第五章基本分析在证券分析师考试中占有重要地位,可以说,不学好基本分析就很难通过证券分析师考试。本章内容上的安排是按从上至下的规则来进行编写的,宏观经济-行业分析-公司分析-策略分析。
| 本文导航 | ||
| 收藏知识结构图,自我检测 | 学习笔记 | 真题演练,现在开始做 |
一、收藏知识结构图,现在开始做

二、学习笔记
1、宏观经济分析的信息、内容和质量要求
| 信息来源 | 媒体、政府经济报告、统计年鉴、主管公司、行业管理部门、部门和企业的原始记录、国家领导讲话等 |
| 内容 | 政府的重点经济政策与措施、一般生产统计资料、金融物价统计资料、贸易统计资料、每年国民收入统计与景气动向、突发性非经济因素 |
| 质量要求 | 准确性、系统性、时间线、可比性、适用性 |
2、评价宏观经济形势的基本指标
| 国内生产总值(GDP) | 一个国家(或地区)所有常驻居民在一定时期内(一般按年统计)生产活动的最终成果。 支出法:Y=消费+投资+政府支出+(出口-进口) 收入法:Y=工资+利息+利润+租金+间接税和企业转移支付+折旧 生产法:Y=劳动者报酬+生产税净额+固定资产折旧+营业盈余 |
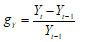
| 经济增长率 | 国民收入的增长率,尤其是GDP增长率。Yt表示t时期的总产量,Yt-1表示t-1时期的总产量 公式:![]() |
| 固定资产投资 | 指固定资产再生产活动,包括建造和购置固定资产的经济活动。【按经济类型划分】,可分为国有经济单位投资、城乡集体经济单位投资、其他各种经济类型的单位投资和城乡居民个人投资。 【按管理体制】基本建设、更新改造、房地产开发投资和固定资产投资 |
| 工业增加值 | 工业行业在报告期内以货币表现的工业生产活动的最终成果 |
| 社会消费品零售总额 | 国民经济各行业通过多种商品流通渠道向城乡居民和社会集团供应的消费品总额 |
| 失业率 | 劳动力人口中失业人数所占的百分比。 |
| 通货膨胀率 | 指一般物价水平持续、普遍、明显地上涨。衡量指标:CPI、PPI |
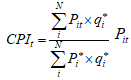
| 居民消费价格指数(CPI) | 是反映居民家庭一般所购买的消费商品和服务价格水平变动情况的宏观经济指标。 Pit——t年第i最终商品或服务的价格;qi——一揽子中第i最终商品或服务的数量;Pi*——基准年第i最终商品或服务的价格。 |
| 生产者价格指数(PPI) | 衡量工业企业产品出厂价格变动趋势和变动程度的指数 |
| 采购经理指数(PMI) | 根据企业采购与供应经理的问卷调查数据而编制的阅读公布指数 |
三、真题演练,现在开始做
1、下列属于宏观经济分析对信息、数据质量要求的有( )。
Ⅰ.准确性
Ⅱ.系统性
Ⅲ.可比性
Ⅳ.交叉性
A.Ⅰ、Ⅱ
B.Ⅰ、Ⅳ
C.Ⅰ、Ⅱ、Ⅲ
D.Ⅰ、Ⅱ、Ⅳ
【233网校解读】宏观经济分析中对信息、数据的质量要求有:(1)准确性。(2)系统性。(3)时间性。(4)可比性。(5)适用性。

Pit——t年第i最终商品或服务的价格;qi——一揽子中第i最终商品或服务的数量;Pi*——基准年第i最终商品或服务的价格。























