施工进度调整方法考点解析
施工进度调整方法介绍
791.40KB
下载
292.06KB
下载
374.30KB
下载
378.85KB
下载
580.92KB
下载
767.27KB
下载
514.17KB
下载
490.94KB
下载
481.16KB
下载
503.85KB
下载
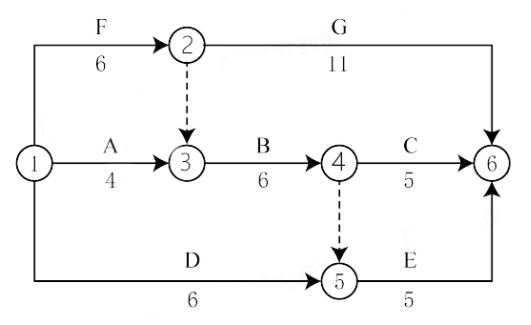
常用的表达工程进度计划的方法有横道图和网络计划图两种形式。
表14.2-1某基础工程施工段、工作天数一览表
|
工序 |
施工段及工作天数(d) |
||
|
① |
② |
||
|
基础工程 |
挖基槽 |
3 |
3 |
|
做垫层 |
3 |
3 |
|
|
做基础 |
3 |
3 |
|
|
回填土 |
3 |
3 |
|
分析施工进度计划检查结果→确定调整的对象和目标→选择适当的调整方法→编制调整方案→对调整方案进行评价和决策→调整→确定调整后付诸实施的施工进度计划。
(1)工程项目进度执行情况的综合描述。
(2)实际施工进度图。
(3)工程变更、价格调整、索赔及工程款收支情况。
(4)进度偏差的状况和导致偏差的原因分析。
(5)解决问题的措施。
(6)计划调整意见和建议。
拒绝盲目备考,加学习群领资料共同进步!

免费听
赵春晓
幽默风趣,思维导图总结精彩,考点层次分明。
主讲:安全生产管理,建设工程施工管理,建设工程项目管理
233网校一级建造师《项目管理》、二级建造师《施工管理》独家签约网课老师。某“双一流、211”高校副研究员、硕导,国家一级注册建造师、造价师。

免费听
王东兴
灵魂导师
主讲:建设工程法规及相关知识,建设工程法规及相关知识,安全生产法律法规
管理学硕士,国家注册一级建造师,多年从事教育行业,主攻工程经济、项目管理、企业管理方向。

免费听
江凌俊
口诀一绝
主讲:目标控制(土木建筑),进度控制(水利),建筑施工安全,建筑工程管理与实务,建筑工程,建筑施工安全
曾在设计院任职,线上线下多年培训行业从业经历。

免费听
凌平平
实力女神
主讲:市政公用工程管理与实务,公路工程管理与实务,市政公用工程,公路工程
硕士,高校教授,国家注册一级建造师,233网校一级建造师,二级建造师独家签约网课老师。

免费听
王子初
主讲:机电工程,机电工程管理与实务
国家注册一级建造师,从事智能化工程工作

免费听
陈辉
轻松幽默
主讲:矿业工程管理与实务,矿业工程
国家注册一级建造师(矿业工程、市政工程)、注册造价工程师(土建)、注册咨询工程师。
专业智能,高效提分
章节练习
章节专项突破
进入做题
精选试题
省时高效精选
进入做题
模拟考场
海量题免费做
进入做题
考前点题
高效锁分72小时
进入做题
每日一练
每天进步一点点
进入做题
历年真题
真题实战演练
进入做题
易错题
精选高频易错题
进入做题
模考大赛
同场闯关做题
进入做题
APP刷题神器
模考大赛
考点打卡
做题闯关

扫描二维码 下载233网校APP刷题
微信扫码关注公众号
获取更多考试资料