量控制资料应完整、真实;
(3)所含分部工程有关安全、节能、环境保护和主要使用功能的检验资料应完整;
(4)主要使用功能的抽查结果应符合国家现行强制性工程建设标准规定;
(5)观感质量应符合要求。
74、混凝土结构加固处理的常用方法有( )。
A.增大截面加固法
B.表面密封加固法
C.外包角钢加固法
D.嵌缝密闭加固法
E.增设支点加固法
参考解析:混凝土结构常用加固的方法主要有:增大截面加固法、外包角钢加固法、粘钢加固法、增设支点加固法、增设剪力墙加固法和预应力加固法等。
75、施工成本分析可采用的基本方法有( )。
A.专家意见法
B.比较法
C.比率法
D.因素分析法
E.差额计算法
参考解析:成本分析的基本方法包括比较法、因素分析法、差额计算法、比率法等。
过期考点 76、施工组织设计的编制中,单位施工组织设计与分部(分项)工程施工组织设计内容中都需要编制的有( )。
A.施工总进度计划
B.施工方案的选择
C.施工机械的选择计划
D.施工资源需求计划
E.质量保证措施计划
参考解析:单位工程施工组织设计的主要内容如下:
(1)工程概况及施工特点分析;
(2)施工方案的选择;
(3)单位工程施工准备工作计划;
(4)单位工程施工进度计划;
(5)各项资源需求量计划;
(6)单位工程施工总平面图设计;
(7)技术组织措施、质量保证措施和安全施工措施;
(8)主要技术经济指标(工期、资源消耗的均衡性、机械设备的利用程度等)。
分部(分项)工程施工组织设计的主要内容如下:
(1)工程概况及施工特点分析;
(2)施工方法和施工机械的选择;
(3)分部(分项)工程的施工准备工作计划;
(4)分部(分项)工程的施工进度计划;
(5)各项资源需求量计划;
(6)技术组织措施、质量保证措施和安全施工措施;
(7)作业区施工平面布置图设计。
(本题已过期,为保证试题的完整性和真实性,未进行修改或删除,答案仅供参考)
77、下列选项中,施工现场文明施工中“五牌一图”指的是( )
A.工程概况牌
B.消防保卫牌
C.文明施工牌
D.安全生产牌
E.现场布置牌
参考解析:“五牌一图”,即工程概况牌、管理人员名单及监督电话牌、消防保卫牌、安全生产牌、文明施工牌和施工现场总平面图。
78、以下属于成本计划编制依据的有( )
A.合同文件
B.设计文件
C.施工组织设计
D.合同计价方式
E.价格信息
参考解析:成本计划编制依据应包括下列内容:( 1)合同文件;(2)项目管理实施规划;(3)相关设计文件;( 4)价格信息;(5)相关定额;(6)类似项目的成本资料。
79、下列属于特殊工种的是( )
A.高空架设作业人员
B.油漆工
C.起重设备操作人员
D.信号工
E.自卸卡车司机
参考解析:特殊工种范围:电工作业、金属焊接、起重机械作业(含起重机司机,司索工,信号指挥工,安装与维修工)、登高架设作业、锅炉作业(含水质化验)、压力容器作业、制冷作业、爆破作业、矿山通风作业、矿山排水作业、矿山安全检查作业、矿山提升运输作业、采掘(剥)作业、矿山救护作业、危险物品作业、经国家局批准的其它作业。
过期考点 80、采用综合单价法计价安装工程措施费包括( )。
A.混凝土模板费
B.脚手架工程费
C.垂直运输费
D.夜间施工增加费
E.冬雨期施工费
参考解析:这种方法与分部分项工程综合单价的计算方法一样,就是根据需要消耗的实物工程量与实物单价计算措施费,适用于可以计算工程量的措施项目,主要是指一些与工程实体有紧密联系的项目,如混凝土模板、脚手架、垂直运输等。
(本题已过期,为保证试题的完整性和真实性,未进行修改或删除,答案仅供参考)
81、下列网络图中,存在绘图错误的有( )。

A.存在双向箭头
B.工作代号重复
C.有多个起点节点
D.有循环回路
E.有多个终点节点
参考解析:选项E,存在两个终点节点⑥⑦。
选项B,一项工作应当只有唯一的一条箭线和相应的一对节点,节点③和④在图中表示两项工作。
过期考点 82、作为施工项目成本核算方法,与会计核算法相比,表格核算法的特点有 ( )
A.覆盖面小
B.科学严密
C.简便易懂
D.实用性较好
E.操作方便
参考解析:表格核算法是通过对施工项目内部各环节进行成本核算,以此为基础,核算单位和各部门定期采集信息,按照有关规定填制一系列的表格,完成数据比较、考核和简单的核算,形成工程项目成本的核算体系,作为支撑工程项目成本核算的平台。这种核算的优点是简便易懂,方便操作,实用性较好。缺点是难以实现较为科学严密的审核制度,精度不高,覆盖面较小。
(本题已过期,为保证试题的完整性和真实性,未进行修改或删除,答案仅供参考)
83、社会保险费包含( )。
A.工伤保险
B.医疗保险
C.失业保险
D.养老保险
E.意外伤害险
参考解析:社会保险简称社保,按社会保险法的规定,社会保险包括基本养老保险、基本医疗保险、工伤保险、失业保险、生育保险等。
84、根据《标准施工招标文件》,下列工作中,属于发包人责任和义务的有( )。
A.提供测量基准资料并对数据进行解释
B.负责施工现场的环境保护工作
C.编制施工环保措施计划
D.办理取得出入施工场地的临时道路通行权
E.组织设计单位进行设计交底
参考解析:发包人的主要义务:
( 1)发出开工通知
发包人应委托监理人按合同约定向承包人发出开工通知。
(2)提供施工场地
发包人应按专用合同条款约定向承包人提供施工场地,以及施工场地内地下管线和地下设施等有关资料,并保证资料的真实、准确、完整。
(3)协助承包人办理证件和批件
发包人应协助承包人办理法律规定的有关施工证件和批件。
( 4)组织设计交底
发包人应根据合同进度计划,组织设计单位向承包人进行设计交底。
(5 )支付合同价款
发包人应按合同约定向承包人及时支付合同价款。
( 6)组织竣工验收
发包人应按合同约定及时组织竣工验收。
过期考点 85、工程施工评标中,在详细评审环节需要评审的内容有( )。
A.技术措施的可靠性
B.进度计划的先进性
C.投标担保的有效性
D.投标文件的完整性
E.组织结构的合理性
参考解析:详细评审是评标的核心,是对标书进行实质性审查,包括技术评审和商务评审。技术评审主要是对投标书的技术方案、技术措施、技术手段、技术装备、人员配备、组织结构、进度计划等的先进性、合理性、可靠性、安全性、经济性等进行分析评价。
选项C、D属于初步评审的主要内容。
(本题已过期,为保证试题的完整性和真实性,未进行修改或删除,答案仅供参考)
86、根据《建设工程施工专业分包合同(示范文本)》,下列工作中,属于承包人(总承包单位)责任和义务的有( )。
A.提供总包合同相关内容供分包人查阅
B.向分包人提供具备施工条件的施工场地
C.组织分包人参加由发包人组织的图纸会审
D.要求分包人及时提供分包工程进度统计报表
E.为分包人所分包的工作提供详细施工组织设计
参考解析:承包人的义务。承包人应提供总包合同(有关承包工程的价格内容除外)供分包人查阅。承包人应完成的工作通常有:
①向分包人提供根据总包合同由发包人办理的与分包工程相关的各种证件、批件、各种相关资料,向分包人提供具备施工条件的施工场地;
②组织分包人参加发包人组织的图纸会审,向分包人进行设计图纸交底;
③提供合同专用条款中约定的设备和设施,并承担因此发生的费用;
④ 随时为分包人提供确保分包工程的施工所要求的施工场地和通道等,满足施工运输的需要,保证施工期间的畅通;
⑤负责整个施工场地的管理工作,协调分包人与同一施工场地的其他分包人之间的交叉配合,确保分包人按照经批准的施工组织设计进行施工;
⑥为运至施工场地内用于分包工程的材料和待安装设备办理保险。发包人已经办理的保险视为承包人办理的保险。
选项D、E属于分包人的工作。
过期考点 87、下列工程项目施工风险中,属于组织风险的有( )。
A.人身安全控制计划不周
B.施工机械操作人员经验不足
C.存在火灾事故隐患
D.安全管理人员知识欠缺
E.工程施工方案不当
参考解析:选项A错误,属于经济与管理风险。
选项B、D正确,属于组织风险。
选项C错误,属于工程环境风险。
选项E错误,属于技术风险。
组织风险,如:
(1)承包商管理人员和一般技工的知识、经验和能力;
(2)施工机械操作人员的知识、经验和能力;
(3)损失控制和安全管理人员的知识、经验和能力等。
(本题已过期,为保证试题的完整性和真实性,未进行修改或删除,答案仅供参考)
过期考点 88、实施性施工进度计划的主要作用有( )。
A.进行施工作业具体安排
B.分析里程碑事件进度目标
C.确定月、旬资金需求
D.分解施工总进度目标
E.确定月、旬施工机械需求
参考解析:实施性施工进度计划的主要作用如下:
(1)确定施工作业的具体安排;
(2)确定(或据此可计算)一个月度或旬的人工需求(工种和相应的数量);
(3)确定(或据此可计算)一个月度或旬的施工机械的需求(机械名称和数量);
(4)确定(或据此可计算)一个月度或旬的建筑材料(包括成品、半成品和辅助材料等)的需求(建筑材料的名称和数量);
(5)确定(或据此可计算)一个月度或旬的资金的需求等。
(本题已过期,为保证试题的完整性和真实性,未进行修改或删除,答案仅供参考)
过期考点 89、分析比较施工成本计划值和实际值时,可比较的内容有( )。
A.最高投标限价与工程投标价比较
B.工程投标价与工程合同价比较
C.工程合同价与施工成本规划中相应成本项比较
D.工程合同价与实际施工成本中相应成本项比较
E.施工成本规划中相应成本项与实际施工成本比较
参考解析:施工成本的计划值和实际值的比较包括:
①工程投标价与合同价中的相应成本项的比较。
②工程合同价与施工成本规划中的相应成本项的比较。
③施工成本规划与实际施工成本中的相应成本项的比较。
④工程合同价与实际施工成本中的相应成本项的比较。
⑤工程合同价与工程款支付中的相应成本项的比较等。
(本题已过期,为保证试题的完整性和真实性,未进行修改或删除,答案仅供参考)
过期考点 90、施工企业应为职工缴纳的法定强制性保险有( ) 。
A.工伤保险
B.失业保险
C.基本医疗保险
D.基本养老保险
E.意外伤害保险
参考解析:规费是指按国家法律、法规规定,由省级政府和省级有关权力部门规定必须缴纳或计取的费用。包括:社会保险费
(1)养老保险费:是指企业按照规定标准为职工缴纳的基本养老保险费
(2)失业保险费:是指企业按照规定标准为职工缴纳的失业保险费。
(3)医疗保险费:是指企业按照规定标准为职工缴纳的基本医疗保险费
(4)生育保险费:是指企业按照规定标准为职工缴纳的生育保险费。
(5)工伤保险费:是指企业按照规定标准为职工缴纳的工伤保险费。
(本题已过期,为保证试题的完整性和真实性,未进行修改或删除,答案仅供参考)
过期考点 91、根据建筑工程质量终身责任的相关规定,建筑工程施工项目负责人将被追究质量终身责任的情形有( )。
A.发生施工质量事故
B.施工原因造成尚在设计使用年限内的建筑工程不能正常使用
C.施工单位不服从项目监理机构的管理
D.因严重施工质量问题引起群体性事件并造成恶劣社会影响
E.不可抗力原因造成建筑工程提前报废
参考解析:符合下列情形之一的,县级以上地方人民政府住房和城乡建设主管部门应当依法追究项目负责人的质量终身责任:
①发生工程质量事故;
②发生投诉、举报、群体性事件、媒体报道并造成恶劣社会影响的严重工程质量问题;
③由于勘察设计或施工原因造成尚在设计使用年限内的建筑工程不能正常使用;
④存在其他需追究责任的违法违规行为。
(本题已过期,为保证试题的完整性和真实性,未进行修改或删除,答案仅供参考)
过期考点 92、下列工程施工质量保证手段和措施中,属于组织保证体系内容的有( )。
A.建立健全各种规章制度
B.按照规范进行施工
C.按照规范标准进行检查验收
D.落实建筑工人实名制管理
E.建立质量信息系统
参考解析:组织保证体系的内容主要包括:成立质量管理小组(QC小组) ,健全各种规章制度,明确规定各职能部门主管人员和参与施工人员在保证和提高工程质量中所承担的任务、职责和权限,建立质量信息系统等。
过期考点 93、根据《建设工程监理规范》,监理实施细则的编制依据有( )。
A.工程设计文件
B.工程承包合同
C.施工组织设计
D.质量管理体系文件
E.专项施工方案
参考解析:监理实施细则编制依据:
(1)监理规划;
(2)相关标准、工程设计文件;
(3)施工组织设计、专项施工方案。
(本题已过期,为保证试题的完整性和真实性,未进行修改或删除,答案仅供参考)
94、根据《标准施工招标文件》,下列导致承包人费用增加和工期延误的索赔事件中,承包人能同时获得费用、工期和利润补偿的有( )。
A.遇不可预见的不利物质条件
B.发包人提供图纸延误
C.监理人对隐蔽工程重新检验且结果合格
D.异常恶劣的气候条件
E.不可抗力
参考解析:A选项,获得工期和费用。
B选项,获得工期、费用、利润。
C选项,获得工期、费用、利润。
D选项,获得工期。
E选项,获得工期和部分费用。
过期考点 95、下列工程文件资料中,属于工程施工技术管理资料的有( )。
A.图纸会审记录文件
B.设计变更文件
C.施工试验记录
D.工程开工报告相关资料
E.工程测量记录文件
参考解析:(本题已过期,为保证试题的完整性和真实性,未进行修改或删除,答案仅供参考)
工程施工技术管理资料是建设工程施工全过程中的真实记录,是施工各阶段客观产生的施工技术文件。主要内容如下:
1)图纸会审记录文件
2)工程开工报告相关资料(开工报审表、开工报告)
3)技术、安全交底记录文件
4)施工组织设计(项目管理规划)文件
5)施工日志记录文件
6)设计变更文件
7)工程洽商记录文件
8)工程测量记录文件
9)施工记录文件
10)工程质量事故记录文件
11) 工程竣工文件
选项C属于工程质量控制资料。


