异步距异节奏流水施工考点解析
异步距异节奏流水施工介绍
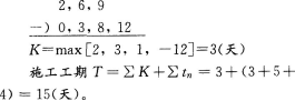
正确答案: D
答案解析: 累加数列错位相减取大差法计算流水步距:

施工组织方式是指对施工对象在空间和时间上的安排方式。水利建设工程施工对象包括单位工程、分部工程、单元工程(工序)等,施工组织方式可分为顺序施工、平行施工和流水施工三种方式。
例,某堤防工程划分为3段,为保护清基面,需完成首层填筑。分解为堤基处理、土料摊铺和土料碾压三个施工过程,分别由相应的专业队按施工工艺顺序依次完成,每个专业队在每段堤防工程的施工时间均为1天,各专业队的人数分别为8人、4人和2人,三种施工方式的进度计划如图所示。

1.施工的连续性
连续性是指建筑物(构筑物)在施工过程中,相邻工序在时间安排上应紧密衔接。应尽量避免施工中出现时续时断的情况,保持和提高施工过程的连续性,可以减少资源的闲置时间,节省资金,提高劳动生产率,为缩短建设周期、降低成本创造了条件。
2.施工的协调性
施工的协调性是指在施工过程中,各工序保持同步进行的状态,避免出现各工序之间因施工速度相差过大,造成因前面工序未完成、后面工序停滞的情况。
协调性是为了保证各工序施工可持续进行,提高资源的有效使用率。
3.施工的均衡性
施工的均衡性是指各工序在时间安排上保持施工速度相对稳定,应尽量避免时松时紧、前紧后松或前松后紧的情况。均衡性是为了发挥资源使用效率,有利于保证施工质量、降低成本、合理调配劳动力和施工设备。
4.施工的经济性
施工的经济性是指施工过程的组织除满足技术要求外,保持质量、进度及经济目标的一致性。施工的连续性、协调性和均衡性不仅体现在施工组织上,其结果可通过经济指标反映出来。
1.制定施工计划
选择合适的施工技术和方法,并不断改进创新。
2.资源配置
编制资源需求计划,并合理调配施工所需的资源。
(一)顺序施工(依次施工)
将拟建工程按施工工艺分解为若干个施工过程,每个施工过程组织一个专业工作队,各专业工作队依次完成相关施工任务。顺序施工是一种最基本、最原始的施工组织方式。
顺序施工具有以下主要特点:
(1)工期较长,没有充分利用工作面进行施工。
(2)单位时间内投入劳动力、施工机具等资源较少,有利于资源供应的组织。
(3)施工现场的组织管理比较简单
平行施工是指将拟建工程按施工工艺分解为若干个施工过程,将施工对象在平面上划分为多个施工段,每个施工过程组织相应的专业工作队,同类型专业工作队数量与施工段数量相同。
同类型专业工作队,在同一时间、不同施工段上完成相应的施工任务;不同类型的专业工作队按照施工工艺顺序依次完成相应的施工任务。

平行施工具有以下主要特点:
(1)工期短,能够充分利用工作面进行施工。
(2)单位时间内投入的劳动力、施工机具、材料等资源量较顺序施工成倍增加。
(3)在同一时段有多个同类型专业工作队在现场施工,施工现场组织比较复杂。
(4)平行施工适用于工期要求紧迫、工作面开阔且能够保证资源供应的情况。
流水施工
将拟建工程按施工工艺分解为若干个施工过程,将施工对象在平面上划分为多个施工段,每个施工过程各组织一个专业工作队,同一专业工作队依次完成各施工段相应的施工任务,不同专业工作队按施工工艺顺序依次完成各施工段相应的施工任务,同时保证各专业工作队在时间和空间上连续、均衡、有节奏地进行施工,并使相邻两个专业工作队能最大限度地搭接施工。

流水施工有以下主要特点:
(1)工期较短,尽可能利用工作面进行施工。
(2)专业工作队能够连续施工,同时使相邻专业工作队之间能够最大限度搭接施工。
(3)单位时间内投入的劳动力、施工机具等资源较为均衡,有利于资源供应及现场施工组织。
1.施工过程
组织流水施工时,首先需要将施工对象分解为若干施工过程,施工过程是流水施工的基本单元,通常用n表示。
2.流水强度(流水能力或生产能力)
指流水施工中某施工过程(或专业工作队)在单位时间内所完成的工程量。例如,浇筑混凝土施工过程的流水强度是指每工作班浇筑的混凝土立方数。
1.工作面
指提供某专业工种的工人或某种施工机械(具)进行施工的活动空间。取决于其单位时间完成的工程量和安全施工要求。
2.施工段(流水段)
指在组织流水施工时,将拟建工程在平面划分成若干个工程量相等(或大致相等)的施工区段,也称为流水段。目的是充分利用工作面组织流水施工,通常用m表示。
1.流水节拍
指在组织流水施工时,某个施工过程(或专业工作队)在一个施工段上的施工时间(单个持续时间)。
2.流水步距
指两个相邻施工过程(或专业工作队)先后进入同一施工段施工的最小时间间隔。如果施工过程数为n个,则流水步距总数为n-1个。
3.流水施工工期
指从第一个专业工作队开始流水施工,到最后一个专业工作队完成流水施工为止的整个持续时间。
(一)等节奏流水施工
指每个施工过程(或专业工作队)在各施工段上的流水节拍均相同的流水施工。
这是一种最理想的流水施工方式:
(1)所有施工过程在各个施工段上的流水节拍均相等。
(2)相邻施工过程的流水步距(K)相等且等于流水节拍(t),即:K=t。
(3)专业工作队数等于施工过程,即每个施工过程组建一个专业工作队。

(4)各专业工作队在各施工段上能够连续施工,施工段之间没有空闲时间。
流水施工工期按式计算:
T=(m+n-1)K
式中 T——流水施工工期;
m——施工段数;
n——施工过程数;
K——流水步距。

拒绝盲目备考,加学习群领资料共同进步!

免费听
唐忍
分数收割机
主讲:合同管理,安全生产法律法规,安全生产法规
优秀安全工程师、监理工程师讲师。善于重点击破晦涩法理点,轻松提升得分。

免费听
王竹梅
考点总结高手
主讲:建设工程造价管理,理论与法规
中国人民大学硕士,多年工程造价咨询实战经验,建设部住宅试点工程“部级科技进步个人银奖”获得者。

免费听
江凌俊
口诀一绝
主讲:目标控制(土木建筑),进度控制(水利),建筑施工安全,建筑工程管理与实务,建筑工程,建筑施工安全
曾在设计院任职,线上线下多年培训行业从业经历。

免费听
梁毛
主讲:案例分析(土木建筑),建筑工程
工程管理证书“大满贯”获得者,一级建造师(建筑/机电)、造价工程师、监理工程师(土建/交通)、二级建造师(建筑/机电/市政)、高级工程师(建筑工程)

免费听
孙媛媛
对课程重难点把握精准,讲授通俗易懂,受到广大学员好评
主讲:目标控制(交通工程),市政专业知识,市政专业实务
监理工程师,高校副教授,参加湖南省土建初中级职称大纲编写及修订。

免费听
李博韬
主讲:投资控制(水利)
长期从事监理水利教学与研究工作,经验丰富,对考试方向有深入研究。能够引导学员从课程和书本中梳理知识脉络并高效备考应试,深受学员喜爱。
专业智能,高效提分
章节练习
章节专项突破
进入做题
精选试题
省时高效精选
进入做题
模拟考场
海量题免费做
进入做题
考前点题
高效锁分72小时
进入做题
每日一练
每天进步一点点
进入做题
历年真题
真题实战演练
进入做题
易错题
精选高频易错题
进入做题
模考大赛
同场闯关做题
进入做题
APP刷题神器
模考大赛
考点打卡
做题闯关

扫描二维码 下载233网校APP刷题
微信扫码关注公众号
获取更多考试资料