五、案例分析题(本大题1小题,共20分)
16.案例:
在等差数列的习题课教学中,教师布置了这样一个问题:等差数列前10项和为100,前100项和为10,求前110项的和。
两位学生的解法如下:
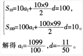
学生甲:设等差数列的首项为a1公差为d,则


针对上述解法,一些学生提出了自己的想法。
学生丙:怎么刚好有S100+S10=-S110呢?这是一种巧合吗?上述所得到的结论中是否隐含着一般性的规律呢?
老师:同学丙所说的规律是否就是:

问题:
(1)请分析学生甲和学生乙解法各自的特点,并解释学生乙设Sn=An2+Bn的理由。(12分)
(2)请验证(*)中结论是否成立。(8分)
参考解析:
(1)学生甲的解法是先根据已知条件求出等差数列的首项a。和公差d,然后根据等差数列的前n项和公式

热点推荐>>2016上半年教师资格证考试真题及答案 真题答案交流
学习交流平台:微信jiaoshi_233| QQ群 加入我们,分享学习乐趣!另外,还可扫一扫以下二维码,下载233网校手机APP,考试报考一手全掌握,迅速了解考试,还能随时随地免费做海量试题!!

