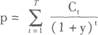
根据现金流贴现的基本原理,不含嵌入式期权的债券理论价格计算公式为:

上式中:P——债券理论价格;T——债券距到期日时间长短(通常按年计算);t——现金流到达的时间;C——现金流金额;y——贴现率(通常为年利率)。
(一)零息债券定价
零息债券不计利息,折价发行,到期还本,通常1年期以内的债券为零息债券。其定价公式为:

上式中,FV为零息债券的面值。
(二)付息债券定价
零息债券可以视为一组零息债券的组合。
(三)累息债券定价
与付息债券不同的是,累息债券也有票面利率,但是规定到期一次性还本付息。可将其视为面值等于到期还本付息额的零息债券,并按零息债券定价公式定价。