2017上半年教师资格证高中数学学科真题及答案
一、单项选择题(本大题共8小题,每小题5分,共40分)
1.


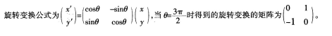
2.下列矩阵对应的线性变换为旋转变换的是( )


3.

4.若ƒ(x)为连续函数,则下列命题不正确的是( )


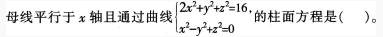
5.
A.P(B)<P(A|B)
B.P(A)≤P(A|B)
C.P(B)>P(A| B)
D.P(A)≥P(A| B)

6.


7.与意大利传教士利玛窦共同翻译了《几何原本》(I-Ⅵ卷)的我国数学家是( )
A.徐光启
B.刘徽
C.祖冲之
D.杨辉
8.有一个角是直角的平行四边形是矩形,这个定义方式属于( )
A.公理定义
B.属加种差定义
C.递归定义
D.外延定义




