1、GDP平减指数=名义GDP/实际GDP
2、有色金属进口成本=(LME3个月期货价格+现货升贴水+到岸升水)*(1+进口关税率)*(1+增值税率)*汇率+杂费
3、指数的市盈率是指数成分股(剔除亏损股)的总市值与指数成分股净利润之比
4、指数市净率是指数成分股总市值与指数成分股净资产的比值
5、FED模型:国内股市风险溢价为沪深300指数动态PE的倒数与10年期国债收益率之差

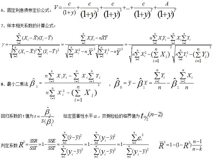
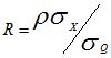
9、最佳套保比率等于套保期限内现货价格变动的标准差与期货价格变动的标准差的商乘以两者的相关系数
10、
=期权价格的变化/期权标的物价格的变化

























