“设备经济寿命的估算”是一级建造师《建设工程经济》科目第四章第二节的内容,学完这一知识点后,建议大家通过大量试题练习来巩固,如此方能在考场上稳操胜券,避免丢分!

一建《经济》章节题练习:设备经济寿命的估算
1、某建设单位,拥有一台设备,目前实际价值8000元,预计残值2000元,第1年的设备运行成本600元,第2年的设备运行成本900元,每年设备的劣化增量是均等的,年劣化值480元,则该设备的经济寿命为( )年。
A.3
B.4
C.5
D.8

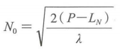
简化的经济寿命计算公式为:

式中:P——设备目前实际价值;LN——第N年末的设备预计净残值;N₀——设备的经济寿命;λ——设备的劣化值。
2、关于设备寿命的说法,正确的有()。
A.设备的经济寿命是从经济观点确定的设备更新的最佳时刻
B.设备的使用年限越长,设备的经济性越好
C.设备的技术寿命主要是由设备的有形磨损决定的
D.设备的合理维修和保养可以避免设备的无形磨损
3、现有一台设备,目前实际价值为7500元,预计残值为800元,第1年的设备运行成本为550元,设备的年劣化值为200元,并且每年设备的劣化增量是均等的,则该设备的经济寿命为( )年。
A.5
B.8
C.7
D.6

式中:N₀——设备的经济寿命;P——设备目前实际价值;
LN——第N年末的设备预计净残值;λ——设备的劣化值。
该设备的经济寿命=
4、下列属于确定设备经济寿命期的原则有()。
A.使设备在经济寿命内平均使用年限达到最大
B.使设备在经济寿命内营业外支出达到最小
C.使设备在经济寿命内营业收入达到最大
D.使设备在经济寿命内一次性投资和各种经营费总和达到最小
E.使设备在经济寿命内平均每年纯利润达到最大
(1)使设备在经济寿命内平均每年净收益(纯利润)达到最大;
(2)使设备在经济寿命内一次性投资和各种经营费总和达到最小。
故本题应选DE。
5、关于设备使用过程中年运行成本的说法,正确的有( )。
A.年平均运行成本是设备各年运行成本总和的平均
B.每年运行成本随设备使用年限的延长而逐渐增加
C.若设备每年运行成本的增量相等,则运行成本呈线性增长
D.年运行成本包括人工费、材料费、能源费、维修费等
E.年平均运行成本最低对应的使用年限是设备的经济寿命
C选项正确,若设备每年运行成本的增量相等,则运行成本呈线性增长。
D选项正确,运行成本,包括人工费、材料费、能源费、维修费、停工损失、废次品损失等。
E选项错误,如下图所示,在第N₀年时,设备年平均使用成本达到最低值,则称设备从开始使用到其年平均使用成本最小(或年盈利最高)的使用年限N₀为设备的经济寿命。

6、下列关于设备经济寿命概念的说法,正确的有( )。
A.经济寿命是由维护费用的提高和使用价值的降低决定的
B.经济寿命是由维护费用的降低和使用价值的提高决定的
C.经济寿命即为设备年平均使用成本最低时的年限
D.经济寿命即为设备年运行成本最低时的年限
E.经济寿命是从经济角度衡量设备最合理的使用年限
C选项正确,D选项错误,在第N₀年时,设备年平均使用成本达到最低值,则称设备从开始使用到其年平均使用成本最小(或年盈利最高)的使用年限,N₀为设备的经济寿命。
E选项正确,经济寿命是从经济角度衡量设备最合理的使用年限,由有形磨损和无形磨损共同决定。
备注:经济寿命是年平均使用成本最低而不是年运行成本最低时的年限


























