五、股票投资
(一)股票的价值
投资于股票预期获得的未来现金流量的现值,即为股票的价值或内在价值、理论价格。
1.股票估价基本模型
从理论上说,如果股东不中途转让股票,股票投资没有到期日,投资于股票所得到的未来现金流量是各期的股利。假定某股票未来各期股利为Dt(t为期数),RS为估价所采用的贴现率即所期望的最低收益率,股票价值的估价模型为:
【例6-22】假定某投资者准备购买A公司的股票,要求达到12%的收益率,该公司今年每股股利0.8元,预计未来股利会以9%的速度增长,则A股票的价值为:

(3)阶段性成长模式
许多公司的盈余在某一期间有一个超常的增长率,这段期间的增长率g可能大于RS,而后阶段公司的盈余固定不变或正常增长。对于阶段性成长的股票,需要分段计算,才能确定股票的价值。
【例6-23】假定某投资者准备购买B公司的股票,要求达到12%的收益率,该公司今年每股股利0.6元,预计B公司未来3年以15%的速度高速增长,而后以9%的速度转入正常的增长。则B股票的价值分两段计算:

(二)股票投资的收益率
1.股票收益的来源
股票投资的收益也由股利收益、股利再投资收益、转让价差收益三部分构成。
2.股票的内部收益率
在固定成长股票估价模型中,用股票的购买价格P0代替内在价值VS,有:

从上式可以看出,股票投资内部收益率由两部分构成:一部分是预期股利收益率D1/P0 ,另一部分是股利增长率g 。
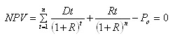
如果投资者不打算长期持有股票,而将股票转让出去,则股票投资的收益由股利收益和资本利得(转让价差收益)构成。这时,股票投资收益率是使股票投资净现值为零时的贴现率,计算公式为:

【例6-18】某投资者2006年5月年购入A公司股票1000股,每股购价3.2元;A公司2007年、2008年、2009年分别派分现金股利每股0.25元、0.32元、0.45元;该投资者2009年5月以每股3.5元的价格售出该股票,则A股票投资收益率的计算为:
◇ 233网校提醒广大考生可依据考试大纲,有效进行会计职称复习!另外,网校2013年中级会计职称考试辅导高清课程已经开通,学员可以选报VIP班、冲刺班、精讲班、习题班等个性化辅导班次,通过针对性地讲解、训练、答疑、模考,对学习过程进行全程跟踪、分析、指导,帮助考生全面提升备考效果!充分了解课程>>

