重大危险源的辨识与分级考点解析
重大危险源的辨识与分级介绍
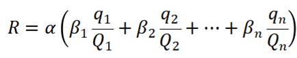
分级指标公式:
R= α(β1q1/Q1 +β2q2/Q2 + … + βnqn/Qn)
α 一一该危险化学品重大危险源厂区外暴露人员的校正系数;
β 一一与每种危险化学品相对应的校正系数;
α与β一般题中会给出,所以只需要记住重大危险源级别和R值的对应关系,如下图所示:

282.66KB
下载
506.56KB
下载
293.44KB
下载
619.89KB
下载
309.56KB
下载
277.18KB
下载
294.32KB
下载
367.56KB
下载
275.46KB
下载
291.46KB
下载
290.71KB
下载
286.96KB
下载正确答案: A
答案解析: α是该危险化学品重大危险源厂区外暴露人员的校正系数;(0人,α=0.5;1-29人,α=1.0;30-49人,α=1.2;50-99人,α=1.5;100人以上,α=2.0)。
R=1.5×(1.0×200/200+2.0×80/20+1.0×400/200)=16.5。
重大危险源级别:四级(R<10)、三级(10≤R<50)、二级(50≤R<100)、一级(R≥100)。
正确答案: A
答案解析: 根据《危险化学品重大危险源辨识》(GB 18218),仓库以独立库房(独立建 筑物)为界限划分为独立的单元。因为只有一个评价单元,只可能有一个重大危险源。

正确答案: A
答案解析: A选项正确:
重大危险源的分级指标按照按下式计算:
— 重大危险源分级指标;
— 该危险化学品重大危险源厂区外暴露人员的校正系数;
— 与每种危险化学品相对应的校正系数;
— 每种危险化学品实际存在量,单位为吨(t);
— 与各危险化学品相对应的临界量,单位为吨(t)。
代入公式计算:
R=1.2×(2.0×100/150+1.5×100/100+2×150/150)=5.8。
根据重大危险源级别和R值的对应关系:

正确答案: C
答案解析: 危险化学品重大危险源辨识( GB 18218-2018) :储存单元:用于储存危险化学品的储罐或仓库组成的相对独立的区域,储罐区以罐区防火堤为界限划分为独立的单元,仓库以独立库房(独立建筑物)为界限划分为独立的单元,所以划分为一个评价单元,选C。重大危险源分级指标的计算方法:
=2*(1*250/500+1.5*5/1+1.5*25/10+1*10/20)
=24.5
《危险化学品重大危险源辨识》GB18218-2018,自2019年3月1日实施。
一、重大危险源定义
长期地或临时地生产、储存、使用和经营危险化学品,且危险化学品的数量等于或超过临界量的单元。
单元指涉及危险化学品的生产、储存装置、设施或场所,分为生产单元和存储单元。危险化学品重大危险源辨识流程
二、重大危险源评价单元划分
单元:涉及危险化学品的生产、储存装置、设施或场所,分为生产单元和储存单元。
生产单元:危险化学品的生产、加工及使用等的装置及设施,当装置及设施之间有切断阀时,以切断阀作为分隔界限划分为独立的单元。
储存单元:用于储存危险化学品的储罐或仓库组成的相对独立的区域,储罐区以罐区防火堤为界限划分为独立的单元,仓库以独立库房(独立建筑物)为界限划分为独立的单元。
三、危险化学品重大危险源辨识
辨识依据:危险化学品应依据其危险特性及其数量进行重大危险源辨识。
生产单元、储存单元内存在危险化学品的数量等于或超过表1、表2 规定的临界量,即被定为重大危险源。
单元内存在的危险化学品的数量根据危险化学品种类的多少区分为以下两种情况:
①生产单元、储存单元内存在的危险化学品为单一品种时,该危险化学品的数量即为单元内危险化学品的总量,若等于或超过相应的临界量,则定为重大危险源 。(同一品种)
②生产单元、储存单元内存在的危险化学品为多品种时,按下式计算,若满足下式,则定为重大危险源:
S = q1 / Q1+ q2 / Q2 +… … + qn/ Qn≥ 1
式中:
S——辨识指标
q1,q2 … qn——每种危险化学品的实际存在量(t)
Q1,Q2 … Qn——与每种危险化学品相对应的临界量(t)
危险化学品储罐以及其他容器、设备或仓储区的危险化学品的实际存在量按设计最大量确定。(按装满容量)
对于危险化学品混合物: 如果混合物与其纯物质属于相同危险类别,则视混合物为纯物质,按混合物整体进行计算。如果混合物与其纯物质不属于相同危险类别,则应按新危险类别考虑其临界量。
四、重大危险源的评价及分级方法
(一)危险化学品重大危险源分级方法
采用单元内各种危险化学品实际存在量与其相对应的临界量比值,经校正系数校正后的比值之和 R 作为分级指标。
R= α(β1q1/Q1 +β2q2/Q2 + … + βnqn/Qn)
其中:
R- 重大危险源分级指标;
α - 该危险化学品重大危险源厂区外暴露人员的校正系数;
β1,β2 … βn- 与每种危险化学品相对应的校正系数;
根据单元内危险化学品的类别不同,设定校正系数β值。
重大危险源根据其危险程度分为四个级别,其中一级为最高级别。
五、重大危险源监控监管
1.重大危险源的安全生产监督管理工作主要由区县一级安全生产监督管理部门进行。信息网络建成之后,市级安全生产监督管理部门可以通过网络了解一、二级危险源的情况和监察信息,有重点地进行现场监察;
2.国家安全生产监督管理部门可以通过网络对各城市的一级危险源的监察情况进行监督。 各城市应建立重大危险源监管系统。
3.《危险化学品重大危险源监督管理暂行规定》危险化学品单位应当对重大危险源进行安全评估,考虑到进一步减轻企业的负担,避免不必要的重复工作,这
一评估工作可以由危险化学品单位自行组织,也可以委托具有相应资质的安全评价机构进行。如果其在一级、二级等级别较高的重大危险源中存量较高时,危险化学品单位应当委托具有相应资质的安全评价机构。
4.危险化学品单位在完成重大危险源安全评估报告或者安全评价报告后15日内,应当填写重大危险源备案申请表,连同本规定第二十二条规定的重大危险源档案材料(其中第二款第五项规定的文件资料只需提供清单),报送所在地县级人民政府安全生产监督管理部门备案。
重特大事故预防控制技术支撑体系框架:
(1)重大危险源的辨识登记、申报或普查;
(2)重大危险源安全(风险)评价;
(3)企业对重大危险源的监控和管理;
(4)应急救援系统;
(5)土地使用与厂矿选址安全规划;
(6)重 大危险源和重大事故隐患的监督监察
我国从 20XX年3月1日起实施《危险化学品重大危险源辨识》标准为 GB18218-2018.重大危险源辨识标准(Thestandardofmajorhazardsourceidentification)是一种规定了辨识重大危险源的依据和方法,以及计算重大危险源辨识临界量和最大量的方法。
1、该标准规定了辨识危险化学品重大危险源的依据和方法;
2、该标准的全部技术内容为强制性的;
3、标准适用于生产、储存、使用和经营危险化学品的生产经营单位。本标准不适用于:
a) 核设施和加工放射性物质的工厂,但这些设施和工厂中处理非放射性物质的部门除外;
b) 军事设施:
c)采矿业,但涉及危险化学品的加工工艺及储存活动除外:
d) 危险化学品的厂外运输(包括铁路、道路、水路、航空、管道等运输方式);
e) 海上石油天然气开采活动。
(一)危险化学品重大危险源分级方法
采用单元内各种危险化学品实际存在量与其相对应的临界量比值,经校正系数校正后的比值之和R作为分级指标。
R=α(β1q1/Q1+β2q2/Q2+…+βnqn/Qn)
其中:
R-重大危险源分级指标;
α-该危险化学品重大危险源厂区外暴露人员的校正系数;
β1,β2…βn-与每种危险化学品相对应的校正系数;
根据单元内危险化学品的类别不同,设定校正系数β值。
重大危险源根据其危险程度分为四个级别,其中一级为最高级别。
(二)其他重大危险源的评价及分级方法
1.评价单元的划分
2.评价模型的层次结构
3.数学模型
4.危险物质事故易发性B111的评价
5.工艺过程事故易发性B112的评价及工艺物质危险性相关系数的确定
6.事故严重度评价
①最大危险原则;
如果一种危险物具有多种事故形态,且它们的事故后果相差大,则按后果最严重的事故形态考虑。
②概率求和原则;
如果一种危险物具有多种事故形态,且它们的事故后果相差不大,则按统计平均原理估计事故后果。
7.危险抵消因子
8.危险性分级与危险控制程度分级
1.重大危险源的安全生产监督管理工作主要由区县一级安全生产监督管理部门进行。信息网络建成之后,市级安全生产监督管理部门可以通过网络了解一、二级危险源的情况和监察信息,有重点地进行现场监察。
2.国家安全生产监督管理部门可以通过网络对各城市的一级危险源的监察情况进行监督。各城市应建立重大危险源监管系统。
3.《危险化学品重大危险源监督管理暂行规定》危险化学品单位应当对重大危险源进行安全评估,考虑到进一步减轻企业的负担,避免不必要的重复工作,这一评估工作可以由危险化学品单位自行组织,也可以委托具有相应资质的安全评价机构进行。如果其在一级、二级等级别较高的重大危险源中存量较高时,危险化学品单位应当委托具有相应资质的安全评价机构。
4.危险化学品单位在完成重大危险源安全评估报告或者安全评价报告后15日内,应当填写重大危险源备案申请表,连同本规定第二十二条规定的重大危险源档案材料(其中第二款第五项规定的文件资料只需提供清单),报送所在地县级人民政府安全生产监督管理部门备案。
辨识依据:危险化学品应依据其危险特性及其数量进行重大危险源辨识。
辨识方法:生产单元、储存单元内存在危险化学品的数量等于或超过规定的临界 ,即被定为重大危险源。单元内存在的危险化学品的数量根据危险化学品种类的多少区分为以下两种情况:
(1)单品种时,则该危险化学品的数量即为单元内危险化学品的总量,若等于或超过相应的临界量,则定为重大危险源
(2)多品种时,则按下式计算,若满足该式,则定为重大危险源:
q1/Q1 + q2/Q2 + … +qn/Qn≧1
q一每种危险化学品实际存在量;
Q一每种危险化学品相对应的临界量。
拒绝盲目备考,加学习群领资料共同进步!

免费听
赵春晓
幽默风趣,思维导图总结精彩,考点层次分明。
主讲:安全生产管理,建设工程施工管理,建设工程项目管理
233网校一级建造师《项目管理》、二级建造师《施工管理》独家签约网课老师。某“双一流、211”高校副研究员、硕导,国家一级注册建造师、造价师。

免费听
李天宇
实力派偶像
主讲:化工安全,安全生产技术基础,其他安全,化工安全,消防安全案例分析
河北大学硕士毕业。注册化工工程师、注册安全工程师、注册一级消防工程师、注册一级建造师。曾就职于大型研究设计院,担任项目主管并负责项目安全专篇设计及校审核工作。具有扎实的理论功底,丰富的现场实践经验,熟悉过程化设计、生产、检修维护中的安全隐患及应急预案。

免费听
唐忍
分数收割机
主讲:合同管理,安全生产法律法规,安全生产法规
优秀安全工程师、监理工程师讲师。善于重点击破晦涩法理点,轻松提升得分。

免费听
安勇
主讲:安全生产法律法规,安全生产管理,安全生产法规
211重点高校安全管理专业博士,正高级工程师(安全工程),在大型国企担任安全管理岗位多年,积累了丰富的现场工作经验,深入了解各种行业安全管理的特点和难点,对如何解决实际问题有着独到的见解。

免费听
王培山
考点预测牛
主讲:其他安全,其它安全
高级工程师、注册一级消防工程师,注册安全工程师,多年从事消防、安全考试培训。

免费听
黄明峰
封“神”级老师
主讲:消防安全技术综合能力,消防安全技术实务,消防安全技术综合能力,消防安全案例分析,安全生产技术基础,建设工程项目管理
主要从事一级消防工程师、中级安全工程师等考试培训。
专业智能,高效提分
章节练习
章节专项突破
进入做题
精选试题
省时高效精选
进入做题
模拟考场
海量题免费做
进入做题
考前点题
高效锁分72小时
进入做题
每日一练
每天进步一点点
进入做题
历年真题
真题实战演练
进入做题
易错题
精选高频易错题
进入做题
模考大赛
同场闯关做题
进入做题
APP刷题神器
模考大赛
考点打卡
做题闯关

扫描二维码 下载233网校APP刷题
微信扫码关注公众号
获取更多考试资料