流水施工工期的确定考点解析
流水施工工期的确定介绍

正确答案: C
答察解析: (1)求各施工过程流水节拍的累加数列:
施工过程Ⅰ:2,6,9,14;
施工过程Ⅱ:3,8,12,16;
(2)错位相减得差数列为:{2,3,1,2,-16};
(3)流水步距K=max{2,3,1,2,-16}=3d;
(4)施工工期T=∑K+∑tn=3+(3+5+4+4)=19d。
正确答案: D
答察解析: (1)累加数列:
I:3,7,9
II:2,7,10
III:3,6,10
IV:4,6,9
(2)错位相减、取大值,得流水步距分别为:
KI,II=5
KII,III=4
KIII,IV=4
(3)计算工期:T=(5+4+4)+(4+2+3)+3=25d
正确答案: C
答察解析: (1)求各施工过程流水节拍的累加数列:
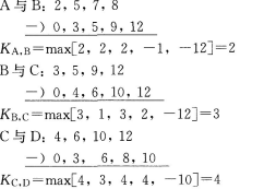
施工过程A:2,5,7,8
施工过程B:3,5,9,12
施工过程C:4,6,10,12
施工过程D:3,6,8,10
(2)错位相减求得流水步距:
(3)施工工期=(2+3+4)+(3+3+2+2)=19天。
正确答案: A
答察解析: (1)求各施工过程流水节拍的累加数列:
施工过程Ⅰ:2,6,9
施工过程Ⅱ:3,8,12
施工过程Ⅲ:4,7,11
施工过程Ⅳ:3,7,11
(2)错位相减求得差数列:
施工过程Ⅰ与Ⅱ
2,6,9
- 3,8,12
2,3,1,-12
施工过程Ⅱ与Ⅲ
3,8,12
- 4,7,11
3,4,5,-11
施工过程Ⅲ与Ⅳ
4,7,11
- 3,7,11
4,4,4,-11
(3)在差数列中取最大值求得流水步距:
施工过程Ⅰ与Ⅱ之间的流水步距:K1=3
施工过程Ⅱ与Ⅲ之间的流水步距:K2=5
施工过程Ⅲ与Ⅳ之间的流水步距:K3=4
(4)总工期=流水步距之和+最后一个施工过程(或专业工作队)在各施工段流水节拍之和=(3+5+4)+(3+4+4)=12+11=23。
非节奏流水施工的特点
非节奏流水施工具有以下特点:
(1)各施工过程在各施工段的流水节拍不全相等;
(2)相邻施工过程的流水步距不尽相等;
(3)专业工作队数等于施工过程数;
(4)各专业工作队能够在施工段上连续作业,但有的施工段之间可能有空闲时间。
流水步距的确定
在非节奏流水施工中,通常采用累加数列错位相减取大差法计算流水步距。由于这种方法是由潘特考夫斯基(译音) 首先提出的,故又称为潘特考夫斯基法。这种方法简捷准确,便于掌握。
累加数列错位相减取大差法的基本步骤如下:
(1)对每一个施工过程在各施工段上的流水节拍依次累加,求得各施工过程流水节拍的累加数列;
(2)将相邻施工过程流水节拍累加数列中的后者错后一位,相减后求得一个差数列;(3)在差数列中取最大值,即为这两个相邻施工过程的流水步距。
拒绝盲目备考,加学习群领资料共同进步!

免费听
唐忍
分数收割机
主讲:合同管理,安全生产法律法规,安全生产法规
优秀安全工程师、监理工程师讲师。善于重点击破晦涩法理点,轻松提升得分。

免费听
王竹梅
考点总结高手
主讲:建设工程造价管理,理论与法规
中国人民大学硕士,多年工程造价咨询实战经验,建设部住宅试点工程“部级科技进步个人银奖”获得者。

免费听
江凌俊
口诀一绝
主讲:目标控制(土木建筑),进度控制(水利),建筑施工安全,建筑工程管理与实务,建筑工程,建筑施工安全
曾在设计院任职,线上线下多年培训行业从业经历。

免费听
梁毛
主讲:案例分析(土木建筑),建筑工程
工程管理证书“大满贯”获得者,一级建造师(建筑/机电)、造价工程师、监理工程师(土建/交通)、二级建造师(建筑/机电/市政)、高级工程师(建筑工程)

免费听
孙媛媛
对课程重难点把握精准,讲授通俗易懂,受到广大学员好评
主讲:目标控制(交通工程),市政专业知识,市政专业实务
监理工程师,高校副教授,参加湖南省土建初中级职称大纲编写及修订。

免费听
李博韬
主讲:投资控制(水利)
长期从事监理水利教学与研究工作,经验丰富,对考试方向有深入研究。能够引导学员从课程和书本中梳理知识脉络并高效备考应试,深受学员喜爱。
专业智能,高效提分
章节练习
章节专项突破
进入做题
精选试题
省时高效精选
进入做题
模拟考场
海量题免费做
进入做题
考前点题
高效锁分72小时
进入做题
每日一练
每天进步一点点
进入做题
历年真题
真题实战演练
进入做题
易错题
精选高频易错题
进入做题
模考大赛
同场闯关做题
进入做题
APP刷题神器
模考大赛
考点打卡
做题闯关

扫描二维码 下载233网校APP刷题
微信扫码关注公众号
获取更多考试资料