4.4.4 设备租赁费用考点解析
4.4.4 设备租赁费用介绍


1.01MB
下载
1.13MB
下载
1.19MB
下载
1.10MB
下载
1.30MB
下载
1.01MB
下载
211.82KB
下载
1004.25KB
下载
504.42KB
下载
676.82KB
下载
327.58KB
下载
348.11KB
下载正确答案: B
答察解析: 每年租金=55÷5+55×10%+55×4%=18.70万元
附加率法每期租金R表达式:

式中:P—— 租赁资产的价格;
N——租赁期数,取决于租赁资产预计使用寿命,租赁期可按月、季、半年、 年计;
i——与租赁期数相对应的利率;
r——附加率。
正确答案: B
答察解析: R=P×(1+N ×i)÷N+P×r =240×(1+10×8%)÷10+240×3% =50.4万元
正确答案: D
答察解析: 
R=Px(1+N×i)÷N + P×r =240×(1+10×8%)÷8+240×3% =61.2万元
一般租赁期和寿命期默认是相等的,而本题二者不相等,故本题应按租赁期限8年计算更合理。
正确答案: D
答察解析: 每期租金=120÷6+120×10%+120×4%=36.8万元
正确答案: B
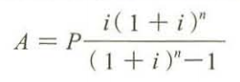
答察解析: (1)年末支付租金等同于等额支付系列公式里面的资金回收公式,每年的租金相当于是在计算年金值,计算公式与现金流量如下:


其中,P=68万元,i=12%,n=5,带入上式得到:
每年租金A=68×[12%×(1+12%)5]÷[(1+12%)5-1]=18.86万元
(2)年初支付方式是在每期期初等额支付租金,期初支付要比期末支付提前一期支付租金,其支付方式的现金流量与计算公式如下图所示。


其中,P=68万元,i=12%,n=5,带入上式得到:
每年租金A=68×[12%×(1+12%)4]÷[(1+12%)5-1]=16.84万元
1.经营租赁:
(1)出租人承担设备的维修保养
(2)具有可撤销性、短期性、租金高等特点
2.融资租赁
(1)出租人对设备的维修保养不承担责任
(2)具有不可撤销性、周期长等特点,适用于大型设备、专有技术设备等
1.设备租赁或购置都需要考虑的影响因素
影响设备选择的因素较多,其中设备租赁或购置都需要考虑的影响因素主要包括:
(1)设备的寿命周期及经济寿命、技术寿命。
(2)企业需要占有设备的时间长短。
(3)设备的技术性能和生产效率、安全性及对工程质量(产品质量)的保证程度。
(4)设备的成套性、灵活性、耐用性、环保性和维修的难易程度。
(5)设备的资金预算计划、融资方式,融资资金时借款利息或利率高低。
2.设备租赁需考虑的影响因素
对于设备租赁,除考虑前述“1.”中的因素外,还应考虑如下影响因素:
(1)租赁期长短及租赁期满后资产的处理方式。
(2)设备租金额(总租金额和每租赁期租金额)及租金的支付方式(租赁期起算日、支付日期、支付币种和支付方法等)。
(3)企业经营费用减少与折旧费和利息减少的关系、租赁的节税优惠。
(4)预付资金(定金)、租赁保证金和租赁担保费用。
(5)维修方式,即是由企业自行维修,还是由租赁机构提供维修服务。
(6)租赁机构的信用度、经济实力、与承租人的配合情况。
3.设备购置需考虑的影响因素
对于设备购置,除考虑前述“1”中的因素外,还应考虑如下影响因素:
(1)设备的购置价格、设备价款的支付方式、支付币种和支付利率等。
(2)设备的年运转费用和维修方式、维修费用。
(3)保险费,包括购置设备的运输保险费、设备在使用过程中的各种财产保险费。
1.当设备寿命相同时,一般可以采用净现值法;设备寿命不同时,可以采用年值法。无论采用净现值法还是年值法,都以收益效果最大或成本较少的方案为优
2.租赁设备时,承租人可以将租金计入成本而抵所得税,故计算设备租赁方案的现值时应扣除租金产生的免税金额。借款购置设备时,企业可以将所支付的利息和折旧计入成本中而抵所得税,同时可以回收预计净残值。因此,借款购置设备的成本现值应扣除折旧和利息支付产生的免税金额
拒绝盲目备考,加学习群领资料共同进步!

免费听
赵春晓
幽默风趣,思维导图总结精彩,考点层次分明。
主讲:安全生产管理,建设工程施工管理,建设工程项目管理
233网校一级建造师《项目管理》、二级建造师《施工管理》独家签约网课老师。某“双一流、211”高校副研究员、硕导,国家一级注册建造师、造价师。

免费听
王东兴
灵魂导师
主讲:建设工程法规及相关知识,建设工程法规及相关知识,安全生产法律法规
管理学硕士,国家注册一级建造师,多年从事教育行业,主攻工程经济、项目管理、企业管理方向。

免费听
董航
主讲:建设工程经济
曾任中建一局集团项目执行经理,多年现场经验,对施工现场生产管理、现场安全、施工技术非常熟悉,在一级建造师、注册安全工程师执业资格考试方面,有丰富的教学经验,更有其独特的培训风格,其地毯式培训教学,准确打击知识点,每年都会帮助广大学员顺利取证。

免费听
江凌俊
口诀一绝
主讲:目标控制(土木建筑),进度控制(水利),建筑施工安全,建筑工程管理与实务,建筑工程,建筑施工安全
曾在设计院任职,线上线下多年培训行业从业经历。

免费听
胡宗强
主讲:市政公用工程
从事建造师培训多年。经验丰富,命题方向把握准确。

免费听
黄明峰
封“神”级老师
主讲:消防安全技术综合能力,消防安全技术实务,消防安全技术综合能力,消防安全案例分析,安全生产技术基础,建设工程项目管理
主要从事一级消防工程师、中级安全工程师等考试培训。
专业智能,高效提分
章节练习
章节专项突破
进入做题
精选试题
省时高效精选
进入做题
模拟考场
海量题免费做
进入做题
考前点题
高效锁分72小时
进入做题
每日一练
每天进步一点点
进入做题
历年真题
真题实战演练
进入做题
易错题
精选高频易错题
进入做题
模考大赛
同场闯关做题
进入做题
APP刷题神器
模考大赛
考点打卡
做题闯关

扫描二维码 下载233网校APP刷题
微信扫码关注公众号
获取更多考试资料