在工程建设中,不同的技术、工艺和材料方案只能选择一个方案实施,即方案之间具有互斥性。
常用的静态分析方法有增量投资分析法、年折算费用法、综合总费用法等。
常用的动态分析方法有财务净现值(费用现值)法、净年值(年成本)法等。

本次就几种静态分析方法进行介绍。
静态分析考核年份:2019、2017、2016
(一)增量投资收益率法
所谓增量投资收益率,就是增量投资所带来的经营成本(或生产成本)上的节约与增量投资之比。
现设I1、I2分别为旧、新方案的投资额,C1、C2为旧、新方案的经营成本(或生产成本),如I2>I1,C2<C1,则增量投资收益率R(2-1)为:

判别准则:
当R(2-1)大于或等于基准投资收益率时,表明新方案是可行的;
当R(2-1)小于基准投资收益率时,则表明新方案是不可行。
【经典试题】
【2016】某施工项目有两个工艺方案:方案1需投资2000万元,年生产成本500万元;方案2余方案1应用环境相同,需投资2800万元,年生产成本400万元。则两方案相比较的增量投资收益率为( )。
A.18.75%
B.12.50%
C.25.00%
D.16.67%
(二)折算费用法
1、当方案的有用成果相同时,可通过比较费用的大小,来决定优劣和取舍。
①在采用方案要增加投资时:

年折算费用=年生产成本+投资额(建设投资和流动资金)×基准投资收益率
判别准则:选择折算费用最小的方案为最优方案。
②在采用方案不增加投资时:

年生产成本=固定费用(固定成本)总额+单位产量的可变费用(可变成本)×生产数量
判别准则:选择生产成本最小的为最优方案。
2、当方案的有用成果不相同时,计算临界产量Q0,确定方案使用范围。
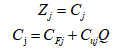
首先,列出对比方案的生产成本:

当Q=Q0时,C1=C2,则

CF1、CF2--1、2方案的固定费用;
Cu1、Cu2--1、2方案的单位产量的可变费用。
判别准则:Q<Q0时,方案1优;Q>Q0时,方案2优。
【经典试题】
【2019】某施工项目有甲乙两个对比工艺方案,均不需要增加投资。采用甲方案需年固定费用120万元,单位产量可变费用为450元;采用乙方案需年固定费用100万元,单位产量可变费用为500元。下列关于该对比方案决策的说法,正确的有( )。
A.年产量为5000单位时,应选择乙方案
B.两方案年成本相等时的临界点产量为4000单位
C.年产量为3000单位时,应选择甲方案
D.应该选择甲方案,因为其单位产量可变费用低
E.两个方案总成本相等时,甲方案的单位产量固定成本大于乙方案
【2017】某项目施工所需机械有两种方案满足要求。方案一为购置方案,购置费用120万元,单位产量可变费用为500元;方案二为租赁方案,单位产量可变费用为800元。关于机械方案选择的说法,正确的是( )。
A.施工数量大于2400小于4000个生产单位时,应选择方案一
B.施工数量大于4000个生产单位时,应选择方案二
C.施工数量为2400个生产单位时,应选择方案一或方案
D.施工数量为4000个生产单位,可选择方案一或方秦二
(三)其他指标分析(了解)
可选用劳动生产率指标、缩短工期节约固定费用、缩短工期的生命资金节约额、缩短工期提前投产的经济效益等指标进行分析。



























