您现在的位置:233网校>成人高考>高等数学二>历年真题

2011年成人高考专升本高等数学二考试真题及参考答案

来源:233网校 2017年1月13日
导读: 2011年成人高考专升本高等数学二考试真题及参考答案已经公布。

三、解答题:共70分。解答应写出推理、演算步骤。

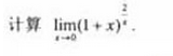
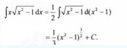
第21题

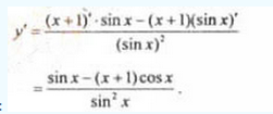
第22题

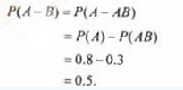
第23题

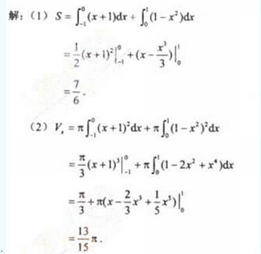
第24题

第25题

第26题

第27题

第28题

2017成考:2017成人高考新手指南 成人高考报名条件 成人高考考试时间

成人高考培训班2017年成人高考告别盲目备考,讲师为你讲解90%核心考点,点击试听>>

登录

新用户注册领取课程礼包

立即注册
扫一扫,立即下载
意见反馈 返回顶部