五、案例分析题(本大题1小题,共20分)
16.案例:
在学习“平面向量”后,某数学教师安排了如下一道选择题:
若非零向量a,b满足|a-b|=|b|,则( )
A.|2b|>| a-2b|
B.|2b|<|a-2b|
C.|2a|>|2a-b|
D.|2a|<|2a-b|
以下是三位学生的解法:

问题:
(1)如果你是这位数学老师,请指出这二种解法存在的错误;(9分)
(2)请你从已知条件|a-b|=| b |出发,通过数形结合,引导学生给出一种正确的解法;(5分)
(3)针对学生在向量运算中的错误,请写出实数运算与向量运算的不同点(至少写出三点)。(6分)
(1)学生1在解答过程中只关注了a-b与b同向或反向时,在两个向量模长相等时n与b满足的关系,但是忽略了a-b与b两个向量不共线的情况。学生2在解答过程中虽然注意到向量模长的性质,即|a|2=a·a,但是在化简过程中把向量的数量积与实数的乘法产生了混淆。学生3在解答过程中忽略了向量数量积的性质,即a·b=| a|·| b|cosθ,其中θ为两向量的夹角。
(2)向量的线性运算不仅涉及向量的长度还涉及向量的方向,因此提出以下问题串引导学生思考:
问题1:向量在进行线性运算加减法的时候,满足什么样的运算法则呢?
问题2:三角形法则与平行四边形法则,两种法则在计算过程中应根据向量的何种特征进行合理地选择呢?
问题3:现在我们将a与b分两种情况进行讨论:①两向量共起点时,②两向量首尾相连时,两种情况下分别对两个向量进行减法的线性运算。现在大家动起手来一起在纸上画一画a与b满足何种位置关系时,能够使得|a-b|=|b|。我们又可以借助哪些特殊的图形对两个向量的位置关系进行描述呢?
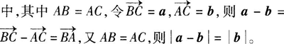
问题4:两种情况最终都可以用等腰三角形这样的图形进行概括描述,如图,在等腰三角形ABC


那么接下来,大家继续借助等腰三角形ABC,在其基础上画出2b与a-2b,那么你可以发现什么结论呢?继续画出2a与2a-b,那么你又可以发现什么结论呢?
结论:根据三角形内任意两边和大于第三边可以得出| 2b|>|a-2b|,2a与2a-b的关系无法判断,应选A。
(3)向量运算与实数运算的本质区别在于,向量运算不仅涉及向量的长度,还涉及向量的方向。
向量的线性运算与实数运算虽然在运算过程中均满足:交换律、结合律、分配律,但是向量线性运算结果为向量,实数的运算结果为实数。
向量的数量积与实数运算虽然在运算过程中均满足:交换律、分配律且运算结果均为实数,但实数的乘法满足消去律,向量的数量积则不满足。在实数运算中若a≠0且ab=0则b=0,但在向量运算中若a≠0且a·b=0,则有两种情况b=0或a⊥b。




