平行移动方式考点解析
平行移动方式介绍
1.含义:平行移动方式是指一批零件中的每个零件在上道工序加工完成后,马上移到下道工序去加工,由此形成一批零件中的每个零件在各道工序上平行地进行加工。


正确答案: B
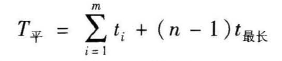
答察解析: 平行移动方式是指一批零件中的每个零件在上道工序加工完成后,马上移到下道工序去加工,由此形成一批零件中的每个零件在各道工序上平行地进行加工。在平行移动方式下,零件全部生产完成的生产周期的计算公式为:
式中:T平为平行移动方式下零件加工的生产周期;t最长为在各道工序中,单件工时最长的工序的单件工时。
所以答案为20+5+20+20+10+(3-1)*20=115(分钟)。
正确答案: A
答察解析: 平行移动方式是指一批零件中的每个零件在上道工序加工完成后,马上移到下道工序去加工,由此形成一批零件中的每个零件在各道工序上平行地进行加工。
正确答案: A
答察解析:
1.含义:顺序移动方式是指一批零件经多道工序加工时,将这批零件在上道工序全部加工完成后,再统一搬运到下道工序去加工的方式。


1.含义:平行顺序移动方式是将顺序移动方式和平行移动方式结合起来,进行优势互补的一种方式。它要求一批零件在每一道工序的设备上加工时要连续进行,又不采取零件在工序间整批转移,使一批零件在各道工序上尽可能平行地加工,又使各工序的设备中间不发生停歇等待。
2.具体做法:
(1)当后道工序单件加工时间比前道工序单件加工时间长,则前道工序往后道工序按件运送;
(2)当后道工序单件加工时间比前道工序单件加工时间短,后道工序的最后一个零件只能等到前道工序所有零件加工完毕后,才能开始加工,则后道工序的第一个零件加工时间,可从最后一个零件的加工时间依次向前倒推确定。


【例4-2】设某种零件批量 n=3件;加工工序数m =4;每道工序的单件加工时间:t1 = 10分钟,t2=5分 钟,t3=20分钟,t4= 10分钟。试按三种移动方式计算其生产周期。
解:顺序移动方式下,一批零件全部生产完成的生产周期为:

(一)三种移动方式优缺点比较
|
方式 |
优点 |
缺点 |
|
顺序移动方式 |
组织生产较简单,设备在加工零件时不出现停顿,工序间搬运次数少 |
生产周期长 |
|
平行移动方式 |
充分利用平行作业的可能,使生产周期达到最短 |
一些工序在加工时,出现时干时停的现象,对设备运转不利,同时运输次数多,组织生产比较麻烦 |
|
平行顺序移动方式 |
生产周期较短,每道工序在加工一批零件时不发生停顿现象,使设备能连续、正常运转 |
运输次数也较多,组织生产也比较复杂 |
(二)具体应用时的考虑因素
(1)企业的生产类型:
单件小批企业多采用顺序移动方式;
大量大批生产,特别是组织流水线生产时,宜采用平行移动方式或平行顺序移动方式。
(2)生产任务的缓急:生产任务急,应采用平行移动方式或平行顺序移动方式。
(3)劳动量的大小和零件的重轻:工序劳动量不大,量较轻的零件,宜采用顺序移动方式;工序劳动量大,量很重的零件,宜采用平行移动方式或平行顺序移动方式。
(4)企业内部生产单位专业化形式:对象专业化的生产单位宜采用平行或平行顺序移动方式;工艺专业化的生产单位,宜采用顺序移动方式。
(5)改变加工对象时,调整设备所需的劳动量:如果调整设备所需的劳动量很大,不宜采用平行移动方式;如果改变加工对象时,不需调整设备或调整设备所需时间很少时,宜采用平行移动方式。
拒绝盲目备考,加学习群领资料共同进步!

免费听
葛广宇
记忆魔术师
主讲:初级会计实务,中级财务管理,财务成本管理,中级经济基础知识,初级经济基础知识
副教授,管理学(会计学方向)博士在读、注册会计师,会计师职称。擅长以案例、关键词导向式的教学方法,归纳总结关联考点考点,讲解细致,适合零基础考生,学员称其为“记忆魔术师”。

免费听
付子健
人力资源男神
主讲:三级理论知识,三级专业技能,初级人力资源管理
管理学硕士,高级人力资源管理师,10余年人力资源管理从业及教学经验,北京邮电大学、北京理工大学、北京劳动保障职业技术学院等多所高校特聘讲师。

免费听
武小唐
知名高校经济学讲师
主讲:初级金融专业
曾担任知名高校经济学、金融学讲师。授课思路清晰、逻辑严谨,考点讲解简明扼要直中要点,课程讲解应试性强。

免费听
许睿
经济学硕士
主讲:初级工商管理
经济学硕士,多年行业从业经验,善于结合行业实例讲授知识点。
专业智能,高效提分
章节练习
章节专项突破
进入做题
精选试题
省时高效精选
进入做题
模拟考场
海量题免费做
进入做题
考前点题
高效锁分72小时
进入做题
每日一练
每天进步一点点
进入做题
历年真题
真题实战演练
进入做题
易错题
精选高频易错题
进入做题
模考大赛
同场闯关做题
进入做题
APP刷题神器
模考大赛
考点打卡
做题闯关

扫描二维码 下载233网校APP刷题
微信扫码关注公众号
获取更多考试资料