(一)当期收益率
在投资学中当期收益率被定义为债券的年利息收入与买入债券的实际价格的比率。它的计算公式是:

在上式中,Y——当期收益率;C——每年利息收益;P——债券价格。当期收益率只能反映每单位投资能够获得的债权年利息收益,但不能反映每单位投资的资本损益。
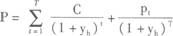
(二)到期收益率
债券的到期收益率是使债券未来现金流现值等于当前价格所用的相同的贴现率,也就是金融学所谓的内部报酬率。

上式中:P——债券价格;C——现金流金额;y——到期收益率;T——债券期限(期数);t——现金流到达的时间(期)。
(三)即期利率
即期利率也称为零利率,是零息票债券到期收益率的简称。在债券定价公式中,即期利率就是用来进行现金流贴现的贴现率。
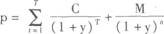
(四)持有期收益率
持有期收益率:指从买入债券到卖出债券期间的年平均收益(包括当期发生的利息收益和资本利得)与买人债券的实际价格的比率。他的计算公式是:

上式中:P——债券买入时价格;Pt——债券卖出时价格;Yh——持有期收益率;C——债券每期付息金额;T——债券期限(期数);t——现金流到达时间。
(五)赎回收益率
可赎回债券:指允许发行人在债券到期以前按某一约定的价格赎回已发行的债券。赎回收益率是指预期的现金流量(包括收取的利息和赎回价格)的现值等于债券买人价格的利率。一般而言,赎回收益率可以通过下面的公式用试错法求得:

上式中:P——发行价格;n——直到第一个赎回日的年数;M——赎回价格;C——每年利息收益。
例2-2(2012年3月真题·单选题)有一张债券的票面价值为100元,票面利率l0%,期限5年,到期一次还本付息,如果目前市场上的必要收益率是8%,试分别按单利和复利计算这张债券的价格( )。
A.单利:l07.14元;复利:102.09元
B.单利:l05.99元;复利:101.80元
C.单利:l03.25元;复利:98.46元
D.单利:lll.22元;复利:108.51元
【参考答案】 A
【解析】

P一债券的内在价值M一票面价值 i一每期利率 r一必要收益率(折现率)
150/(1+0.08*5)=107.14150/(1.085)=102.09
五、利率的风险结构与期限结构
(一)利率的风险结构
不同发行人发行的相同期限和票面利率的债券,其市场价格会不相同,从而计算出的债权收益率也不一样,反映在收益率上的这种区别,称为利率的风险结构。
(二)利率的期限结构
1.期限结构与收益率曲线
收益率曲线是在以期限为横轴、以到期收益率为纵轴的坐标平面上,反映在一定时点上不同期限债券的收益率与到期期限之问的关系。债券的利率期限结构是指债券的到期收益率与到期期限之间的关系。
2.收益率曲线的基本类型
例2-3(2012年3月真题·单选题)“反向的”收益率曲线意味着( )。
(1)预期市场收益率会上升;(2)短期债券收益率比长期债券收益率高;
(3)预期市场收益率会下降;(4)长期债券收益率比短期债券收益率高。
A.(1)和(2)
B.(3)和(4)
C.(1)和(4)
D.(2)和(3)
【参考答案】 D
【解析】 “反向”的收益率曲线是一条向下倾斜的收益率曲线,表示期 限越短的债券收益率越高,预期市场收益率会下降。
(三)利率期限结构的理论
影响期限结构的3个因素:(1)对未来利率变动方向的预期;(2)债券预期收益中可能存在的流动性溢价;(3)市场效率低下或者资金在长期和短期市场之间流动可能存在的障碍。
1.市场预期理论(无偏预期理论)
它认为,利率期限结构完全取决于对未来即期利率的市场预期。如果预期未来利率上升,则利率期限结构会呈上升趋势,反之同理。长期债券是一组短期债券的理想替代物。
2.流动性偏好理论
它的基本观点是投资者并不认为长期债券是短期债券的理想替代物。远期利率不再只是对未来即期利率的无偏估计,还包含了流动性溢价。流动『生溢价是远期利率和未来的预期即期利率之间的差额。债券的期限越长,流动性溢价越大。
利率曲线的形状是由对未来利率的预期和延长偿还期所必需的流动性溢价共同决定的。
3.市场分割理论
该理论认为,在贷款或融资活动进行时,贷款者和借款者并不能自由地在理论预期的基础上将证券从一个偿还期部分替换成另一个偿还期部分。将市场分为:短期资金市场、长期资金市场。
总而言之,从这三种理论来看,期限结构的形成主要是由对未来利率变化方向的预期决定的,流动性溢价可起一定作用。有时,市场的不完善和资本流向市场的形式也可能起到一定的作用。
例2—4(2012年3月真题·单选题)利率期限结构的理论有( )。
A.无偏预期理论
B.流动性偏好理论
C.市场分割理论
D.以上都是
【参考答案】 D
【解析】 利率期限结构的理论有三种,即无偏预期理论(纯预期理论)、流动性偏好理论和市场分割理论。