二、填空题:本大题共10个小题,每小题4分,共40分,把答案填写在题中横线上。
第11题

参考答案:0
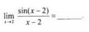
第12题

参考答案:1
第13题

参考答案:4x-2
第14题

参考答案:-cosx
第15题


第16题


第17题

参考答案:x+arctanx
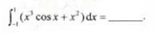
第18题

参考答案:2/3
第19题


第20题

参考答案:0
2017成考:2017成人高考新手指南 成人高考报名条件 成人高考考试时间
二、填空题:本大题共10个小题,每小题4分,共40分,把答案填写在题中横线上。
第11题

参考答案:0
第12题

参考答案:1
第13题

参考答案:4x-2
第14题

参考答案:-cosx
第15题


第16题


第17题

参考答案:x+arctanx
第18题

参考答案:2/3
第19题


第20题

参考答案:0
2017成考:2017成人高考新手指南 成人高考报名条件 成人高考考试时间