1.【参考答案】
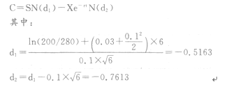
(1)该建桥权相当于一个6年期的美式买权。标的为建桥项目,标的资产的当前价格S=200亿元。以不变价格估算(剔除通货膨胀因素)投资额亦即期权执行价格为X=280亿元。无风险利率r=3%,标准差σ=0.10,期限t=6年。
采用不付红利的股票期权的B—S模型来模拟定价,由于不付红利,美式买权价格应和欧式买权价格相同。采取股票期权公式定价的一个假定的流量近似服从对数正态分布,因而过桥费现值近似服从对数正态分布。
N(d2)=0.2232
C=200×0.3028-280×e-0.03×6×0.2232=8.36(亿元)
由于期权价值高于其可行性研究报告的成本3亿元。因此,江南投资公司可竞标该筑桥权可行性研究,即使江南投资公司不拟自己投资建桥,仍可通过转让该建桥权取得很好的收益。


