股票估值考点解析
股票估值介绍
(一)股票估值概述
股票价值分析两种方法:

使用基本面分析获得内在价值后,与市场价格进行比较。
市场价格低于内在价值,则股票价格被低估,买入;
市场价格高于内在价值,则股票价格被高估,卖出。
股票内在价值评估方法:

• (二)股息贴现模型
1、股息贴现模型概述
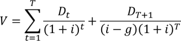
股票内在价值由无穷期限内预期股息收益的现值决定。

V表示普通股当前时刻的内在价值,Dt表示普通股在t期的股息,i 表示股票的贴现率。
股息贴现模型选用未来预期股息代表投资股票唯一的现金流,并没有忽视买卖股票的资本利得对股票内在价值的影响。
如果能够准确预测股票未来每期的股息 ,就可以计算股票的内在价值,关键在于预测每期股息的增长率,gt表示第t期的股息增长率

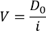
2、零增长模型
股息是固定不变的,即股息增长率为0。

D0为第0期支付的股息。
【例题】投资者预期某公司每期支付的股息将永久地固定为5元/股,并且贴现率为10% ,公司股票的内在价值5÷10%=50 (元/股)
如果此时公司的股票价格低于 50 元/股,投资者可选择买入。
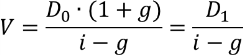
3、不变增长模型
又称戈登模型,该模型有三个假设:
①股息的支付是永久的;
②股息的增长速度是一个常数g;
③模型中的贴现率i大于股息增长率g。
零增长模型是不变增长模型的一种特殊形式。

D0、D1分别为第0期和第1期支付的股息。
【例题】某公司当期的股息为2元/股,经预测,该公司股票未来的股息增长率将永久地保持在 5% 的水平,贴现率为10% ,那么,该公司股票的内在价值2×( 1+5% )÷(10%-5%)=42(元/股)
不变增长模型典型的假设是公司的净资产收益率ROE保持不变,公司每年将净收益中固定的比例拿出来进行派息,剩下的部分用以净资产增长,公司的股息即可保持常数增长。
公司的留存收益比率(再投资率)为b,公司的每股净收益为 EPS
公司内在价值为

第一部分为零成长机会下的现值,可用 PVGZ。
第二部分的符号则由ROE-i 决定。
|
ROE<i |
净资产收益率无法超过股权必要收益率 ,留存收益再投资将会损害公司股票的内在价值,维持留存收益比率为 b=0 是最佳策略 |
|
ROE>i |
净资产收益率超过了股权必要收益率,此时再投资将提高公司股票的价值 |
|
ROE=i |
再投资策略无法影响公司价值,公司股票的内在价值和零增长模型一样 |
我们称第二部分为未来成长机会的现值,用 PVGO 表示。
4、三阶段增长模型
将股息的增长分成了三个不同的阶段:
第一个阶段,股息的增长率为一个常数ga;
第二个阶段,股息增长的转折期,股息增长以线性的方式ga从变化为gn;
第三个阶段,股息以固定的增长率gn逐期增长。

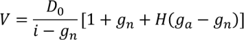
5、H模型
三阶段模型的简化版,没有第一阶段。
假设股息的初始增长率为ga,然后以线性的方式递减或递增;
从2H 期后,股息增长率变为一个常数 gn
在股息递减或递增的过程中,在H时期的股息增长率恰好等于初始增长率ga和常数增长率gn的平均数。

【例题】设某公司当年的股息为2元/股,原始的股息增长率为10% ,之后每年以 1% 的速度递减至第6年的5% ,之后公司以 5% 的增长率派息,如果贴现率为 15% 的话,公司股票的内在价值为
2÷(15%-5%)× [ 1+5%+3 × ( 10%-5%)] =24 (元/股)
6、多元增长模型
多元增长模型是股息贴现模型中较为一般的形式。
多元增长模型正是基于生命周期学说而引入的,该模型假定在某一个时点T之后,股息增长率变为常数g。

• (三)公司自由现金流模型
1、公司自由现金流模型的基本概念
公司自由现金流衡量公司产生的,扣除了营运费用(包括税收),投资了营运资本及固定资产之后,归属于所有资本提供者(债权人和股权人)的现金流。
股权自由现金流衡量公司自由现金流当中归属于股东的现金流。
公司自由现金流模型主要包括四个步骤

2、自由现金流的计算
从损益表中的净利润开始,用净利润加减其他报表中的会计项目得到自由现金流。

FCFF是公司自由现金流;NI 表示损益表中的净利润;Nint 表示损益表中的净利息支出;Ta×表示公司的所得税税率;DA为折旧摊销等非现金费用;ΔWC 为营运资本增加;CE×p 为以现金支付的固定资产投资。
3、资本成本的计算
公司自由现金流对应的贴现率应等于公司资本的总体成本,称为公司的资本成本。
公司资本提供者分为三类:债权人、优先股股东、普通股股东。
公司的资本成本应该是三类资本提供者的必要收益率的加权平均值。

WACC表示公司的资本成本,ϖ表示占比,r表示必要收益率。
【例题】
某公司通过发行债券、优先股和普通股来筹集资本。 其中,债券市场价值为 25亿元, 优先股市场价值为 25亿元,普通股市场价值为 50 亿元, 三类资本的占比分别为 25%、25%、50%。三类资本的必要收益率分别为8%、10%、15%,公司所得税税率为10% ,那么该公司的资本成本为
25% × 8% × (1-10%)+25% × 10%+50% × 15%= 11. 8%
4、使用公司自由现金流模型估值
基于收入资本化的思路,以资本成本作为贴现率,以自由现金流为现金流,进行贴现即可得到公司的总体价值。设公司的自由现金流按照固定的增长率g稳定增长,则

FCFF0为当期的自由现金流。
计算出公司的总体价值之后,再减掉公司负债价值,即可得到公司的权益价值。
在以下一个或多个条件满足时,适合使用公司自由现金流模型进行估值。
(1)公司没有支付过红利;
(2)公司支付的红利和它能够支付的红利相差太远;
(3)在合理的预测区间,自由现金流更能够体现公司的盈利能力和持续经营能力;
(4)如果公司的红利政策容易被大股东操纵,那么红利水平反映的信息有误导作用。
公司自由现金流模型
缺陷:计算过程比股息贴现模型复杂得多。在实际应用中难度过高,估值的效率偏低。
优点:不是直接衡量公司向资本提供者提供的报酬,而是衡量公司向资本提供者支付报酬的能力, 更能体现公司可持续经营的能力,具有更加深刻的金融经济学意义。
• (四)财务倍数模型
1、常见的财务倍数
计算股票市场价格与某个财务指标的比值 P为每股价格

EPS 每股净收益,BV每股净资产,CF每股现金流,Sales每股销售额
2、市盈率估值理论基础
市盈率的优点:
①由于市盈率是股票价格与每股净收益的比率,是单位收益的价格,所以市盈率模型可以直接应用于不同收益水平的股票价格之间的比较;
②对于那些在某些时间内没有支付股息的股票,市盈率模型同样适用,而股息贴现模型却不能使用;
③虽然部分市盈率指标同样需要对有关变量进行预测,但是所涉及的变量预测比股息贴现模型要简单。
市盈率的缺点:
①市盈率模型的理论基础较为薄弱,而股息贴现模型的逻辑性较为严密;
②在进行股票之间的比较时,市盈率模型只能决定不同股票市盈率的相对大小,却不能决定股票绝对的市盈率水平;
③对于尚未取得盈利的公司而言,市盈率不具备参考价值。

3、常见的市盈率指标
根据分母使用的每股净收益不同,市盈率可分为
|
名称 |
分母 |
优缺点 |
|
静态市盈率 |
最近一年年报的每股净收益 |
没有考虑到增长问题,成长型公司易造成市盈率偏高 |
|
滚动市盈率 |
最近四个季度的会计净收益累计值 |
仅反应出一段时间的增长;季报未经审计 |
|
前瞻市盈率 |
用分析机构预测的下一年度每股净收益作 |
带有过多的主观意见 |
|
合理市盈率 |
基于公司长期的基本面信息,利用内在价值公式对市盈率进行估计。 合理市盈率= 1-b/i-g i是股权必要收益率,b再投资率,g股息增长率 |
|
正确答案: C
答案解析: 投资者基于市场信息做出买卖决策,有价值的信息大体分为两类:
(1)隐含在股票历史价格和历史成交量中的信息,投资者利用此类信息寻找未来趋势的决策模式被称为趋势分析或技术分析。
(2)影响股票内在价值的信息,被称为基本面信息。基本面信息包括失业率、国内生产总值、利率、汇率等宏观经济指标,也包括行业增长率、商业周期等行业指标,以及公司自身经营特征和相关财务信息,使用基本面信息寻找股票内在价值的过程被称为基本面分析,也可称权益估值。
选项C不属于影响股票内在价值的信息。
正确答案: A
答案解析: 期权费也可称为期权价格、期权的权利金,指的是期权交易中的价格,即购买期权的一方为自己获得的买入标的资产或卖出标的资产的权利预先支付给期权卖方的费用。期权费由两部分构成:内在价值和时间价值。选项A正确。内在价值指期权按执行价格立即行使时所具有的价值,一般大于0。选项B错误。①对于看涨期权来说,内在价值相当于标的资产现价高于执行价格的差额;②对于看跌期权来说,内在价值相当于执行价格高于标的资产现价的差额。选项C正确。期限越长的期权,基础资产价格发生变化的可能性越大,因而期权的时间价值越大。在执行价格既定时,期权费大小与期权的期限长短呈正相关。期权越临近到期日,时间价值就越小,这种现象被称为时间价值衰减。当期权临近到期日时,在其他条件不变的情况下,其时间价值下降速度加快,并逐渐趋向于0,一旦到达到期日,期权的时间价值将为0。选项D正确。时间价值指的是期权费减去内在价值部分以后的余值。在实务中,所有期权的出售方都无一例外地要求买方支付的期权费高于期权的内在价值。选项E正确。
(一)收入资本化法
简称收入法或资产基准法,又称现金流贴现法,包括股息(或利息)贴现法和自由现金流贴现法。
观点:任何资产的内在价值均取决于该资产预期的未来现金流的现值。
使用合适贴现率计算出来的债券未来现金收益的现值,称为债券的内在价值。
将债券的内在价值和市场价值比较,可以判断该债券是否被低估或高估,从而帮助投资者进行正确的投资决策。
收入资本化法的公式:

P为债券的价格,T为债券的期数,Ct为该债券对应的未来第t期的现金流,i为资本化过程的贴现率。
计算内在价值时使用的贴现率被称为资本化率,也叫作必要收益率。
选择贴现率要考虑的因素:
一是货币的时间价值,主要取决于未来利率的变动、通货膨胀情况、债券期限的长短等;
二是所评估的未来现金流的风险大小, 与所评估债券的信用级别、流动性、税收待遇以及特殊条款紧密相关。
通常的做法是以其他债券收益率或国债收益率为参考,再结合各因素进行调整。
• (二)债券的内在价值
1、零息债券
又称贴现债券,是一种以低于面值的贴现方式发行,不支付利息,到期按面值偿还的债券。
债券发行价格与面值之间的差额就是投资者的利息收入。
内在价值
V表示债券当前时刻的内在价值,F表示债券的面值,i表示债券的贴现率,T表示债券的投资年限。
例题
假设某零息债券,期限为 10 年,债券面值为 1000 元,贴现率为 7% ,那么它的内在价值为

2、固定利息债券
又称为直接债券或定息债券, 固定利息债券的投资者不仅可以在期满时收回本金,而且可定期获得固定的利息收入。
内在价值:

c表示债券每一期的利息。
3、永续债券
永续债券是一种没有到期日的债券,债券发行人不需要偿付债券的面值,但是要永久地向债券持有人定期支付利息。
内在价值:

例题
某永续债券的面值为 10000 元,息票率为 2% ,假设贴现率为4%,那么,该永续债券每一期需要支 200 元的利息,其对应的内在价值为 200÷4%=5000 (元)
• (三)债券价值的影响因素
1、贴现率
债券的内在价值随着贴现率的升高而降低。
贴现率=息票率,债券的内在价值正好等于债券的面值;
贴现率<息票率,债券的内在价值大于面值;
贴现率>息票率,债券的内在价值小于面值。
2、信用等级
债券信用评级是由独立的私人机构对债券的信用风险进行的评级。两大类别:
一类信誉较高,违约风险较小,属于投资级债券;
另一类信誉较低,属于投机级债券。
信用等级差的债券在其他条件相同的情况下,会使用更高的贴现率进行估值,其估值更低。
3、息票率
如果其他条件不变,更高的息票率意味着更高的现金流,因此,对应着更高的债券内在价值。
4、剩余期限
零息债券,剩余期限与债券内在价值负相关。
永续债券,没有剩余期限。
固定利息债券,不确定,受贴现率和息票率影响。
5、税收待遇
免税或付税较少的债券,投资者可以获得更高的最终收益,因此具有更高的价值。
6、含权条款
为了满足投资人和发行人的不同需求,公司在发行债券时会在普通债券条款之后附加一些特别权利,给债券附加权利的条款被称为含权条款,有含权条款的债券被称为含权债券或复合债券。

7、流动性
通常用债券买卖价差来反映债券的流动性大小,买卖价差小说明债券流动性强,债券容易变现。流动性高的债券的内在价值较高。
8、通货膨胀
通货膨胀能引起货币贬值,从而影响现金的实际购买力,以现金流表示的债券实际收益率随着通货膨胀的变化发生改变。
简称收入法或资产基准法,又称现金流贴现法,包括股息(或利息)贴现法和自由现金流贴现法。
观点:任何资产的内在价值均取决于该资产预期的未来现金流的现值。
使用合适贴现率计算出来的债券未来现金收益的现值,称为债券的内在价值。
将债券的内在价值和市场价值比较,可以判断该债券是否被低估或高估,从而帮助投资者进行正确的投资决策。
收入资本化法的公式:

P为债券的价格,T为债券的期数,Ct为该债券对应的未来第t期的现金流,i为资本化过程的贴现率。
计算内在价值时使用的贴现率被称为资本化率,也叫作必要收益率。
选择贴现率要考虑的因素:
一是货币的时间价值,主要取决于未来利率的变动、通货膨胀情况、债券期限的长短等;
二是所评估的未来现金流的风险大小, 与所评估债券的信用级别、流动性、税收待遇以及特殊条款紧密相关。
通常的做法是以其他债券收益率或国债收益率为参考,再结合各因素进行调整。
1、零息债券
又称贴现债券,是一种以低于面值的贴现方式发行,不支付利息,到期按面值偿还的债券。
债券发行价格与面值之间的差额就是投资者的利息收入。
内在价值
V表示债券当前时刻的内在价值,F表示债券的面值,i表示债券的贴现率,T表示债券的投资年限。
例题
假设某零息债券,期限为 10 年,债券面值为 1000 元,贴现率为 7% ,那么它的内在价值为

2、固定利息债券
又称为直接债券或定息债券, 固定利息债券的投资者不仅可以在期满时收回本金,而且可定期获得固定的利息收入。
内在价值:

c表示债券每一期的利息。
3、永续债券
永续债券是一种没有到期日的债券,债券发行人不需要偿付债券的面值,但是要永久地向债券持有人定期支付利息。
内在价值:

例题
某永续债券的面值为 10000 元,息票率为 2% ,假设贴现率为4%,那么,该永续债券每一期需要支 200 元的利息,其对应的内在价值为 200÷4%=5000 (元)
股票价值分析两种方法:

使用基本面分析获得内在价值后,与市场价格进行比较。
市场价格低于内在价值,则股票价格被低估,买入;
市场价格高于内在价值,则股票价格被高估,卖出。
股票内在价值评估方法:

1、股息贴现模型概述
股票内在价值由无穷期限内预期股息收益的现值决定。

V表示普通股当前时刻的内在价值,Dt表示普通股在t期的股息,i 表示股票的贴现率。
股息贴现模型选用未来预期股息代表投资股票唯一的现金流,并没有忽视买卖股票的资本利得对股票内在价值的影响。
如果能够准确预测股票未来每期的股息 ,就可以计算股票的内在价值,关键在于预测每期股息的增长率,gt表示第t期的股息增长率

2、零增长模型
股息是固定不变的,即股息增长率为0。

D0为第0期支付的股息。
【例题】投资者预期某公司每期支付的股息将永久地固定为5元/股,并且贴现率为10% ,公司股票的内在价值5÷10%=50 (元/股)
如果此时公司的股票价格低于 50 元/股,投资者可选择买入。
3、不变增长模型
又称戈登模型,该模型有三个假设:
①股息的支付是永久的;
②股息的增长速度是一个常数g;
③模型中的贴现率i大于股息增长率g。
零增长模型是不变增长模型的一种特殊形式。

D0、D1分别为第0期和第1期支付的股息。
【例题】某公司当期的股息为2元/股,经预测,该公司股票未来的股息增长率将永久地保持在 5% 的水平,贴现率为10% ,那么,该公司股票的内在价值2×( 1+5% )÷(10%-5%)=42(元/股)
不变增长模型典型的假设是公司的净资产收益率ROE保持不变,公司每年将净收益中固定的比例拿出来进行派息,剩下的部分用以净资产增长,公司的股息即可保持常数增长。
公司的留存收益比率(再投资率)为b,公司的每股净收益为 EPS
公司内在价值为

第一部分为零成长机会下的现值,可用 PVGZ。
第二部分的符号则由ROE-i 决定。
|
ROE<i |
净资产收益率无法超过股权必要收益率 ,留存收益再投资将会损害公司股票的内在价值,维持留存收益比率为 b=0 是最佳策略 |
|
ROE>i |
净资产收益率超过了股权必要收益率,此时再投资将提高公司股票的价值 |
|
ROE=i |
再投资策略无法影响公司价值,公司股票的内在价值和零增长模型一样 |
我们称第二部分为未来成长机会的现值,用 PVGO 表示。
4、三阶段增长模型
将股息的增长分成了三个不同的阶段:
第一个阶段,股息的增长率为一个常数ga;
第二个阶段,股息增长的转折期,股息增长以线性的方式ga从变化为gn;
第三个阶段,股息以固定的增长率gn逐期增长。

5、H模型
三阶段模型的简化版,没有第一阶段。
假设股息的初始增长率为ga,然后以线性的方式递减或递增;
从2H 期后,股息增长率变为一个常数 gn
在股息递减或递增的过程中,在H时期的股息增长率恰好等于初始增长率ga和常数增长率gn的平均数。

【例题】设某公司当年的股息为2元/股,原始的股息增长率为10% ,之后每年以 1% 的速度递减至第6年的5% ,之后公司以 5% 的增长率派息,如果贴现率为 15% 的话,公司股票的内在价值为
2÷(15%-5%)× [ 1+5%+3 × ( 10%-5%)] =24 (元/股)
6、多元增长模型
多元增长模型是股息贴现模型中较为一般的形式。
多元增长模型正是基于生命周期学说而引入的,该模型假定在某一个时点T之后,股息增长率变为常数g。

1、公司自由现金流模型的基本概念
公司自由现金流衡量公司产生的,扣除了营运费用(包括税收),投资了营运资本及固定资产之后,归属于所有资本提供者(债权人和股权人)的现金流。
股权自由现金流衡量公司自由现金流当中归属于股东的现金流。
公司自由现金流模型主要包括四个步骤

2、自由现金流的计算
从损益表中的净利润开始,用净利润加减其他报表中的会计项目得到自由现金流。

FCFF是公司自由现金流;NI 表示损益表中的净利润;Nint 表示损益表中的净利息支出;Ta×表示公司的所得税税率;DA为折旧摊销等非现金费用;ΔWC 为营运资本增加;CE×p 为以现金支付的固定资产投资。
3、资本成本的计算
公司自由现金流对应的贴现率应等于公司资本的总体成本,称为公司的资本成本。
公司资本提供者分为三类:债权人、优先股股东、普通股股东。
公司的资本成本应该是三类资本提供者的必要收益率的加权平均值。

WACC表示公司的资本成本,ϖ表示占比,r表示必要收益率。
【例题】
某公司通过发行债券、优先股和普通股来筹集资本。 其中,债券市场价值为 25亿元, 优先股市场价值为 25亿元,普通股市场价值为 50 亿元, 三类资本的占比分别为 25%、25%、50%。三类资本的必要收益率分别为8%、10%、15%,公司所得税税率为10% ,那么该公司的资本成本为
25% × 8% × (1-10%)+25% × 10%+50% × 15%= 11. 8%
4、使用公司自由现金流模型估值
基于收入资本化的思路,以资本成本作为贴现率,以自由现金流为现金流,进行贴现即可得到公司的总体价值。设公司的自由现金流按照固定的增长率g稳定增长,则

FCFF0为当期的自由现金流。
计算出公司的总体价值之后,再减掉公司负债价值,即可得到公司的权益价值。
在以下一个或多个条件满足时,适合使用公司自由现金流模型进行估值。
(1)公司没有支付过红利;
(2)公司支付的红利和它能够支付的红利相差太远;
(3)在合理的预测区间,自由现金流更能够体现公司的盈利能力和持续经营能力;
(4)如果公司的红利政策容易被大股东操纵,那么红利水平反映的信息有误导作用。
公司自由现金流模型
缺陷:计算过程比股息贴现模型复杂得多。在实际应用中难度过高,估值的效率偏低。
优点:不是直接衡量公司向资本提供者提供的报酬,而是衡量公司向资本提供者支付报酬的能力, 更能体现公司可持续经营的能力,具有更加深刻的金融经济学意义。
1、常见的财务倍数
计算股票市场价格与某个财务指标的比值 P为每股价格

EPS 每股净收益,BV每股净资产,CF每股现金流,Sales每股销售额
2、市盈率估值理论基础
市盈率的优点:
①由于市盈率是股票价格与每股净收益的比率,是单位收益的价格,所以市盈率模型可以直接应用于不同收益水平的股票价格之间的比较;
②对于那些在某些时间内没有支付股息的股票,市盈率模型同样适用,而股息贴现模型却不能使用;
③虽然部分市盈率指标同样需要对有关变量进行预测,但是所涉及的变量预测比股息贴现模型要简单。
市盈率的缺点:
①市盈率模型的理论基础较为薄弱,而股息贴现模型的逻辑性较为严密;
②在进行股票之间的比较时,市盈率模型只能决定不同股票市盈率的相对大小,却不能决定股票绝对的市盈率水平;
③对于尚未取得盈利的公司而言,市盈率不具备参考价值。

3、常见的市盈率指标
根据分母使用的每股净收益不同,市盈率可分为
|
名称 |
分母 |
优缺点 |
|
静态市盈率 |
最近一年年报的每股净收益 |
没有考虑到增长问题,成长型公司易造成市盈率偏高 |
|
滚动市盈率 |
最近四个季度的会计净收益累计值 |
仅反应出一段时间的增长;季报未经审计 |
|
前瞻市盈率 |
用分析机构预测的下一年度每股净收益作 |
带有过多的主观意见 |
|
合理市盈率 |
基于公司长期的基本面信息,利用内在价值公式对市盈率进行估计。 合理市盈率= 1-b/i-g i是股权必要收益率,b再投资率,g股息增长率 |
|
1、贴现率
债券的内在价值随着贴现率的升高而降低。
贴现率=息票率,债券的内在价值正好等于债券的面值;
贴现率<息票率,债券的内在价值大于面值;
贴现率>息票率,债券的内在价值小于面值。
2、信用等级
债券信用评级是由独立的私人机构对债券的信用风险进行的评级。两大类别:
一类信誉较高,违约风险较小,属于投资级债券;
另一类信誉较低,属于投机级债券。
信用等级差的债券在其他条件相同的情况下,会使用更高的贴现率进行估值,其估值更低。
3、息票率
如果其他条件不变,更高的息票率意味着更高的现金流,因此,对应着更高的债券内在价值。
4、剩余期限
零息债券,剩余期限与债券内在价值负相关。
永续债券,没有剩余期限。
固定利息债券,不确定,受贴现率和息票率影响。
5、税收待遇
免税或付税较少的债券,投资者可以获得更高的最终收益,因此具有更高的价值。
6、含权条款
为了满足投资人和发行人的不同需求,公司在发行债券时会在普通债券条款之后附加一些特别权利,给债券附加权利的条款被称为含权条款,有含权条款的债券被称为含权债券或复合债券。

7、流动性
通常用债券买卖价差来反映债券的流动性大小,买卖价差小说明债券流动性强,债券容易变现。流动性高的债券的内在价值较高。
8、通货膨胀
通货膨胀能引起货币贬值,从而影响现金的实际购买力,以现金流表示的债券实际收益率随着通货膨胀的变化发生改变。
拒绝盲目备考,加学习群领资料共同进步!

免费听
槐俊升
应试性强,讲的细,效果好
主讲:中级经济基础知识
经济师大神级培训讲师,学员口中YYDS的经济师老师,母题班研究者,培训经验十余年

免费听
葛广宇
记忆魔术师
主讲:初级会计实务,中级财务管理,财务成本管理,中级经济基础知识,初级经济基础知识
副教授,管理学(会计学方向)博士在读、注册会计师,会计师职称。擅长以案例、关键词导向式的教学方法,归纳总结关联考点考点,讲解细致,适合零基础考生,学员称其为“记忆魔术师”。

免费听
郑伟
经济学男神
主讲:高级经济实务工商管理,中级经济基础知识,中级工商管理
德国科隆大学经济学博士,就职于北京外国语大学国际教育学院,双语经济学教师。本人学识渊博,底蕴深厚。课堂富有激情,能带动学员学习思维,幽默风趣的大叔型魅力男神。

免费听
王鑫鑫
资深人力资源管理专家
主讲:中级人力资源管理
山东大学MBA,多年从事人力资源管理师一级培训,丰富专业实践教学经验。

免费听
陈肖
主讲:中级人力资源管理
中国人民大学硕士、中级经济师、曾就职于500强企业从事管理相关工作。

免费听
李轻舟
主讲:中级建筑与房地产经济
中国建设教育协会专家库专家,高级工程师,全国一级建造师,全国监理工程师,注册执业资格考试老师。
专业智能,高效提分
章节练习
章节专项突破
进入做题
精选试题
省时高效精选
进入做题
模拟考场
海量题免费做
进入做题
考前点题
高效锁分72小时
进入做题
每日一练
每天进步一点点
进入做题
历年真题
真题实战演练
进入做题
易错题
精选高频易错题
进入做题
模考大赛
同场闯关做题
进入做题
APP刷题神器
模考大赛
考点打卡
做题闯关

扫描二维码 下载233网校APP刷题
微信扫码关注公众号
获取更多考试资料