
在《安全生产管理》第六节关于重大危险源的评价及分级方法中,校正系数β是一个关键参数,用于计算重大危险源分级指标R。对于未在表2-1中列举的危险化学品,其校正系数β的取值方法有所不同。
具体步骤如下:
识别危险化学品类别:首先需要确定该危险化学品的类别。例如,是易燃液体、易燃气体、毒性气体等。
查找对应表格:根据危险化学品的类别,查找相应的校正系数β取值表。对于未在表2-1中列举的危险化学品,应参考表2-2。
确定校正系数β:根据表2-2中的规定,确定该危险化学品的校正系数β。例如,某些高毒性的气体如氰化氢和二氧化氮的校正系数β为10。
示例:假设某种未在表2-1中列举的危险化学品属于高毒性气体,且其实际存在量为5吨,临界量为10吨,那么其校正系数β可以通过表2-2查得为10。此时,计算公式为:
R = β * (Q / Q,临界) = 10 * (5 / 10) = 5
通过这个计算结果,可以进一步确定该重大危险源的级别。如果R值为5,则根据表2-4,该重大危险源被划分为三级。
掌握未在表2-1中列举的危险化学品的校正系数β的取值方法,有助于企业更准确地进行重大危险源的评价和分级,从而制定有效的安全管理措施。
科目:安全生产管理
考点:重大危险源的评价及分级方法
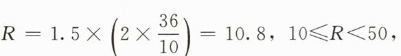
1、某大型冷库使用液氨制冷,系统内液氨量为36t。经调查,该冷库边界向外扩展500m范围内常住人口数量为99人,选定冷库外暴露人员校正系数值为1.5,液氨的临界量是10t,氨的毒性气体校正系数为2。该危险化学品重大危险源的级别是()。
A.一级
B.二级
C.三级
D.四级

故重大危险源等级为三级,C选项正确,选项ABD错误。
2、对于( )事故仅考虑人员伤亡,暂不考虑动植物死亡和生态破坏所受到的损失。
A.食物中毒
B.单纯毒物泄漏
C.恶劣天气
D.地震
3、某危险化学品罐区位于人口相对稀少的空旷地带,罐区500m范围内有一村庄,现常住人口70~90人。该罐区存有550t丙酮、12t环氧丙烷、600t甲醇。危险化学品名称及其临界量见下表。重大危险源分级指标,其中q-某种危险化学品实际在线量(t),Q-与各危险化学品相对应的临界量(t)。据此,该罐区危险化学品重大危险源分级指标R值是( )危险化学品名称及其临界量。
A.14.20
B.10.50
C.7.10
D.5.25
=5.25
4、为了对各种不同类别的危险物质可能出现的事故严重度进行评价,根据()建立了物质子类别同事故形态之间的对应关系,每种事故形态用一种伤害模型来描述。
A.最大危险原则
B.概率求和原则
C.最大后果原则
D.加权求和原则
E.平均分配原则
(1)最大危险原则
如果一种危险物具有多种事故形态,且它们的事故后果相差大,则按后果最严重的事故形态考虑。
(2)概率求和原则
如果一种危险物具有多种事故形态,且它们的事故后果相差不大,则按统计平均原理估计事故后果。
故本题应选择AB选项。
5、下列各项属于“工艺过程事故易发性”的影响因素的有( )。
A.放热反应
B.粉尘消除
C.高温条件
D.泄漏
E.静电
6、某企业因产能扩大,在原危险化学品库房(独立建筑物)中间设置一道防火墙将原库房分成1#、 2#危险化学品库房,并对消防设施、电气线路及照明、安全设施、安全出口进行了改造,满足合规性要求。1#库房存放乙醇250t(β1=1,临界量500t)、乙炔5t (β2=1.5,临界量1t), 2#库房存放过乙酸25t (β3=1.5,临界量10t)、发烟硝酸10t(β4=1,临界量20t)。暴露人员校正系数α=2,《危险化学品重大危险源辨识》(GB 18218),对1#、2#危险化学品库房危险源辨识和评价,正确的有( )。
A.划分为2个评价单元
B.构成1个重大危险源,重大危险源级别是4级
C.划分为1个评价单元
D.构成1个重大危险源,重大危险源级别是3级
E.构成2个重大危险源,重大危险源级别是4级
储存单元:用于储存危险化学品的储罐或仓库组成的相对独立的区域,储罐区以罐区防火堤为界限划分为独立的单元,仓库以独立库房(独立建筑物)为界限划分为独立的单元。
C选项正确:由上应该划分为一个评价单元。
重大危险源分级指标的计算方法:
=2*(1*250/500+1.5*5/1+1.5*25/10+1*10/20)
=24.5 三级重大危险源
故D选项正确。
选项ABE说法错误。


























