11.在两个变量的样本散点图中,其样本点散布在从()的区域,则称这两
个变量具有正相关关系。
A.左上角到右下角
B.左上角到右上角
C.左下角到右上角
D.左下角到右下角
答案:C
试题解析:Y值随着X上升而上升。
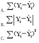
12.以Y表示实际观测值,表示回归估计值,则普通最小二乘法估计参数的
准则是使()最小。


答案:C
试题解析:最小二乘法的目的在于使估计值与观测值之间的偏差最小化,常用的
偏差度量指标为残差平方和。
13.在线性回归模型中,可决系数R
2的取值范围是()。

答案:C
试题解析:线性回归模型中,可决系数的取值范围为0到1。
14.经检验后,若多元回归模型中的一个解释变量是另一个解释变量的0.95倍,
则该模型中存在()。
A.多重共线性
B.异方差
C.自相关
D.正态性
答案:A
试题解析:多元线性回归模型中,解释变量之间不应存在相关关系或函数关系,
如果出现则容易产生多重共线性。
15.根据线性回归模型的基本假定,随机误差项应是随机变量,且满足()。
A.自相关性
B.异方差性
C.与被解释变量不相关
D.与解释变量不相关
答案:D
试题解析:线性回归模型的基本假设条件之一是随机误差项与解释变量不相关。
16.某日,国内橡胶期货出现如下表的价差结构,表现为远月高升水。在不考虑
其他因素的情况下,较好的策略是()。

A.买入橡胶09合约,卖出05合约
B.卖出橡胶09合约,买入05合约
C.单边买入橡胶05合约
D.单边卖出橡胶05合约
答案:B
试题解析:近月合约与远月合约的价差为-1226,大幅低于价差均值1630,所以
应该做正向套利,即买入近月合约的同时卖出远月合约。
17.如果存在玉米期权市场,在点价交易过程中,粮食供应商的合理操作是
()。
A.期货空头套保,即买入标的为玉米期货合约的虚值看涨期权
B.期货多头套保,即买入标的为玉米期货合约的虚值看涨期权
C.期货空头套保,即卖出标的为玉米期货合约的虚值看涨期权
D.期货多头套保,即卖出标的为玉米期货合约的虚值看涨期权
答案:A
试题解析:作为卖出玉米而又是基差买方的粮食供应商来说,在点价过程中,为
防止期价大涨导致亏损,而又要保住期价下跌时的获利机会,宜采取买入看涨期
权的策略。再从成本角度考虑,虚值期权的权利金较低。
18.某机构投资者拥有的股票组合中,金融类股、地产类股、信息类股和医药类
股分别占比36%、24%、18%和22%,β系数分别为0.8、1.6、2.1和2.5。其投
资组合的β系数为()。
A.1.3
B.1.6
C.1.8
D.2.2
答案:B
试题解析:β=0.8×36%+1.6×24%+2.1×18%+2.5×22%=1.6
19.当前,中证500指数涨幅较上证50指数大,银行间市场的同业拆借利率和
回购利率逐步走高。则可以推测当前市场状况是()。
A.经济复苏、货币政策宽松
B.经济繁荣、货币政策从紧
C.经济衰退、货币政策宽松
D.经济滞涨、货币政策从紧
答案:B
试题解析:经济繁荣时,市场风险偏好强,喜欢成长型股票;利率上升代表货币
政策从紧。
20.某机构投资者持有价值为2000万元、修正久期为6.5的债券组合,该机构
将剩余债券组合的修正久期调至7.5。若国债期货合约市值为94万元,修正久
期为4.2,该机构通过国债期货合约实现组合调整,则其合理操作是()。
(不考虑交易成本及保证金影响)
参考公式:组合久期初始国债组合的修正久期初始国债组合的市场价值
期货有效久期期货头寸对等的资产组合初始国债组合的市场价值
A.卖出5手国债期货
B.卖出10手国债期货
C.买入5手国债期货
D.买入10手国债期货
答案:C
试题解析:为增加组合久期,需要买入国债期货,根据计算公式买入手数=2000
×(7.5-6.5)/(94×4.2)=5.07,答案为C。

























