三、解答题(本大题1题, 10分)
14.
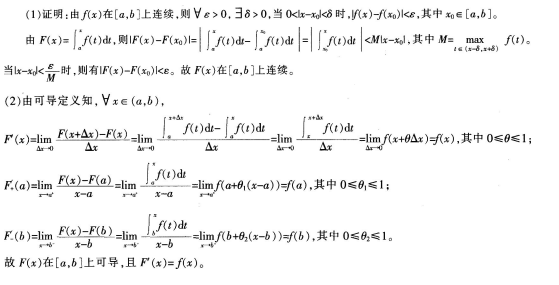
(1)F(x)在[a,b]上连续;(5分)
(2)F(x)在[a,b]上可导,且F´(x)=ƒ(x)。(5分)
责编:lxh
考后关注>>2017年教师资格证成绩查询时间 笔试多少分合格?
扫一扫,考试真题答案一手全掌握!
笔试一次过:告别盲目备考,讲师为你讲解90%常考点,点击进入>>
备战面试:2017年教师资格证面试考什么?讲师为你还原面试现场>>
课程
评论
收藏
免费03月05日 18:00-21:30
26年社会工作《黄金考点7.0》发布会(刘晓晨、刘战旗、徐龙超)
主讲:刘晓晨 立即预约
免费02月10日 19:00-20:00
2026年社会工作者考试百日备考计划
主讲:李 老师 立即预约
距2026社会工作者考试还有
立即锁分
扫码加学霸君领资料
扫码进群学习
免费试听
人气好课
讲师介绍
0元领课
品质教辅
智能题库
直播课堂
报课咨询
APP
新手指南
报名时间
报名入口
报名条件
考试时间
组队打卡
答题闯关
考点打卡
资料下载
下载量:797
下载量:859
下载量:819
下载量:455