2025年6月证券专项《发布研究报告业务(证券分析师)》考试真题及答案更新部分!本次测试采取闭卷机考形式,题型为客观题,包括单选题、多选题、判断题、综合题,测试题量为120题,测试时间为180分钟,试卷正确率达到60%以上,即为该科目达到基本要求。
1、寡头市场的特征不包括()。
A.产品既可同质,也可存在差别,厂商之间存在激烈竞争
B.厂商数量极少
C.厂商之间互相依存,厂商行为具有确定性
D.新的厂商加入该行业比较困难
寡头市场的特征包括:
(1)厂商数极少,新的厂商加入该行业比较困难。
(2)产品既可同质,也可存在差别,厂商之间同样存在激烈竞争。
(3)厂商之间相互依存,每个厂商在作出决策时都必须特别注意这一决策对其对手的影响。
(4)厂商行为具有不确定性。
2、某完全垄断市场,产品的需求曲线为:Q=1800-200P,该产品的平均成本始终是1.5。生产者只能实行单一价格,则市场销量为()。
A.350
B.750
C.1500
D.1000
市场需求曲线Q=1800-200P
市场反需求曲线P(q)=9-(1/200)q
成本函数 c(q)=1.5q
求max[p(q)q-c(q)]=9q-(1/200)q*q-1.5q=7.5q-(1/200)q^2
q=750
3、下列关于不同风险偏好型投资者的描述,不正确的有()。
A.风险厌恶型投资者会放弃风险溢价为零的投资组合
B.风险中立型投资者只根据以往收益率来判断风险预期
C.风险偏好型投资者乐意参加风险溢价为零的风险投资
D.随着风险厌恶程度的不断增加,投资者愿意为保险付出的保费越低
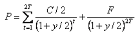
4、对于半年付息一次的债券来讲,在计算其内在价值时,要对年付息一次公式中的单次支付息票收益进行修改,通常是()。
A.将年数乘以2
B.将指定的年票面利率除以2
C.将指定的年票面利率乘以2
D.将剩余年数除以2
对于半年付息一次的债券来讲

其中,P代表债券价格,C代表现金流金额,y代表到期收益率,T代表债券期限(期数),t代表现金流到达时间(期)。
5、证券技术分析的基本假设包括()
A.市场随着信息和知晓内幕者的行动而迅速变化
B.市场行为涵盖一切信息
C.证券价格沿趋势移动
D.历史会重演
中国证券业协会不会公布2025年6月证券专项《发布研究报告业务(证券分析师)》考试真题及答案。如果大家想知道证券考题情况,可以在考后来233网校估分对答案、看考情!233网校将在本次考后收集整理考试真题答案解析,欢迎各位考生考后来分享试题,专业老师将为您解答试题答案!
👇👇下方扫码,进入2025年证券分析师真题估分👇👇

考试结束后,233网校将收集整理2025年6月证券分析师真题下载版,届时大家也可以进入“233网校”APP--“我的资料包”进行下载打印证券真题答案PDF版。也可添加证券学霸君,及时获取真题更新信息及考后咨询等。

2025年证券考试成绩管理
1、成绩查询时间:2025年6月证券分析师考试成绩一般在考后3个工作日公布,查分网站为中国证券业协会。【点击进入>>2025年证券考试成绩查询入口】
2、合格分数线:证券分析师考试成绩合格分数线为60分/科(满分100分),证券从业两科成绩合格者可继续报考证券投资顾问、证券分析师、保荐代表人考试。
3、成绩有效期:通过单科科目,单科考试成绩在36个月内有效。在有效期内,证券从业或证券专项考试成绩合格的,可获得成绩合格证,从业资格证可通过公司向协会申请。

























