最小二乘法考点解析
最小二乘法介绍
1、估计回归方程:

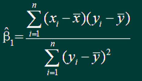
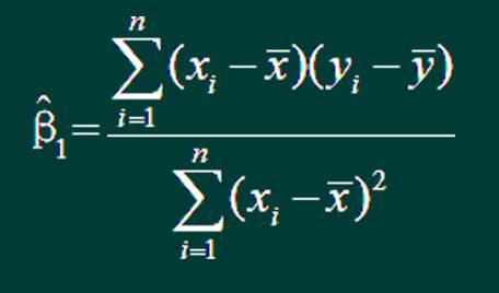
2、原理:最小二乘法就是使得因变量的观测值yi与估计值ŷi,之间的离差(又称残差)平方和最小来估计参数β0,和 β1,的方法。
根据最小二乘法,使得
最小,可得:

![]()
266.51KB
下载
260.02KB
下载
277.29KB
下载
294.13KB
下载
238.08KB
下载
273.65KB
下载
233.89KB
下载
346.95KB
下载
324.80KB
下载
382.40KB
下载
309.08KB
下载
567.76KB
下载正确答案: A
答察解析: 本题考查y对x的一元线性回归方程。β0表示直线在Y轴上的截距,β1为直线的斜率。选项CD的说法反了。
正确答案: D
答察解析: 本题考查一元线性回归方程模型参数的确定方法。
选项D正确;一元线性回归方程模型参数的确定采用的方法是最小二乘法。
选项ABC错误;二次平均、加权平均 和 斯特基方法 通常不用于回归模型的估计。
正确答案: D
答察解析: 此题考查最小二乘法。最小二乘法就是使得因变量观测值与估计值之间的离差平方和最小来估计参数β0和β1的方法。
拒绝盲目备考,加学习群领资料共同进步!

免费听
槐俊升
应试性强,讲的细,效果好
主讲:中级经济基础知识
经济师大神级培训讲师,学员口中YYDS的经济师老师,母题班研究者,培训经验十余年

免费听
葛广宇
记忆魔术师
主讲:初级会计实务,中级财务管理,财务成本管理,中级经济基础知识,初级经济基础知识
副教授,管理学(会计学方向)博士在读、注册会计师,会计师职称。擅长以案例、关键词导向式的教学方法,归纳总结关联考点考点,讲解细致,适合零基础考生,学员称其为“记忆魔术师”。

免费听
郑伟
经济学男神
主讲:高级经济实务工商管理,中级经济基础知识,中级工商管理
德国科隆大学经济学博士,就职于北京外国语大学国际教育学院,双语经济学教师。本人学识渊博,底蕴深厚。课堂富有激情,能带动学员学习思维,幽默风趣的大叔型魅力男神。

免费听
王鑫鑫
资深人力资源管理专家
主讲:中级人力资源管理
山东大学MBA,多年从事人力资源管理师一级培训,丰富专业实践教学经验。

免费听
陈肖
主讲:中级人力资源管理
中国人民大学硕士、中级经济师、曾就职于500强企业从事管理相关工作。

免费听
李轻舟
主讲:中级建筑与房地产经济
中国建设教育协会专家库专家,高级工程师,全国一级建造师,全国监理工程师,注册执业资格考试老师。
专业智能,高效提分
章节练习
章节专项突破
进入做题
精选试题
省时高效精选
进入做题
模拟考场
海量题免费做
进入做题
考前点题
高效锁分72小时
进入做题
每日一练
每天进步一点点
进入做题
历年真题
真题实战演练
进入做题
易错题
精选高频易错题
进入做题
模考大赛
同场闯关做题
进入做题
APP刷题神器
模考大赛
考点打卡
做题闯关

扫描二维码 下载233网校APP刷题
微信扫码关注公众号
获取更多考试资料