在你坚持不下去的时候,告诉自己昨天下了雨,今天刮了风,明天太阳就出来了。现在,233网校为大家提供整理了2020年中级经济师《经济基础》第二十五章几种基本概率抽样方法知识点, 快来跟着学霸君一起学习吧!同时,233网校推出了中级经济师备考干货下载,内含历年真题,公式大全,考点总结等等,点击此处即可快速领取!
2020年中级《经济基础》第二十五章:抽样调查
2020年中级经济师经济基础考点:估计量和样本量
(一)估计量的性质
无偏性 | 对于不放回简单随机抽样,所有可能的样本均值取值的平均值总是等于总体均值。 |
有效性 | 在同一抽样方案下,对某一总体参数θ ,如果有两个无偏估计量θ1和θ2,由于样本的随机性,θ1的可能样本取值比θ2更密集在总体参数真值θ附近,认为θ1比θ2更有效。 |
一致性 | 随着样本量的增大,估计量的值如果稳定于总体参数的真值,这个估计量就有一致性。 |
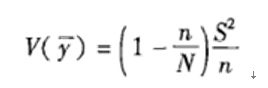
(二)抽样误差的估计
1.均值估计量的方差:
2.抽样误差影响因素
(1)总体分布:总体单位值之间差异越大,总体方差越大,抽样误差就越大;
(2)样本量:在其他条件相同情况下,样本量越大,抽样误差就越小;
(3)抽样方式和估计量的选择。
(三)样本量的计算
1.影响因素

2.计算公式

【单选题】所有可能样本的估计量取值的均值等于总体均值,该估计具有( )。(2018年真题)
【加“ks233wx2”进微信群 | QQ群:720848093】
考生可通过下载233网校APP——中级经济师——题库——做题,包括章节练习、每日一练、模拟试卷、历年真题、易错题等,通过手机随时随地刷题。【去做题>>】






























