二、多项选择题(每题2分。每题的备选项中,有2个或2个以上符合题意,至少有1个错项。错选,本题不得分;少选,所选的每个选项得0.5分)
73.下列建设工程进度控制措施中,属于监理工程师采取的技术措施有( )。
A.审查施工单位提交的进度计划
B.建立工程进度报告制度
C.协调进度计划与合同工期之间的关系
D.应用网络计划技术控制工程进度
E.协助施工单位编制施工组织设计
74.为保证工程建设中各个环节相互衔接,工程项目进度平衡表中需要明确的内容有( )。
A.各种设计文件交付日期
B.主要设备交货日期
C.施工单位进场日期
D.工程材料进场日期
E.水、电压道路接通日期
75.在组织流水施工时,确定流水节拍应考虑的因素有( )。
A.所采用的施工方法和施工机械
B.相邻两个施工过程相继开始施工的最小间隔时间
C.施工段数目
D.在工作面允许的前提下投入的劳动量和机械台班数量
E.专业工作队的工作班次
76.加快的成倍节拍流水施工的特点有( )。
A.相邻施工过程的流水步距相等,且等于流水节拍
B.专业工作队数大于施工过程数
C.施工段之间没有空闲时间
D.同一施工过程在其各施工段上的流水节拍成倍数关系
E.施工过程数等于施工段数
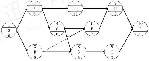
77.在下列双代号网络图中,互为平行工作的有( )。
E.工作B和工作C
A.工作A和工作B
B.工作A和工作E
C.工作A和工作G
D.工作B和工作C
78.根据绘图规则,下列双代号网络图中的绘图错误有( )。
A.有多余虚工作
B.存在循环回路
C.节点编号有误
D.有多个起点节点
E.从箭线上引出箭线
79.某工程单代号网络计划如下图所示,其中关键工作有(
A.工作A
B.工作B
C.工作C
D.工作D
E.工作E
80.某工程双代号时标网络计划如下图所示,该计划表明( )。
A.工作C的自由时差为2天
C.工作D为关键工作
B.工作E的最早开始时间为第4天
D.工作H的总时差为零
E.工作B的最迟完成时间为第1天

