注会备考有三宝:教材、试题和辅导!相信大家现在都已经投入到紧张的注册会计师备考中,新内容学了那么多,当然要做题来巩固一下啦!233网校学霸君整理提供2020年注册会计师财务成本管理练习题,希望大家能够及时进行课后练习。同时,建议大家下载233网校APP利用碎片化时间及时巩固刷题噢!

2020年注册会计师《财务成本管理》第七章试题及答案
1、(单选题)某公司股票的当前市价为 10 元,有一种以该股票为标的资产的看跌 期权,执行价格为 8 元,到期时间为三个月, 期权价格为 3.5 元。下列关于该看跌期权的说法中,正确的是( )。
A. 该期权处于实值状态
B. 该期权的内在价值为 2 元
C. 该期权的时间溢价为 3.5 元
D. 买入一份该看跌期权的最大净收入为 4.5 元
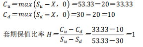
2、(单选题)假设某公司的股票现在的市价为 40 元。一年以后股价有两种可能:上升 33.33%,或者降低 25%。有 1 股以该股票为标的资产的看涨期权,在利用复制原理确定其价格时,如果已知该期权的执行价格为 20 元,套期保值比率为( )。
A.1.45
B.1
C.0.42
D.0.5
参考解析:上行股价=40×(1+33.33%)=53.33 元,下行股价=40×(1-25%)=30 元。

3、(多选题)某公司股票的当前市价为 6 元,有一种以该股票为标的资产的看涨期权,执行价格为 10 元,到期时间为三个月,期权价格为 3 元。下列关于该看涨期权的说法中,正确的是( )。
A.该期权的内在价值为 4 元
B.该期权处于实值状态
C.如果希望买入该期权不亏损,股价最低需上涨至 13 元
D.该期权的时间溢价为 3 元
答疑解惑:添加233网校学霸君微信个人号【ks233wx11】,或搜QQ群【245915967】 加入233网校备考大家庭,我们共同学习一起进步相约拿证!
| 点击注册 >>领取注册会计师新人礼包(购课优惠券+精讲班视频+考试真题)>> |
热门答疑:注册会计师发展前景好吗?薪资待遇如何?
注会刷题太费脑?听完老师讲讲考点和答题技巧,你会豁然开朗!刘胜花老师重磅回归,带你读薄教材,解决会计难题!【2020年零基础入门新课抢先试听>>】



