1、()假定,股利是投资者在正常条件下投资股票所直接获得的唯一现金流,则就可以建立估价模型对普通股进行估值。
A.自由现金流贴现模型
B.股权资本自由现金流贴现模型
C.超额收益贴现模型
D.股利贴现模型
选项AB错误:自由现金流贴现模型(选项A)和股权资本自由现金流贴现模型(选项B)则是基于公司或股东层面的整体现金流来进行估值,并不局限于股利作为唯一的现金流来源。
选项C错误:超额收益贴现模型通常用于评估企业超过正常回报部分的价值,与本题情境不符。
2、关于内在价值法,以下表述错误的是()。
A.一般情况下,内在价值等于股票当前价格
B.内在价值法是按照未来现金流贴现对公司的内在价值进行评估
C.贴现模型的选择要与获得的现金流相对应
D.股利贴现模型、股权资本自由现金流贴现模型、自由现金流贴现模型都属于内在价值法
A错误:股票的内在价值即理论价值,是指股票未来收益的现值。股票的内在价值决定股票的市场价格,股票的市场价格总是围绕其内在价值波动。内在价值不一定等于股票当前价格。
BD正确:内在价值法又称绝对价值法或收益贴现模型,是按照未来现金流的贴现对公司的内在价值进行评估。 其具体又分为股利贴现模型(DDM)、自由现金流量贴现模型(DCF)、经济附加值模型等。其中,自由现金流量贴现模型(DCF)包括公司自由现金流 (FCFF) 贴现模型和股权资本自由现金流 (FCFE) 贴现模型。
C正确:贴现模型的选择要与获得的现金流相对应。
3、上年末某公司支付每股股息为8元,预计在未来其股息按每年6%的速度增长,必要收益率为14%,该股票面值为100元,则该公司股票的价值为()元。
A.96元
B.98元
C.100元
D.106元
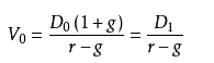
=8×(1+6%)/(14%-6%)=8.48/0.08=106 ,其中v0表示内在价值,D0表示股息,r表示必要收益率,g表示股息增长率。4、关于股票的内在价值,以下表述错误的是( )
A.股票的内在价值不受未来收益和市场利率的影响
B.股票的内在价值决定股票的市场价格
C.股票的内在价值是指股票未来收益的现值
D.股票的市场价格总是围绕其内在价值波动
BCD正确:股票的内在价值即理论价值,是指股票未来收益的现值。股票的内在价值决定股票的市场价格,股票的市场价格总是围绕其内在价值波动。
5、下列不属于股利贴现模型的是( )。
A.零增长模型
B.不变增长模型
C.多元增长模型
D.超额收益贴现模型
更多基金从业《证券投资基金》新教材精选试题可进入233网校APP--基金从业--题库--章节习题进行冲刺巩固。也可添加基金学霸君企业微信,拉你进考试刷题群!
扫码加学霸君企微,进考试刷题群↓↓

基金历年考试真题及答案
| 基金历年真题答案 | 在线估分 | 真题PDF下载 |
| 基金法律法规历年真题答案 | 在线估分 | 真题PDF下载 |
| 证券投资基金历年真题答案 | 在线估分 | 真题PDF下载 |
| 私募股权投资历年真题答案 | 在线估分 | 真题PDF下载 |
大家也可以直接下载233网校APP进入题库刷题,体验更佳!已经下载233网校APP的可以直接选择“基金从业”--“题库”进行在线刷题。包含科目有基金法律法规、证券投资基金、私募股权投资基金科目试题。试题类型包括章节练习、章节真题、模拟试卷、历年真题、错题集、考前点题等,如果刷题太无聊还可以参加答题闯关,边做题边拿奖!

(题库界面如上所示)
中国证券投资基金业协会不会公布基金从业考试真题及答案。如果大家想知道基金从业考题情况,可以在考后来233网校估分对答案、看考情!233网校将在每次考后收集整理考试真题答案解析,欢迎各位考生们考后来分享试题,专业老师将为您解答试题答案!现在大家可以提前预约估分提醒。
👇👇下方扫码,进入基金考试真题估分👇👇






















